

基于电介质的静电储能电容器具备超快充放电速率和超高功率密度等优势,然而能量密度低是其主要缺点,限制了其在器件小型化和集成化方向的发展。因此,开发高能量密度、高可靠性和高效率的材料成为当前介电储能的研究重点。
近日,南京大学杨玉荣、吴迪课题组基于第一性原理提出了一种基于Sc和B掺杂AlN的体系中顺电-亚顺电(PE-MPE)相变的储能机制,P-E曲线呈现高电场下极化饱和与低滞后损耗的特点,储能密度达到300 J/cm3(见图1)。成果以“Giant energy density nitride dielectrics enabled by a paraelectric-metaparaelectric phase transition”为题发表在Nature Communications期刊上。
电介质电容器凭借超快充放电速率和高功率密度在电力与电子领域极具应用潜力,但其能量密度显著低于电化学储能技术,制约了器件小型化发展。虽然现有研究最高能量密度可达200 J/cm³,但仍远低于电化学电池水平。能量密度(W)和效率(η)由极化差值(ΔP= Pmax - Pm)、击穿场强(Eb)及滞后损耗共同决定。传统线性电介质ΔP低,而铁电体(FE)虽ΔP大,但高剩余极化(Pm)导致能量密度受限(见图2(a))。通过纳米畴结构调控的弛豫铁电体(RFE)可将剩余极化降低,并在铁电薄膜中实现112 J/cm³能量密度,进一步缩小畴尺寸至晶胞量级时,超顺电(superparaelectric)弛豫铁电体展现出152 J/cm³能量密度和98%效率,但其低电场极化饱和特性限制了性能提升(见图2(b))。反铁电体(AFE)因相变诱导的大ΔP和极低Pm成为储能新方向,但低相变电场和高损耗限制了其实际应用(见图2(c))。弛豫反铁电体通过提升相变电场为突破瓶颈提供可能,但材料体系稀少且击穿强度不足。
图1 最近电介质薄膜的能量密度记录
图2 介电材料的P-E曲线示意图
)和高击穿场强(> 6 MV/cm)的特性,系统研究了(Al,Sc,B)N基的III族氮化物。研究发现该类材料在基态呈现顺电性,在外电场作用下可转变为铁电态或亚顺电态。这种PE-MPE相变可产生高达308 J/cm³的巨大的能量密度和98%的超高转化效率,显著超越此前报道的202 J/cm³记录值。该策略与氮化物材料体系为开发兼具高能量密度和高效率的新型介电电容器提供了全新的途径。

图3 氮化物的相结构
本研究系统性地考察了纤锌矿(WZ)、六方(HE)、岩盐(RS)、闪锌矿(ZB)以及β-BeO结构(BB)五种典型晶格结构(见图3)在(Al,Sc,B)N合金体系中的稳定性与转变路径。由于块体WZ-AlN极化状态稳定且难以在电场下发生翻转,研究发现顺电性的HE与BB结构在极化翻转过程中可作为中间态,成为实现可切换极化结构的重要调控手段。进一步分析表明,仅靠单一掺杂Sc或B元素不足以稳定HE或BB基态,因此本工作首次引入三元阳离子调控策略,旨在实现多晶格结构之间的精确转换,为高性能铁电材料的设计提供了新思路。

图4 (Al,Sc,B)N的稳定性和相图
通过系统调节(Al0.78-xScxB0.22)N中的Sc浓度x,研究揭示了该体系在不同掺杂浓度下的基态结构演化规律。图4(a)展示了当x在3%到35%之间时,材料基态为铁电性WZ′结构;而当x增至38%-63%区间时,基态转变为非极性HE′结构,在电场作用下可逆转化为极性WZ′相,从而实现高能量密度的极化转变。如图4(b)所示,扩展至全浓度范围的相图进一步揭示,该三元体系大致分为ZB′、WZ′、HE′与RS′四个结构稳定区,显示出随着Sc含量升高,极性与非极性相态的能量等级发生反转(见图4(c))。特别是在中高掺杂浓度区,非极性HE′相的稳定性增强,但其在高电场下可转化为极性态,展现出可控的铁电行为。这一发现验证了通过三元阳离子比例调控实现可逆相变的可行性,打开了多功能相变介质材料的研究新方向。
图5 (Al,Sc,B)N体系的P-E曲线和储能性能
研究进一步利用第一性原理计算模拟分析了(Al1-x-yScxBy)N体系在不同掺杂浓度下的极化行为与介电性能。PE-MPE相变的独特P-E曲线结果表明,HE¢相可能能够存储较高的能量密度。在Sc浓度固定为50%或59%时,B浓度的提高会导致极化值P下降(见图5(a)和(b)),归因于Sc原子具有更高的Born有效电荷(2.9e),显著优于B(2.3e)和Al(2.7e),从而更易激发较强极化。图5(c)展示了在最大外加电场为6 MV/cm条件下,该材料体系表现出优异的能量存储性能,能量密度范围达160–310 J/cm³,且整体能量转换效率均高于90%,部分组分接近100%。尤其是HE′相所对应的区域,在高Sc掺杂与适度B含量协同作用下展现出极高的能量密度(见图5(d)),其中(Al0.28Sc0.59B0.13)N组分表现最为突出,验证了HE′相在新型高能密度介电材料领域中的巨大潜力。
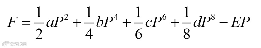
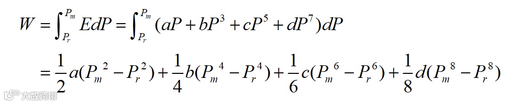
为了进一步理解上述高储能性能的机理,采用了朗道模型来解释,其中自由能为:
其中a、b、c、d分别为二次项、四次项、六次项、八次项的系数。在平衡条件下,自由能满足
,上式变为:
则能量密度可计算为:
其中Pr = 0,因为P-E曲线中零电场下的极化与去除电场时的极化是相同的。
上式能够很好地拟合第一性原理计算得到的P-E曲线和精确描述能量密度,较大的a、极小的b和负的c是PE-MPE非线性行为及超高能量密度的关键。
本研究研究了III族氮化物在电场下的结构稳定性与储能性能。研究发现,在特定阳离子浓度下,(Al,Sc,B)N的非极性HE′相可稳定为基态,并在外加电场作用下转变为亚顺电(MPE)相。这种从顺电到亚顺电的相变演化过程,呈现出具有高极化强度(仅在高电场下饱和)及极微滞后损耗的独特P-E电滞回线特性。理论预测该氮化物体系可实现超300 J/cm³的巨大的能量密度。远超目前约200 J/cm³的氧化物介质记录值。这一设计策略与具体材料的发现,为开发兼具超高能量密度与效率的介电电容器开辟了新途径。
该研究得到了国家重点研发项目、国家自然科学基金等项目的资助。
文章信息
Zhijie Liu, Xingyue Ma, Lan Chen, Xiaohong Yan, Jun-Ming Liu, Chun-Gang Duan*, Jorge Íñiguez-González, Di Wu, Yurong Yang*, Nature Communications 16, 3191 (2025).
Doi: https://doi.org/10.1038/s41467-025-58267-7
供稿:课题组

