

撰稿|由课题组供稿

日前,北京理工大学物理学院张向东教授课题组与清华大学电子工程系黄翊东教授课题组开展合作,基于谷拓扑光子晶体平台,实验实现了拓扑保护的光量子逻辑门。相关成果以“Topologically Protected Quantum Logic Gates with Valley-Hall Photonic Crystals”为题发表在Advanced Materials期刊[Adv. Mater. 202311611 (2024)]上。该工作得到了国家自然科学基金委和国家重点研发计划的大力支持。北京理工大学物理学院何路博士(现为光电学院特立博士后)为该论文的第一作者,北京理工大学物理学院张向东教授、清华大学电子工程系张巍教授为论文共同通讯作者。另外,清华大学电子工程系博士生刘东宁、冯雪副教授、崔开宇副教授、刘仿教授;北京理工大学张慧珍副研究员、博士生张福荣、张蔚暄研究员也对此工作做出了贡献。
实现通用量子计算机是量子信息科学领域的一个重要目标,集成量子门是实现通用量子计算机的关键部件。量子计算机可以通过构建包含CNOT门和Hadamard门的通用量子门集合网络来实现。为了实现通用量子计算机,需要在量子回路中操纵尽可能多的量子比特并提高其对各种错误和噪声的鲁棒性。为解决这个问题,人们首先考虑引入量子纠错算法实现鲁棒的量子计算。然而,由于需要消耗大量的量子回路资源,使得这种方案实现起来非常困难。另一个重要的问题是如何在芯片中构建鲁棒的量子逻辑器件,来抵御一些环境扰动。通过构建鲁棒的量子回路,特别是鲁棒的量子门,可以有效地控制一些制造误差。然而,如何在芯片中构建鲁棒的量子逻辑器件仍然是一个悬而未决的问题。
另一方面,拓扑光子学近年来引起了越来越多的关注。其独特的鲁棒边缘态展现了许多新奇的现象,尤其是单向传播和免疫缺陷的特点。近期的研究表明,实现在微波、太赫兹和近红外频段中的拓扑器件比基于传统光学平台的器件具有更强的鲁棒性。然而,所有这些关于拓扑光子学的研究目前都集中于经典光学系统。在利用拓扑光子学来保护量子逻辑计算方面,还没有得到验证。近期,拓扑保护的双光子态、谷量子光子回路和片上偏振量子纠缠激发已被实验验证。如果可以构建拓扑保护的量子逻辑门,就有望实现抵抗一定程度制造误差的拓扑保护量子逻辑器件。然而,构建拓扑保护的量子逻辑门并不容易。例如,要实现CNOT门,需要构建具有不平衡分束比的拓扑保护2×2分束器。目前人们还不知道如何构建这样的器件。
这里,研究人员基于设计和制造拓扑谷光子晶体来实现拓扑保护的反向耦合器,进而实现了具有任意分束比的拓扑保护2×2光学分束器。进一步,研究人员在硅光子平台上构建了拓扑保护的Hadamard门和CNOT门。重要的是,这些量子逻辑门显示出一定的环境扰动容忍度和低损耗特性。所设计的拓扑保护量子门有望在未来量子计算和信号处理方面广泛应用。
研究亮点之一:基于拓扑反向耦合器设计任意比例2×2分束器
为了实现拓扑保护的量子门,研究人员首先设计了一个三层的拓扑谷光子晶体结构,如图1a所示。两种不同谷拓扑光子晶体VPC1和VPC2的TE能带结构在K(K’)点出现了带隙。尽管VPC1和VPC2的能带结构(图1b)完全相同,但它们具有不同的拓扑性质。这种性质可以由VPC1和VPC2能带的Berry曲率分布展现。如图1c所示,在K(K’)点处出现了带有相反符号的Berry曲率,表明了两种结构的不同谷拓扑性质。

图1. 拓扑谷光子晶体及其理论计算结果。
另外,通过绘制超胞的能带图(图1d),可以清楚地看到,在拓扑能隙中出现了两个边缘态,它们在K谷具有相反的正负群速度。由于有限尺寸效应,两个边缘态之间出现了打开的能隙,这表明它们之间发生了耦合。并且两个边缘态模式具有不同的传播方向,如图1e所示。利用拓扑边缘态的独特特性,研究人员设计了拓扑反向耦合器(topo-CDC)。这里,topo-CDC由三层拓扑谷光子晶体结构组成。图2展示了topo-CDC的SEM图像和理论实验透射率结构。由于topo-CDC的镜像对称性,在端口1和4入射时,端口2和3可以出射任意比例的光。这表明利用topo-CDC可以实现任意分束比的2×2光束分束。
为了证明拓扑CDC的拓扑保护性质,研究人员构建了三个结构,分别是无缺陷(图2b),V型缺陷(图2c)和任意形状缺陷(图2d)的结构。通过耦合模理论计算,全波数值模拟(如图2f所示)和实验测量,研究人员发现所设计的topo-CDC在各种缺陷下依旧可以执行具有任意分光比的2×2分束器功能。接下来,研究人员选取分束比为33:67(50:50)的topo-CDC来构造拓扑保护的CNOT(Hadamard)门,进而实现拓扑保护的量子逻辑器件。

图2. 拓扑保护的反向耦合器。
研究亮点之二:设计并实验实现拓扑保护的CNOT门和Hadamard门
。编码光子通过二维光栅注入到芯片中,二维光栅可以将自由空间中的偏振编码光子转换为芯片内的路径编码光子态。通过在topo-CDC中发生的两光子干涉实现CNOT功能。在这种情况下,输出量子比特可以通过包含HWP,QWP,偏振分束器(PBS)和光纤耦合的超导纳米线单光子探测器(SNSPD)的态层析模块进行测量。
图3. 拓扑保护的CNOT门。
下,分别测量相应的输出态,来表征CNOT门的功能。CNOT门的真值表的测量结果如图3c所示,相应的理想结果如图3d所示。通过比较,发现实验结果与理论结果吻合地很好,表明CNOT门的性能良好。为了量化实验结果,研究人员计算了CNOT门的平均变换保真度,其表达式为
,其中Mth和Mexp分别是CNOT门真值表的理论和实验矩阵。高保真度的数值F=0.9380±0.0051证明了CNOT门的良好性能。
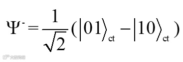
中生成最大纠缠Bell态
。为此,以编码形式为
的控制和目标光子被同时注入CNOT门中。输出的双光子态纠缠性质可以通过测量干涉条纹的可见度来验证。在这种情况下,图3f展示了符合光子计数率随目标光子分析装置中的HWP旋转角度变化关系。其拟合曲线的干涉可见度为v=(Cmax-Cmin)/(Cmax+Cmin),其中Cmax和Cmin对应于测量到的符合光子计数率最大和最小值,得到的可见度分别为93.57%和86.90%(>70.7%),表明所设计的CNOT门可以有效地产生量子纠缠。
论文链接:
https://doi.org/10.1002/adma.202311611

