

撰稿|由课题组供稿
近年来,以光子晶体平板为代表的周期性光学结构中的偏振奇点受到了广泛的关注。在动量空间中,光学模式的偏振态将在这些奇点附近形成涡旋,可通过拓扑荷(即偏振态主轴围绕奇点的绕数)进行表征。其中,有两类奇点可以具有半整数的拓扑荷:圆偏振点和简并点。这些奇点具有丰富的物理特性,如圆偏振点的手性响应可以应用于光-物质相互作用、手性辐射等;而简并点则与体系中一些非平庸的拓扑性质如Berry相位有关。为充分发掘这些半整数涡旋的性质,更多半整数涡旋的产生与调控的机制仍有待探索。
在以往的研究中,半整数偏振涡旋主要被发现存在于光子晶体平板这类具有离散平移对称性的结构。而具有连续平移对称性的结构也有相似的动量空间,其中也可以存在丰富的偏振奇点与涡旋,目前已有一些实验和理论工作对部分偏振奇点和对应的涡旋进行了研究,其中的物理形成机制和演化性质有待进一步探索和完善。
研究团队基于各向异性的光学微腔,探究腔模中两类半整数涡旋的产生与演化过程。基于两组偏振正交、模式数奇偶性相反的模式,可利用一个二能级的哈密顿量进行描述:
为等效质量;
为两模式的能量差,可由光轴的倾角调控;
代表两模式的自旋轨道耦合;
代表模式间的RD耦合。当两组模式彼此分开时,能带上没有任何偏振奇点及涡旋。通过调节微腔中各向异性介质光轴的方向,能带会在高对称方向相交,形成一对携带半整数拓扑荷的简并点。另外,由于拓扑荷在演化过程中守恒,因此在其他位置必然存在另外的涡旋。由于RD耦合,研究团队发现在每条能带上还存在一对圆偏振点。这一对圆偏振点具有相反的手性和相同的拓扑荷,使得每条能带的拓扑荷的总和保持不变(图1)。

图1. (a) 各向异性光学微腔及其中的模式在两种不同光轴倾角下的色散; (b) 能带对应的动量空间偏振分布。
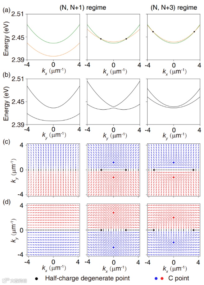
基于上述原理,研究团队具体计算了光轴在不同倾角下能带的色散与对应的偏振分布(图2)。当两组模式分开时,能带在各方向都不会相交;同时其动量空间的偏振分布也不存在奇点和涡旋。而随着光轴倾角的变化,两组模式将会靠近并在Kx方向相交,而在Ky方向由于RD耦合的存在并不会相交。在动量空间中,一对简并点和一对圆偏振点分别对应于两类带有相反拓扑荷的半涡旋。另外,RD耦合的强度也会使得动量空间偏振分布具有不同的特征。这里,两条能带的模式数分别为N和N+1时具有较强的RD耦合,而模式数分别为N和N+3时的RD耦合较弱。可以看到,当RD耦合较强时,圆偏振点附近很大范围的模式都具有高的圆偏振度;而当RD耦合较弱时,在圆偏振点附近的偏振态的圆偏振度变化非常剧烈。

图2. (a) 不同光轴倾角下能带的色散; (b) 对应的动量空间偏振分布。

图3. 动量空间的Berry曲率分布。 (a) 通过哈密顿量模型得到的结果; (b) 有限元计算得到的结果。
此外,利用传输矩阵方法,研究团队计算了各向异性光学微腔在不同偏振入射下的反射谱(图4)。通过反射谱,可以直观地得到光学模式在外场下的响应。在Kx方向,两组模式的响应具有不同的线偏振度,它们的交点即简并点。而在Ky方向,由于圆偏振点不能被手性相反的外场激发,因此在反射谱上对应于消光的区域。同时,圆偏振点也可以通过模式的圆偏振度来体现,它们对应于圆偏振度为±1的区域。

图4. (a) 各向异性光学微腔在线偏振光入射下的反射谱及模式的线偏振度; (b) 在圆偏振光入射下的反射谱及模式的圆偏振度。
研究工作通过调节各向异性光学微腔中光轴的取向,实现了对动量空间中两类具有半整数拓扑荷的偏振涡旋的产生与演化的调控,为实际应用中的偏振奇点设计与偏振态调制提供了一条有效的路径。文章的共同第一作者为赵星棋博士生和王佳俊博士。通讯作者是复旦大学的资剑教授、石磊教授和王佳俊博士。

论文链接:
https://journals.aps.org/prapplied/abstract/10.1103/PhysRevApplied.20.054059

