

撰稿|由课题组供稿
近日,卡内基梅隆大学(Carnegie Mellon University)的史夙飞教授、华盛顿大学(Washington University at St. Louis) 的张传伟教授、厦门大学的李运美教授等课题组联合报道对WSe2单层p-n结中里德堡激子的斯塔克效应研究,文章近期发表于《Nano Letters》。
史夙飞教授研究组在之前的研究中(Nano Letters,(2020), https://pubs.acs.org/doi /abs/10.1021/acs.nanolett.0c03167)已经采用光电流探测的方法,探测到了WSe2单层中直到主量子数等于11为止的里德堡激子的存在。在本研究中,研究组利用层内电场对里德堡激子进行调控,使得激子的不同的轨道随电场变化发生杂化耦合,形成了更多新的激子轨道,同时伴随显著的斯塔克效应引起的能量变化。这一研究证明了二维体系中的里德堡激子可以被层内电场有效调控。
由于二维体系中屏蔽作用的减少,导致库伦相互作用被显著增强了。这使得单层过渡金属硫化物(transition metal dichalcogenides , TMDCs)中的电子空穴对,也就是激子成为了一个重要的研究对象。激子在这里表现出了很强的光-物质相互作用特性,同时是决定TMD单层光学性质的重要因素。因此,实现对于激子的有效调控是实现二维材料各类应用的重要先决条件。
这一体系中的激子常采用里德堡激子来描述。里德堡激子通常由主量子数n以及角动量量子数l来描述。之前的研究证明了1s激子能量可以通过层内电场引起的斯塔克效应被显著调控。而在本研究中,研究者通过斯塔克效应对更高能激子进行了调控,发现其能量变化比1s态的激子更加明显。
在最近被Nano Letters发表的文章中,该研究组通过干法转移的方法制备了氮化硼包裹的WSe2单层,并通过距离240nm的分立栅压在单层中制造了PN结区域。通过调节两个分立栅压各自的大小,可以对p-n结区域的层内电场大小进行连续调节,从而对层内激子进行调控。
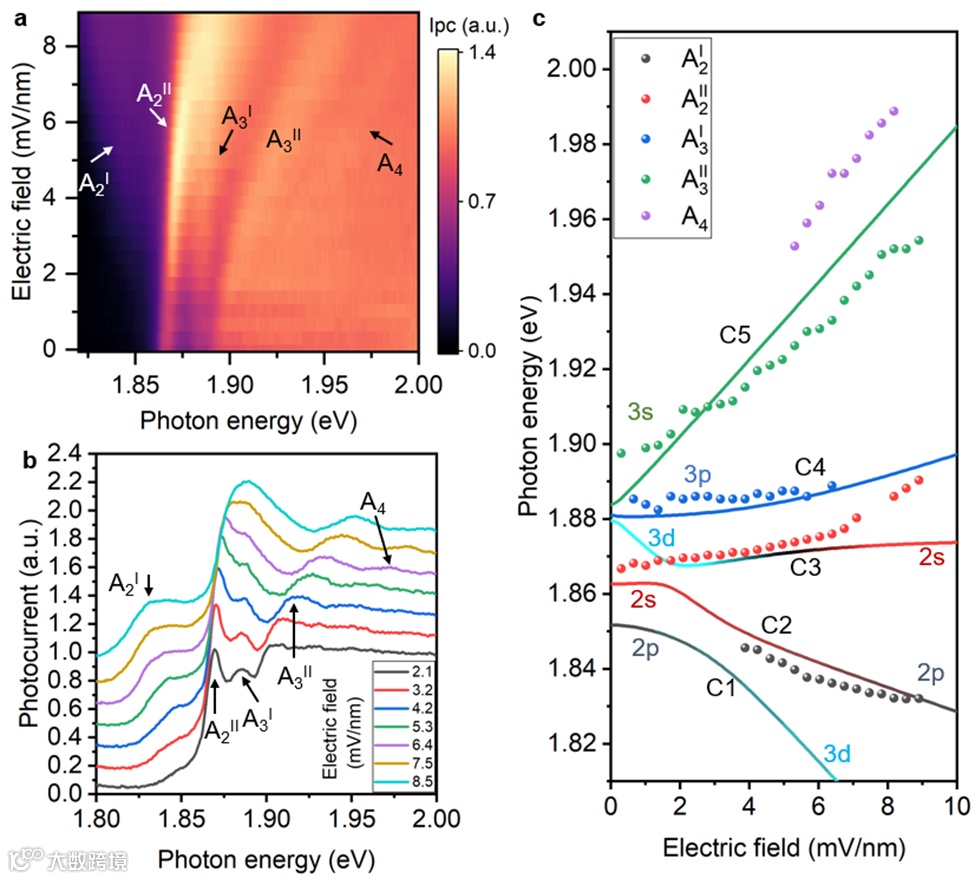
在电场调控中,研究组发现除了1s态激子峰能量随电场大小发生二次函数变化以外,各个高能峰(例如2s,2p,3s,3p等)同样随电场大小发生了明显的能量变化,且能量变化幅度相较于1s态大了一个数量级以上。
该研究组认为这种能量变化来源于层内电场对激子波函数调制引起的斯塔克效应。研究组通过理论计算得出了各高能激子的结合能,从而得出了零场下各激子各自的能量。通过微扰模型的计算,研究组发现由于对于n>1的高能态来说,层内电场引起的斯塔克效应能量大小与不同能态能量差别相当,因此在电场下不同能态会发生杂化,从而形成新的能态。这些新的能态由不同的高能态组成,因此对应激子性质会随组成成分的不同发生明显的变化。例如零场下的2s峰在高场下主要组成成分蜕变为2p,因此能量将发生红移且有明显的斯塔克效应。而零场下的3p轨道由于本身为暗态因此共振吸收效应很弱。但在层间电场的作用下,由于3p轨道与3s乃至2s轨道的杂化,使得原来s轨道的共振吸收强度部分迁移至3p轨道,因此在高场下该杂化轨道变得更为明显。

图1.单层WSe2 中p-n结的光电流谱
图片来源及版权:Nano Letters及论文作者(转载请务必保留此版权说明,以免引起版权纠纷及诉讼)

图2. 单层WSe2的p-n结中激子斯塔克效应
图片来源及版权:Nano Letters及论文作者(转载请务必保留此版权说明,以免引起版权纠纷及诉讼)

图3.里德堡激子的斯塔克效应
图片来源及版权:Nano Letters及论文作者(转载请务必保留此版权说明,以免引起版权纠纷及诉讼)
该团队利用光电流作为探测手段研究了单层WSe2中的里德堡激子随层内电场的变化,发现了高能激子态显著的斯塔克效应(高于1s态一个数量级以上)以及不同激子态的杂化。这为里德堡激子在各类量子效应研究中的应用提供了重要的理论与实验依据。
论文的共同第一作者为连震博士,李运美教授以及博士生闫理。

文章链接:
https://pubs.acs.org/doi/abs/10.1021/acs.nanolett.4c00134
免责声明:本文旨在传递更多科研资讯及分享,所有其他媒、网来源均注明出处,如涉及版权问题,请作者第一时间后台联系,我们将协调进行处理,所有来稿文责自负,两江仅作分享平台。转载请注明出处,如原创内容转载需授权,请联系下方微信号。