
研究背景
原子级二维半导体( 2DSCs ) 由于其优越的抗短沟道效应能力而引起了人们的广泛关注。调控半导体中的载流子密度对于控制其基本电子性质和相应的器件性能至关重要。
关键问题
然而,2DSCs载流子密度的调控主要存在以下问题:
1、传统方法无法同时实现2DSC结构性能保持和有效的载流子密度调控
传统的离子注入掺杂方法会严重损坏2DSC的原子级薄晶格,降低其电子性能,且高能离子注入不适合2DSC。表面吸附物掺杂虽然可以不改变原始晶格,但通常涉及侵蚀性化学处理,会引入表面杂质或库仑散射中心,降低电荷传输性质,且稳定性有限,与高分辨率光刻工艺不兼容。
2、2DSC器件中,难以有效降低接触电阻
在2DSC器件中,金属电极与半导体沟道之间的接触电阻较大,尤其是在超短沟道晶体管中,RC显著影响总电阻和开关速度。传统的杂质掺杂方法难以在2D晶格中有效实现,而其他降低RC的策略(如低能量沉积金属接触、半金属接触等)对p型2DSC效果不佳,且缺乏适合低温沉积的高功函数金属。
新思路
有鉴于此,湖南大学段曦东团队等人报道了Ⅲ型范德瓦尔斯异质结中的层间电荷转移掺杂可以通过外部栅极进行大幅度调制,从而实现重掺杂效应。系统的门控霍尔测试显示,调制的载流子密度约为栅电容电荷的5倍,实现了每平方厘米1.49 × 1014的超高2D空穴密度,远远超过典型介质击穿施加的最大可能静电掺杂极限。高效的空穴掺杂使得高性能的p型二维晶体管具有超低的接触电阻( ~ 0.041 kbm )和创纪录的ON态电流密度( ~ 2.30毫安值/ μm )。
技术方案:
1、制备了1L-SnS₂/2L-WSe₂范德瓦尔斯异质结构
作者通过化学气相沉积制备了1L-SnS₂/2L-WSe₂范德瓦尔斯异质结构(vdWH),形成III型断裂带排列,实现电子从WSe₂转移到SnS₂。
2、比较了2L-WSe₂和1L-SnS₂/2L-WSe₂ vdWH器件的电输运行为
作者研究比较了2L-WSe₂和1L-SnS₂/2L-WSe₂ vdWH霍尔棒器件的电输运行为。vdWH器件表现出更高的空穴密度和更陡的电导斜率,表明存在额外的电荷掺杂机制,且未检测到明显电子传输信号。
3、探讨了1L-SnS₂/2L-WSe₂ vdWH器件的接触电阻(RC)
研究发现,1L-SnS₂/2L-WSe₂ vdWH器件的RC在Vgs = -40 V时低至0.045 kΩ·μm,比裸2L-WSe₂低两个数量级,是目前报道的2D半导体中最低的室温RC。
4、证明了大面积vdWH薄膜的高度可靠性
作者证实了1L-SnS₂/2L-WSe₂ vdWH晶体管在不同沟道长度下实现高达2.30 mA/μm的Ion和极低Ron(0.27 kΩ·μm),性能优于其他2D晶体管。大面积器件阵列测试显示高度可靠的欧姆接触,证明了该方法的可扩展性。
技术优势:
1、提出了栅极可调谐能带调制方法,实现了超掺杂效应
本文报道了一种基于栅极可调谐能带调制的掺杂方法,通过在单层SnS₂和双层WSe₂之间形成III型断带排列的范德瓦尔斯异质结构,利用外部栅极偏压调节层间电荷转移掺杂。实现了超掺杂效应,载流子密度超过传统静电掺杂极限。
2、显著降低了二维晶体管的接触电阻并提升了导通电流密度
本工作将p沟道2D晶体管的最低接触电阻(RC)降低到约0.041 kΩ·μm,最高导通电流密度(Ion)提升到约2.30 mA/μm。有效解决了2DSC器件中接触电阻高的问题,显著提升了器件性能,为高性能2D晶体管的开发提供了重要技术支持。
技术细节
SnS2/WSe2 vdWHs中的调制掺杂
研究通过化学气相沉积工艺在2L-WSe₂上外延生长1L-SnS₂,制备了1L-SnS₂/2L-WSe₂范德瓦尔斯异质结构(vdWH)。原子力显微镜和能量色散光谱确认了其厚度和元素分布,选区电子衍射和高角度环形暗场扫描透射电子显微镜图像揭示了其良好的晶格匹配和莫尔结构。密度泛函理论(DFT-GW)计算表明,该vdWH形成后,2L-WSe₂和1L-SnS₂的能带结构发生轻微变化,形成III型断裂带排列,电子从WSe₂价带转移到SnS₂导带,导致WSe₂的p型掺杂和SnS₂的n型掺杂。紫外光电子能谱(UPS)和X射线光电子能谱(XPS)分析进一步证实了WSe₂的费米能级(EF)降低和空穴掺杂效应,以及SnS₂的EF上升和电子掺杂效应。这些结果表明,该vdWH结构能够有效实现载流子密度的调控,为2D半导体的超掺杂提供了新的途径。

图 1 L-SnS2/2L-WSe2 vdWH中的调制掺杂
栅极可调的二维载流子密度
作者比较了SiNx/Si衬底上的2L-WSe₂和1L-SnS₂/2L-WSe₂范德瓦尔斯异质结构(vdWH)霍尔棒器件的电输运行为。实验中,Si衬底和70 nm厚的氮化硅分别作为全局背栅和栅介质,形成场效应晶体管(FET)。两种器件均表现出p型输运行为,但1L-SnS₂/2L-WSe₂ vdWH FET的阈值电压(Vth)正移,且电导随栅压增加的斜率更陡,表明存在额外的电荷掺杂机制。通过栅控霍尔测量,1L-SnS₂/2L-WSe₂ vdWH在Vgs = -40V时的空穴密度可达1.49 × 10¹⁴ cm⁻²,比2L-WSe₂高两个数量级,且未观察到明显的电子传输信号,这归因于1L-SnS₂中较低的电子迁移率。这些结果表明,1L-SnS₂/2L-WSe₂ vdWH通过载流子密度的显著增加实现了超掺杂效应,为2D半导体的高性能应用提供了重要基础。

图 栅极可调频带调制实现1 L-SnS2/2L-WSe2 vdWH中的2D载流子密度
通过高载流子密度实现超低RC
作者进一步探讨了1L-SnS₂/2L-WSe₂ vdWH器件的接触电阻(RC),并将其与裸2L-WSe₂器件进行比较。实验中,使用高功函数的Au作为源极和漏极,70 nm厚的SiNx作为背栅介质。通过传输线模型(TLM)测量,1L-SnS₂/2L-WSe₂ vdWH器件的RC随负栅压增加而降低,最低达0.045 kΩ·μm(Vgs = -40 V),比2L-WSe₂低两个数量级。四探针测量进一步证实了这一结果,表明1L-SnS₂/2L-WSe₂ vdWH的比接触电阻在Vgs = -40 V时为0.041 - 0.049 kΩ·μm,是目前报道的2D半导体中最低的室温RC值,尤其是对于p型通道器件。此外,1L-SnS₂/2L-WSe₂ vdWH FET的输出特性显示出与接触金属功函数无关的高度可比较的电流水平,表明其在高载流子密度状态下主要由隧穿注入主导,而裸2L-WSe₂ FET在使用高功函数金属接触时表现出更高的空穴注入效率。这些结果表明,1L-SnS₂/2L-WSe₂ vdWH器件在实现低RC方面具有显著优势,为高性能2D半导体器件的开发提供了重要参考。

图 1 L-SnS2/2L-WSe2 vdWH FET中的超低RC
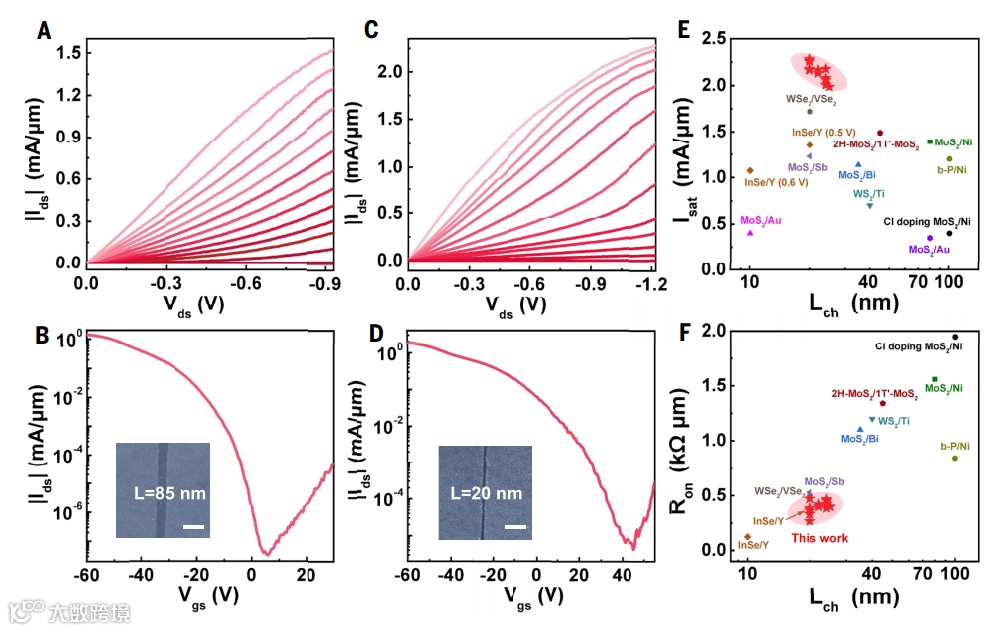
p沟道2D晶体管中的超高电流密度
本研究展示了1L-SnS₂/2L-WSe₂ vdWH晶体管在超低阻容材料中的优异性能。在不同沟道长度(85 nm、30 nm、20 nm)的器件中,实现了高达2.30 mA/μm的导通电流密度(Ion),是所有2D晶体管中最高的,并保持超过10⁸的通断比。这些器件在标准电源电压(Vds = 0.7 V)下可实现高达2.00 mA/μm的Ion,显著优于其他2D半导体晶体管。同时,实现了极低的导通电阻(罗恩),分别为0.53、0.40和0.27 kΩ·μm,是相应沟道长度下最低的。此外,研究者制备了1.5 × 1.5 cm²的连续膜,并制造了大面积器件阵列。对130个FET的测试表明,所有器件均表现出优异的欧姆接触特性,平均Ion > 1.0 mA/μm,通断比达10¹⁰,证明了大面积vdWH薄膜的高度可靠性。

图 1 L-SnS2/2L-WSe2 vdWH FET 的超高Isat和超低Ron
展望
总之,本研究报道了一种栅极可调能带调制超掺杂策略,通过形成1L-SnS₂/2L-WSe₂等III型vdWHs,实现电子转移和空穴掺杂。该方法在2DSC中实现了超过介电击穿极限的超掺杂效应,获得1.49×10¹⁴ cm⁻²的载流子密度,最低RC约0.041 kΩ·μm,最高导通电流密度约2.30 mA/μm,且具有通用性。
参考文献:
BEI ZHAO, et al. Gate-driven band modulation hyperdoping for high-performance p-type 2D semiconductor transistors. Science, 2025,388(6752)1183-1188.
https://www.science.org/doi/10.1126/science.adp8444

