

近日,湘潭大学郝国林教授课题组协同运用电子束蒸发镀膜技术和化学气相沉积技术,在多种基底上实现了晶圆级(2英寸)、均匀PdS2xSe2(1-x)纳米薄膜的可控制备。基于PdS2xSe2(1-x)纳米薄膜构筑的光电探测器在室温下实现了从可见光至近红外的宽光谱探测。在850 nm光照下,其展现出0.192 A W−1的高响应度和5.5×1011 Jones的探测率,并基于该器件进一步实现了高分辨单像素红外成像。
相关成果以“Controllable growth of wafer-scale two-dimensional PdS2xSe2(1-x) nanofilms with fully tunable compositions for high-performance photodetectors”为题发表在《Journal of Materials Science & Technologys》期刊。湘潭大学郝国林教授与合肥工业大学于永强副教授为论文共同通讯作者,湘潭大学硕士研究生周欢为第一作者,广西师范大学硕士研究生郝玉龙和湘潭大学本科生樊晨为共同一作。
第10族贵金属过渡金属硫属化合物 (NTMDs) 具有强烈的层数依赖特性、层间相互作用和可调的电子结构和物理性质,展现出宽的可调带隙、高载流子迁移率、各向异性等诸多优异特性,在光电晶体管、气体传感、光电探测器、催化等领域具有重要的应用潜力。二硒化钯 (PdSe2) 作为NTMDs家族中的一员,已被证明具有优异的光电性能,是可见光至红外宽带光探测器的绝佳候选材料。目前,2D NTMDs吸引了研究人员越来越多的关注,然而由于其组成成分单一使得材料物性难以精准调控。先前的研究表明合金化策略可以实现对二维材料性能的有效调控,有望促进其在电子学、光电子学、催化等领域的应用。然而,目前大多数报道都集中在2D TMDs合金的可控制备,晶圆级PdS2xSe2(1-x)纳米薄膜的研究仍处在起步阶段。因此,深入探索高质量、大面积二维PdS2xSe2(1-x)纳米薄膜的可控制备策略对促进其在电子学、光电子学等领域的发展具有重要的科学意义。
研究团队协同运用电子束蒸发镀膜与低压化学气相沉积法,通过调节预沉积钯薄膜的厚度和生长温度,深入探究2英寸晶圆级PdS2xSe2(1-x)纳米薄膜的可控制备技术,相应的生长示意图如图1所示。

图1 晶圆级2D PdS2xSe2(1-x)纳米薄膜合成示意图
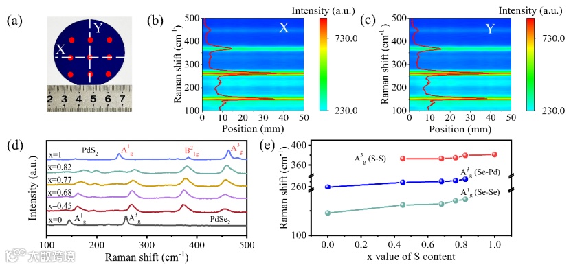
图2展示了在2英寸SiO2/Si 晶圆上生长的PdS0.9Se1.1纳米薄膜的数码照片。通过调节硫粉和硒粉的比例,可以进一步合成一系列具有成分连续可调的PdS2xSe2(1-x)纳米薄膜。相应的表征如图2所示。
图2 晶圆级PdS2xSe2(1-x)纳米薄膜的拉曼表征
基于PdS2xSe2(1-x)纳米薄膜构筑的光电探测器在可见光至近红外波段的宽光谱范围内表现出优异的光电性能,其光电流和响应度等性能与PdSe2薄膜器件性能相比均得到显著提升。在850 nm波段,PdS2xSe2(1-x)器件的响应度和探测率分别高达0.192 A W−1和5.5×1011 Jones(如图3所示)。我们进一步基于Hadamard单像素成像技术实现了高分辨红外成像(如图4所示)。研究结果为大面积PdS2xSe2(1-x)纳米薄膜的精准合成提供一定的实验支撑,有望推动其在宽带光电探测和单像素成像领域的发展。

图3 基于PdS2xSe2(1-x)纳米薄膜光电探测器的光电性能

图4 PdS2xSe2(1-x)纳米薄膜器件的近红外单像素成像
该工作通过在不同基底上预沉积Pd薄膜并结合低压化学气相沉积技术成功合成成分可调的晶圆级PdS2xSe2(1-x)纳米薄膜。基于PdS2xSe2(1-x)薄膜的光电探测器展现出优异的光电性能(0.192 A W−1的响应度和5.5×1011 Jones的探测率),在可见光至近红外波段范围内展现出良好的探测能力。晶圆级2D NTMDs纳米薄膜的精准合成策略为大面积二维材料的可控制备提供了一种新的合成路径,为未来基于二维半导体光电子器件的构筑提供一定的实验支撑。

论文信息:
Huan Zhou ,Yulong Hao, Chen Fan , Shiwei Zhang , Chen Wang , Kaiyi Wang , Jie Zhou , Shijie Hao , Ting Shu , Xuemei Lu ,Bo Li , Yongqiang Yu∗, Guolin Hao∗, Controllable growth of wafer-scale two-dimensional PdS2xSe2(1-x) nanofilms with fully tunable compositions for high-performance photodetectors, Journal of Materials Science & Technologys, (2025), 228, 200-207
原文链接:
https://doi.org/10.1016/j.jmst.2024.12.036
免责声明:本文旨在传递更多科研资讯及分享,所有其他媒、网来源均注明出处,如涉及版权问题,请作者第一时间后台联系,我们将协调进行处理,所有来稿文责自负,两江仅作分享平台。转载请注明出处,如原创内容转载需授权,请联系下方微信号。

