

近日,暨南大学物理与光电工程学院朱文国、钟永春教授团队首次提出电光效应诱导的可重构Pancharatnam-Berry(PB)相位,实现了高速可调谐光自旋霍尔效应。该研究为几何相位和光子自旋操控提供了高速、灵活的新手段。相关成果以“Photonic Spin Hall Effect by Electro-optically Induced Pancharatnam-Berry Phases”为题发表在Physical Review Letters上,文章入选Editors' Suggestion。暨南大学物理与光电工程学院硕士生谢星亮为论文的第一作者,暨南大学物理与光电工程学院朱文国教授、钟永春教授为论文的共同通讯作者,该项研究工作受到国家自然科学基金、广东省基础与应用基础研究基金的资助。
在经典物理中,霍尔效应是电流在磁场中偏转的现象。而在光子世界中,类似的效应被称为光自旋霍尔效应(photonic spin Hall effect, PSHE)——当光通过特定介质时,左旋和右旋圆偏振光(LCP和RCP)会因自旋角动量的不同而朝相反方向分离,彼此“分道扬镳”。这一现象与几何相位密切相关,具体是Pancharatnam-Berry(PB)相位和Rytov-Vladimirskii-Berry(RVB)相位。前者源于偏振态在庞加莱球上的演化路径,后者与光的传播方向变化相关。
传统实现PSHE的方法主要依赖液晶或超表面等静态结构。这些材料通过空间排布各向异性单元产生固定的PB相位,从而实现光子自旋分离。然而,其分离距离无法动态调控,且调制速度受限于材料响应时间(通常仅为kHz级别)。如何实现高速的可重构几何相位和光子自旋调控,一直是光学领域的难题。
图1 电光诱导PB相位的光自旋霍尔效应示意图
电场“扭转”晶体折射率椭球主轴
钽酸锂(LiTaO3)是一种具有优异电光特性的晶体材料。LiTaO3晶体在被施加电场时,其折射率椭球主轴发生旋转。该研究通过非对称电极对,在晶体表面构造空间不均匀的电场分布,使晶体的折射率椭球主轴方向沿空间位置(y轴)逐渐旋转,形成PB相位梯度。通过调节电压大小,PB相位的空间分布可被动态重新排布,从而灵活控制光子自旋的分离距离。这一机制突破了传统超表面和液晶的静态限制,为高速调控奠定了基础。
研究团队先研究了电极之间的电场分布和折射率椭球主轴分布。在仿真上,图2a展示了施加500 V电压时,电极间电场的空间分布仿真结果:电场强度在yz平面内呈现显著的非均匀特征,注意到,在y=0附近区域,电场y分量(Ey)沿y近乎线性变化(图2b)。这种梯度电场通过LiTaO3晶体的Pockels效应,诱导其折射率椭球主轴发生与空间位置有关的旋转。仿真显示,主轴旋转角度θ在晶体表面形成梯度分布(图2c-d)。在实验上,研究人员采用一对格兰棱镜测量了折射率椭球主轴的空间分布。具体地,采用氦氖激光束通过格兰棱镜起偏后照射到LiTaO3晶体上,经过晶体调制后,透射光的偏振态呈现非均匀分布。只有当晶体的主轴与起偏器角度的平行时,该位置的偏振态才保持不变。透射光通过与起偏器正交的检偏器时,这些位置会形成一条暗线。通过同步旋转两个偏振器,得到主轴旋转角度空间分布(图2e-f)。
图2 (a, b)电场空间分布和(c-f)折射率椭球主轴空间分布的(c, d)仿真结果和(e, f)实验测量结果
光子自旋分离距离的电调控
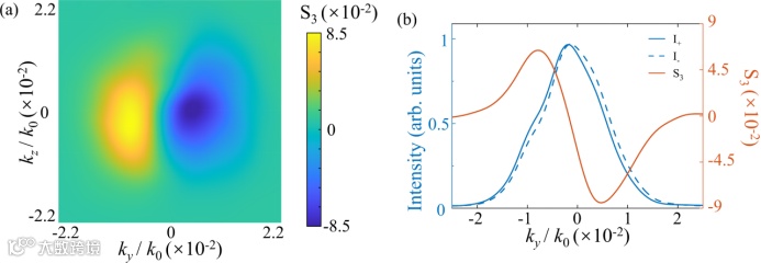
通过弱测量技术,研究团队测量了光子自旋的微小分离距离。弱测量示意图如图3a所示,激光通过GTP1起偏成水平方向的偏振光,经过晶体后经过GTP2完成后选择,后选择角度Δ较小,几乎与前选择角度垂直。当施加电压时,光斑从高斯分布分裂为不对称的双峰,固定后选择角,我们得到随电压变化而变化的光斑,光斑质心会随电压偏移(图3b)。通过光斑质心计算出光子自旋分离距离,自旋分离距离与电压呈线性关系(图3c),验证了电光调控几何相位的可行性。接着,研究人员直接观测了受电压调控的在动量空间中的光子自旋分离(图4)。当施加-500V电压时,斯托克斯参数S3的分布清晰显示了左右旋圆偏振光的在动量空间发生分离。
图3 自旋分离距离的电调控
图4 动量空间的斯托克斯参量S3分布
光自旋霍尔效应的高速动态响应
为测试光自旋霍尔效应的动态调控,研究团队设计搭建了基于弱测量技术的动态测试光路(图5a)。研究团队将不同频率的正弦信号输入器件,结果显示,器件3 dB带宽达160 MHz(图5b-c)。除此以外,研究团队将脉冲信号输入器件,脉冲半高宽为5.5 ns,响应信号和输入信号有着相似的脉冲形状(图5d)。这一性能为高速光通信和实时光子调控提供了可能。
图5 光自旋霍尔效应的高速动态响应
这项研究实现了电光诱导PB相位的光自旋霍尔效应,并展示了高速的几何相位调控能力。通过电光效应,实现了PB相位的重新排布,这一过程是电可调的。该研究为动态调控几何相位研究、光自旋霍尔器件制造提供了新的方法。
文章链接:
https://doi.org/10.1103/PhysRevLett.134.113805

