铪基薄膜因其与CMOS工艺的兼容性及优异的铁电性能受到关注,但其铁电性起源尚不明确,一般认为这种性质源自于空间群Pca21相(O相),然而O相在自然状态下并不稳定。
研究显示,掺杂剂、氧空位及应力等因素对稳定O相至关重要。尽管单一因素难以稳定O相,多因素联合作用被认为是实现高性能铪基薄膜的可行途径。

来自广东工业大学物理与光电工程学院蒋艳平副教授和西安电子科技大学周益春教授领导的团队,系统研究了氧空位(VO)、单轴应变和外部电场(Ee)对铪基晶体能量的单独及耦合影响。

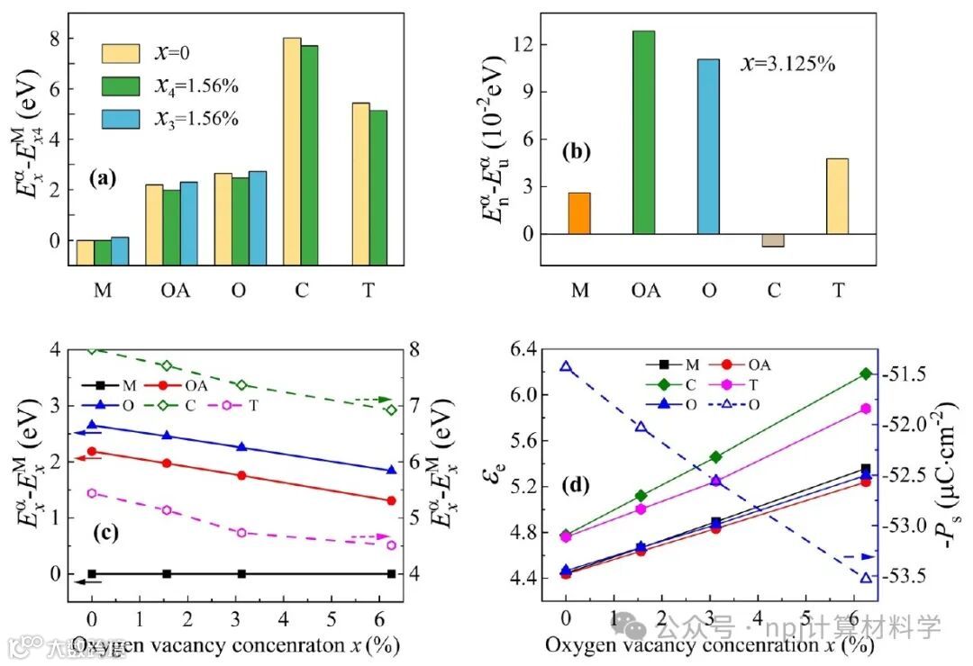
Fig. 3 Effect of charged VO on crystals.
研究发现,虽然增加VO的数量能减少铁电相和单斜相之间的能量差距,但它并不能单独确保铁电相成为最稳定的形态。由于自发极化(Ps)与VO的浓度和电荷状态密切相关,这一现象揭示了VO与Ee之间的耦合作用。
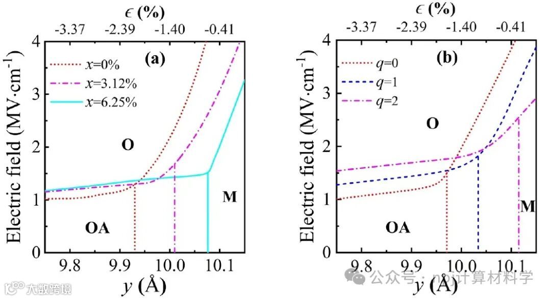
Fig. 4 Effects of uniaxial strain and VO coupling on crystal energies.
当氧空位与单轴应变共同作用时,单轴应变可独立稳定反铁电相,并提升铁电相的稳定性。同时,VO浓度和电荷状态的提升可以减少为稳定铁电相所需的应变。此外,单轴压缩应变能够提高铁电相的Ps,从而增强外部电场对相稳定性的影响力。
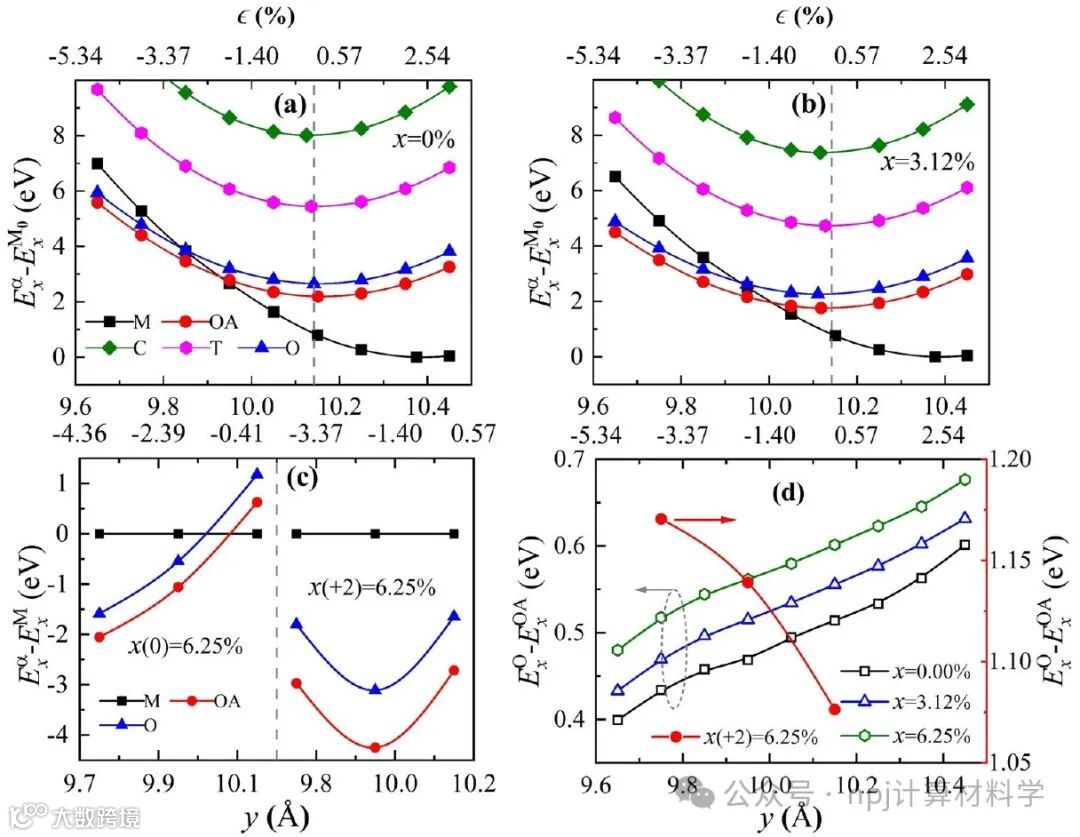
这些发现指出,在铪基材料中铁电相的稳定是一个典型的机械-电-化学耦合过程。当同时考虑氧空位、单轴应变和外部电场时,能够更容易地实现铁电相的稳定。
Fig. 6 Effect of mechanical-electrical-chemical coupling on crystal energies.
该研究为解释铪基材料中的“唤醒”现象提供了新的解释,并为实现及维持铪基材料中的铁电相提供了理论指导。该文近期发表于npj Computational Materials 9: 219 (2023).

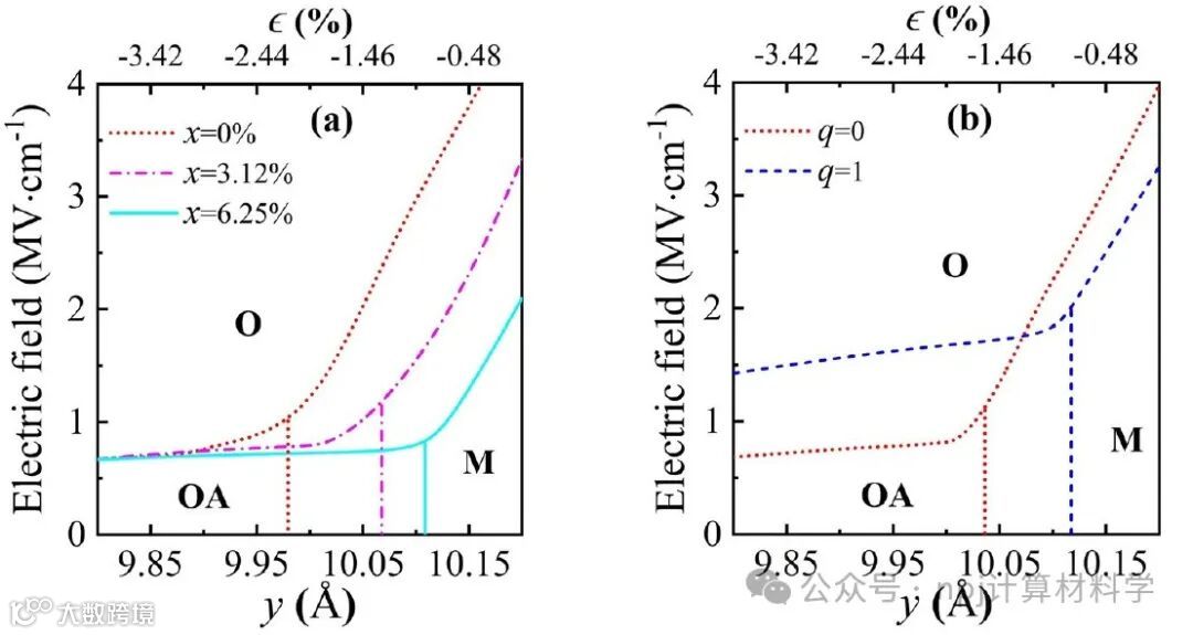
Fig. 7 Phase diagram of hafnia.
Editorial Summary
Hafnium-based thin films have garnered attention for their compatibility with CMOS processes and impressive ferroelectric properties, yet the origin of their ferroelectricity remains unclear; it is generally believed to stem from the Pca21 space group phase (O-phase), which is inherently unstable in its natural state. Research indicates that factors such as dopants, oxygen vacancies, and stress are crucial for stabilizing the O-phase. Although a single factor may be insufficient to stabilize the O-phase, the combined action of multiple factors is considered to be a viable approach to achieving high-performance hafnium-based thin films.
Fig. 8 Phase diagram of HZO.
A team led by Prof. Yanping Jiang from School of Physics and Optoelectronic Engineering, Guangdong University of Technology and Prof. Yichun Zhou from School of Advanced Materials and Nanotechnology, Xidian University, systematically investigated the individual and combined effects of the VO, uniaxial strain, and the Ee on the crystal energy of hafnia-based. The increase of VO could reduce the energy differences between ferroelectric and monoclinic phase, but could not render the ferroelectric phase as the most stable one. Since the Ps shows a dependency on the concentration and charge state of VO, it indicates that there is a coupling effect between the VO and Ee. When both VOand uniaxial strain are present, the uniaxial strain can independently stabilize the antiferroelectric phase and promote the stabilization of the ferroelectric phase, and the increase in the VO concentration and charge state reduces the strain demand in stabilizing the ferroelectric phase. In addition, the uniaxial compressive strain increases the Ps of the ferroelectric phase, which will enhance the effect of the Ee on the phase stability. These indicate that the stabilization of ferroelectric phase in hafnia is a typical mechanical-electrical-chemical coupling situation. When considering VO, uniaxial strain and Ee simultaneously, it will achieve the purpose of stabilizing the ferroelectric phase easily. This work provides an explanation for the typical wake-up effect and theoretical guidance to obtain and stabilize ferroelectric phase in hafnia. This article was recently published in npj Computational Materials 9: 219 (2023).
原文Abstract及其翻译
Mechanical-electrical-chemical coupling study on the stabilization of a hafnia-based ferroelectric phase (基于铪氧化物铁电相稳定性的机械-电-化学耦合研究)
Fenyun Bai, Jiajia Liao, Jiangheng Yang, Yanping Jiang, Xingui Tang, Qiuxiang Liu, Zhenhua Tang & Yichun Zhou
Abstract The metastable polar orthorhombic phase is believed to be the origin of the ferroelectricity of hafnia-based films. The adjustment of stain, oxygen vacancies and dopant during film deposition and the wake-up electric cycling are common strategies to induce the ferroelectricity in hafnia. However, none of them could independently render the ferroelectric phase to be the most stable phase from the theoretical calculation results. The exact external conditions to stabilize orthorhombic phase still remain elusive. In this paper, we investigate the effects of the type, distribution, concentration, and charge state characteristics of oxygen vacancies and the uniaxial strain on the crystal’ energy, dielectric constant and spontaneous polarization (Ps); In addition, the impact of the applied electric field parallel to the Ps on the crystal’ energy is explored by first-principles calculations. It is challenging to independently stabilize the ferroelectric phase of hafnia-based films by a single component owing to the rather strict conditions. Surprisingly, the ferroelectricity can be easily obtained when simultaneously considering the effects of oxygen vacancies, uniaxial strain, and applied electric fields, suggesting the extremely important mechanical-electrical-chemical coupling effects. This work provides an explanation for the typical wake-up phenomenon in hafnia and a guidance for film applications.
摘要 铪基薄膜的铁电性被认为源于其亚稳态的极性斜方相。在薄膜的沉积过程中,调节应变、氧空位和掺杂元素,以及“唤醒”的电循环,是促进铪基薄膜产生铁电性的通行做法。然而,从理论计算来看,这些因素单独作用都无法使铁电相变为最稳定的构型。斜方相稳定所需的确切外部条件至今仍不明确。本研究深入分析了氧空位的种类、分布、浓度以及电荷状态的特征,以及单轴应变对晶体能量、介电常数和自发极化(Ps)的影响。此外,我们还利用第一性原理计算,探讨了沿自发极化方向的电场对晶体能量的作用。由于实验条件的严苛性,通过单一因素来独立稳定铪基薄膜的铁电相颇具挑战。出乎意料的是,当氧空位、单轴应变和外加电场的效应同时作用时,铁电性却可以较为容易地实现。这一发现凸显了机械、电学和化学耦合效应的极端重要性。我们的工作为理解铪基薄膜中常见的“唤醒”现象提供了新的视角,并为未来薄膜材料的应用提供了宝贵指导。

