

当前的电磁射频工程主要建立在线性麦克斯韦方程组及其相关的经典电磁理论之上。这些理论不仅构成了现代电磁系统分析与设计的核心框架,也从根本上限定了系统性能的物理上限。例如,Chu极限定义了电小天线的最小Q值,从而限制其带宽;Fano-Bode 极限约束了无源匹配网络在实现低反射损耗与宽频带之间的权衡,进而影响放大器或天线系统在增益、效率和带宽之间的整体性能折中;Hannan 极限指出,阵列天线系统中单元之间的互耦将限制阵中辐射效率;衍射极限则决定了成像系统的空间分辨率;而香农-奈奎斯特理论则规定了阵列天线的最优单元排布密度及其信息传输容量。近年来,非线性电磁学的发展为突破这些极限提供了新的理论视角与工程路径。在天线设计中,基于non-Foster网络的非线性电路通过引入负阻抗转换器打破了被动系统的能量约束,实现了对Chu极限的突破,从而显著扩展了电小天线的带宽性能;引入时变电感、电容结构与主动非线性调控机制的系统,有望实现对频率响应的动态控制,进而超越Fano-Bode极限;在光学与成像领域,诸如受激发射耗尽等非线性光学过程,已在超分辨率成像中打破了传统的衍射极限。
与此同时,非线性电磁系统的建模与计算也面临诸多挑战:如何准确提取非线性响应中的微弱信号,如何确保数值算法在高非线性环境下的收敛性与稳定性,以及如何将理论模型有效对接实验数据,构建可验证、可预测的建模仿真方法等。这些问题的解决将是推动非线性电磁学从理论走向实用的关键所在。近日,浙江大学信电学院沙威课题组,联合陈文超课题组,利用非线性电磁理论构建了频域下微带线中分布式非线性源的具体形式,结合传输线模型成功模拟了微带线中的无源互调(PIM)效应,并采用自洽数值方法对非线性方程进行耦合求解,成功实现了对任意三维拓扑结构微带线的PIM建模与仿真。该工作对大功率通信系统中的微带传输线PIM效应研究走向工程应用具有重要意义,相关研究在2025年4月以《一种支持三维拓扑结构微带线的非线性频域无源互调模型》(“A Nonlinear Frequency-Domain Model of Passive Intermodulation in Microstrip Lines Supporting 3-D Topology”)为题发表在IEEE Transactions on Microwave Theory and Techniques上。
图1 (a) 微带传输线的非线性作用机制 (b) 非线性微带传输线模型
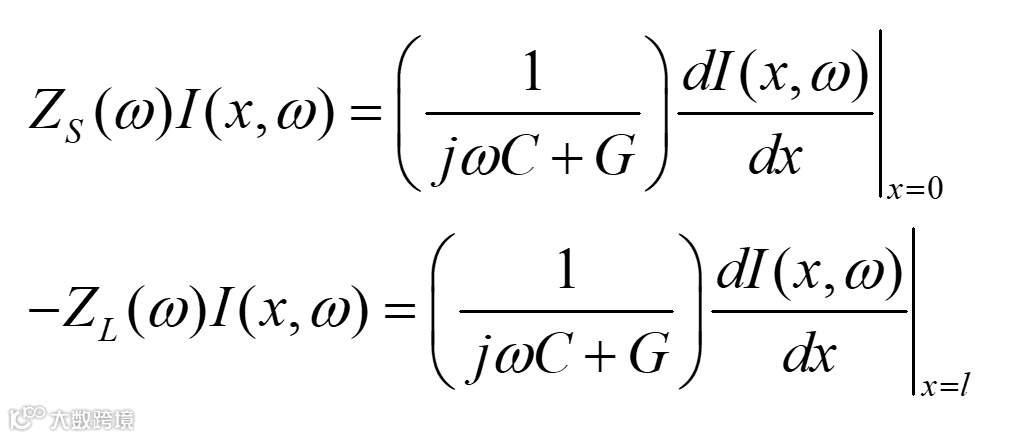
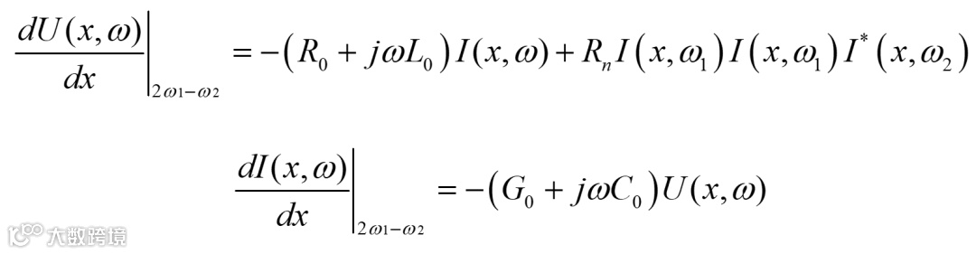
为简化分析过程,以下仅讨论三阶非线性频率2ω1-ω2下的PIM建模。根据非线性电磁学理论,非线性的交调频率成分必然由两线性频率成分相互混频生成并沿着微带线的信号路径传输。在微观视角中,可认为是两种频率下运动的电子在边缘缺陷或粗糙表面处发生相互散射的过程导致了非线性信号的生成,如图1所示。在频域下,微带线输入双频信号后,线性信号的传播形式为e jk1x和e jk2x,生成的非线性信号则以e j(2k1-k2)x的形式进行传播。因此,在严格形式的约束下,不同位置处产生的分布式非线性电流为I(x,ω1)I(x,ω1)I*(x,ω2)。这里,采用非线性系数Rn表征单位长度传输线中的非线性散射强度,从而将微带线的PIM归为由离散的弱非线性散射源相互干涉的结果。最终,信号频率为2ω1-ω2的非线性传输线方程为:
将电流方程对x求微分并联立电压方程可得非线性电流的二阶微分形式:
端口处的边界条件为:
利用有限差分法进行二阶差分离散化,迭代求解得到PIM分布:
上式表明,根据线性电流I(x,ω1)和I(x,ω2)的数值解,便可获得频率为2ω1-ω2的非线性电流分布。线性电流解的求解与上述过程类似,仅忽略了表达式中的非线性电压源项。这是因为线性信号水平远大于非线性信号,非线性信号对线性部分的贡献可以忽略,经过自洽求解后也证实非线性信号对线性部分的贡献很小。
将微带线末端接入理想负载,PIM测试仪输入端发射信号到微带线的输入端口, PIM测试仪接收端连接到近场探针,沿着微带线信号路径探测各位置处的PIM分布,结果如图2(a)所示。可以发现,微带线各位置处的PIM预测结果与近场探测数据之间的误差较小,验证了非线性模型的准确性。
图2 (a) PIM近场分布测试验证 (b) COMSOL与数值模型求解的直微带线PIM分布
由于非线性模型是在频域中构建,且非线性源与线性电流直接相关,因此能采用数值方法实现非线性方程的耦合求解;从而将非线性数值模型拓展到多物理场分析软件COMSOL中,进行全流程自动求解微带线中的PIM分布。利用COMSOL软件在频域中建模直微带线,得到的PIM分布结果与传输线模型的求解结果一致,如图2(b)所示,表明结构扩展具备可行性。进一步地,在COMSOL软件中构建了弯折结构的微带线,并与实验结果进行对比验证,如图3所示,证明了模型对特殊拓扑结构微带线的适用性,从而为低PIM结构的设计与优化提供手段。
图3 (a) 弯折微带线的非线性电场分布 (b) 弯折微带线的PIM仿真与实验结果
本工作提出了一种支持三维结构扩展的微带线PIM非线性频域模型,为实现对PIM的有效抑制提供了新的理论工具。该建模方法可进一步推广应用于耦合器、滤波器等复杂无源器件的PIM建模与优化设计中,推动高性能射频电路的集成化与低干扰化发展。论文第一作者为浙江大学博士研究生王文博,通讯作者为浙江大学沙威与陈文超。该工作的合作者包括浙江大学王翊民、段华丽博士、袁帅博士。
Wenbo Wang, Wenchao Chen, Yimin Wang, Huali Duan, Shuai S. A. Yuan, and Wei E. I. Sha, “A Nonlinear Frequency-Domain Model of Passive Intermodulation in Microstrip Lines Supporting 3-D Topology,” IEEE Transactions on Microwave Theory and Techniques, 2025.
DOI: 10.1109/TMTT.2025.3558262
供稿:课题组

