

近日,上海理工大学谷付星教授课题组报道了一种在二氧化硅微光纤曲面上运行的金属纳米线旋转马达。研究团队提出体力−面力统一原理,从物理层面明确了光热冲击中的光热梯度力驱动机理,阐述了以摩擦力为代表的面力在其中作用。在实验方面,通过实现单纳米线和多纳米线组合体稳定且纯原位旋转,验证了该原理。研究成果以“In situ impulse-rotation nanomotors on microfibers driven by photothermal gradient forces”为题发表在APS国际物理学期刊《Physical Review Applied》上。上海理工大学博士研究生顾兆麒和窦琳为论文共同第一作者,谷付星教授为通讯作者。
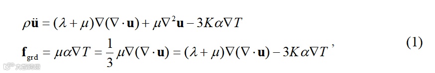
谷付星教授课题组在之前报道的工作[Nat. Commun. 14, 7663 (2023)]中展示了固体界面上的激光捕获与操控技术−光热冲镊,揭示了纳秒脉冲激光能够为纳米金属材料提供光热梯度力,使其克服表面摩擦力在干界面进行移动,并且通过在材料内部形成瞬态应变梯度力阱,可以进一步在二维平面内对纳米金属材料实现捕获及任意操控。这里的光热梯度力fgrd本质上来源于内应力,

其中u为位移矢量(u为时间二次导数),μ为剪切模量,α为线性热膨胀系数,
是体积模量,λ为第一Lamé系数,T为温度。从公式中可以看到,光热梯度力在形式上是体力,并且是三维波动方程中的源项。瞬态的温度梯度可以产生光热梯度力形式的脉冲激发。由于这样的激发会随着波动快速消散,因此有时间局域性,这也是课题组用冲击性来命名光热冲镊的原因。
论文从流体运动得到启发,现有纳米马达通常在流体环境中运行以大大降低阻力,仅仅需要相对小的推进力来克服由布朗运动引起的随机扰动。流体中重要的纳维-斯托克斯方程如下,

其中ρ 是密度, v 是速度,η是动态粘度,p 是压力,η∇2v 是粘性项,ρ(v·∇)v 是惯性项,方程忽略了外力。
根据高斯散度定理,粘性项可以按如下方式转换:

其中
是流体中的粘滞力,en是单位外法矢,Ω是积分区域,∂Ω是Ω边界。τt 作用在界面上应当是面力,但在式(2)中是体力形式,和作用在整个物体的惯性项ρ(v·∇)v有相同表现形式,类比于这样的处理,研究人员提出了体力−面力统一原理。在固体中,也同样有这样的关系,并且固体力学对应物理量是应力。应力是个张量,具有更高阶数学形式,它来源于压强,具有面力性质,又在空间上分布,具有体力形式。
体力−面力统一原理有更深远意义。一般来说,一个物体尺寸与长度成比例变化时,它的体积(三次函数)比表面积(平方函数)变化更快,其他的三次函数与平方函数关系是相似的,这被称为平方−立方定律。特别是在纳米尺度上,体(立方)力比面(平方)力小得多。流体中的纳米马达往往利用了表观的表面(界面)力,使用不对称结构或不对称势场在界面上产生推进力,但很少使用应力。在固体中,内应力可以被外部场激发,如光热冲击和逆压电效应,它与表面阻力的尺寸升降量级相同,都是尺寸平方,这提供了利用外场感应内应力克服表面阻力的可能性。
如图1所示,微纳光纤通入脉冲激光使,放在光纤表面的钯纳米线被激发,产生光热冲击,纳米线沿着微纳光纤轴螺旋进动。该进动可以持续8秒,进动总距离可达 0.1 毫米。纳米线马达的旋转和平移相关的实验数据都具有良好线性,显示了进动的稳定性(图1c)。展开微纳纤维侧面,纳米线马达进动可以分解为轴向平移和绕轴旋转(图1d),合速度为 14.0 μm/s,轴向平移和圆周旋转分速度分别为 11.6 μm/s 和 7.9 μm/s (相当于每秒 2.5 圈),进动螺旋角约34°。单脉冲驱动下的位置分辨率和旋转角度分别计算为 0.58 nm 和 2.3 arcmin。纳米线的扭矩质量比可计算为 0.29 Nm/g,扭矩为 0.73 pNm。

对纳米线马达进行整体分析,能初步验证本章提出的体力—面力统一原理。为便于动力学分析,除以ex和ey为基矢量的常见笛卡尔坐标系外,还建立了纳米线的横向(ea)和轴向(eb)局部坐标系,纳米线运动方向与eb方向相反(图2a)。通过应变和应变率时间变化的模拟图,可以直观感受到冲击下的激烈变化(图2b)。对于整个纳米线来说,摩擦是整个纳米线在运动方向上唯一的外力(图2d),它受到散度定理的约束。数值上,摩擦力和所有体力的积分值应当一样,可以按照散度定理写出:

其中Fte、Ff和ff分别为热弹性力(N)、摩擦力(N)和界面摩擦应力(N/m2)。
Fte和Ff在运动方向上分量值大致相等,满足于散度定理,它们的值也等于质量乘以加速度得出的动力值,这与牛顿运动第二定律相符(图2e)。但是整根纳米线的质心位移ūb方向与实验结果不一致(图2c,灰色),ūb由以下给出,

其中ūi为对应指标(i = x, y, z; a, b, z)的质心位移。实验中运动纳米线总是朝向热端前进,与热梯度力作用方向相同,数值模拟出来的整体位移与值不符,这表明仅进行整体分析过于简单,需要借助其他手段。事实上,纳米线牢牢吸附在微纳光纤上,悬挂部分可能会有明显振动,但并不能使纳米线与光纤的接触点改变,因此接触点位移决定了纳米线整体位移。基于此,文章转而对纳米线与微纳光纤接触点附近的局部区域进行分析。
选择纳米线接触一端长0.6 μm的局部区域(图2f),此区域完全覆盖纳米线与微纳光纤之间的接触区域。从模拟结果看到,该区域质心位移方向与实验结果一致,并且此时得出的Fte的值等于质量乘以加速度得出的动力值,这表明局部分析的动力学合理性。对于选择区域,实际有效表面力除界面摩擦Ff外,还包括内部张力Fb,如下表示:

其中Tij表示相应指标的应力张量分量(i, j = x, y, z; a, b, z),θ表示ey和eb之间的角度。Fb的峰值达到0.8 μN,对应的应力值为4×107 Pa,这不足以使钯纳米线产生裂纹,因为钯纳米线的强度极限在GPa的范围内,远高于其块体材料。Fb和Ff的合力与整个纳米线的位移方向一致,其值与该接触区域质量乘以加速度得出的动力值一致(图2g)。

直接影响纳米线运动的力Fte包含热梯度力项和应力项。虽然热梯度力会存在相当长的时间,但它只能在稳定的应力分布建立之前生效,而在应力稳定分布之后Fte将变成0。在光热冲击下,可以认为应力分布来不及响应,仅有热梯度力起作用而发生驱动,于是有以下近似,

热梯度力就替代Fte就成为散度定理中的体力。光热冲击之后,由于热梯度力被应力项及时响应,热梯度力不发挥驱动作用。近似后的散度定理式(7)表明,内张力Fb来源于(积分后的)光热梯度力Fgrd。类比于前驱汽车,Fgrd相当于汽车发动机直接传递发挥效果的力,Fb相当于汽车前半驱动部分对后半从动部分的有效牵引力,Ff则是汽车轮胎承受的摩擦力。
纳米线的横向尺度只有几百nm,在声子平均自由程附近,因此在这个方向上使用弹性力学并不太合理,相关的模拟结果可信度较低。虽然横向质心位移ūa显示了一个较小的值,表明纳米线有较小的横向位移(图2c),但这个结果应该舍弃。从这个角度来看,只要纳米线轴与光纤轴垂直,就可以消除纳米线的横向移动,在实验中纳米线与微纳光纤的轴线垂直时,确实可以实现原位旋转。如图3所示,使用脉宽5 ns,重复频率为4 kHz的1064 nm纳秒脉冲激光。一根长10.7 μm的钯纳米线在直径1.2 μm的微纳光纤的一个固定横截面上连续旋转。纳米线轴线与超细纤维轴线垂直,旋转持续2分钟。平均线性旋转速度为2.7 μm/s,相当于0.7转/秒。纳米线在一个脉冲中移动的步长为0.67 nm,旋转角为3.8 arcmin。利用旋进运动相同的运动简化,计算得到动力为0.07 μN,质量为2.6 pg(截面200 nm×100 nm),纳米线转矩为0.07 pNm,转矩质量比为0.027 Nm/g。

这项工作利用脉冲激光诱导产生光热冲击,展示了二氧化硅微光纤曲面上的钯纳米线旋转电机,并进一步实现了单纳米线和多纳米线组件的原位旋转。研究人员提出并证实物体力−面力统一原理,阐明了光热梯度力作用于干界面的机理,解释摩擦力在其中的作用,消除了其中的物理模糊性。这项工作为使用瞬态光热梯度力在纳米尺度上操控纳米材料奠定了坚实的基础,光热梯度力的简单驱动机制拓宽了纳米马达的应用范围,从流体到固体环境,并且可以很容易地通过复杂的光波导、结构光调制或集成的纳米机电系统进行扩展。

文章链接:
https://doi.org/10.1103/PhysRevApplied.22.054066

