导读
基于微环谐振腔(MRR)的光子集成电路(PIC)在光信号处理和光子计算方面展现出了巨大潜力。然而,微环在大规模控制中面临严峻挑战:制造误差、热串扰、温度漂移等非理想因素严重影响编程精度。现有的控制方法高度依赖于复杂的校准过程,难以扩展到大规模的MRR电路中。
近日,香港中文大学的研究人员提出了一种无需校准的微环控制方法——ChiL(Chip-in-the-Loop)。该方法将系统校准复杂度从指数级降低至常数级,并且在存在制造偏差、热串扰和温度漂移等干扰的情况下,仍能在约10次迭代内实现超过9-bit的高编程精度,迭代次数随微环电路规模仅呈对数级增加。ChiL为大规模PIC和模拟光子计算的实用化铺平了道路。
该研究工作以“Calibration-free and precise programming of large-scale ring resonator circuits”为题发表在Optica杂志上。香港中文大学黄超然教授为文章通讯作者。香港中文大学博士研究生刘少杰、徐滕基为文章共同第一作者。文章合作作者包括香港中文大学博士研究生王本善、王东亮、肖洽荣和范理。
核心创新
近年来,随着集成光子技术的不断突破,光子集成电路(PIC)正逐步迈入大规模、高精度的新时代。微环谐振腔(MRR)因其紧凑、高灵敏和低功耗等优势,广泛应用于光互连、信号处理和光子计算等多个领域。然而,正是这种“高灵敏”使得MRR在大规模控制中面临严峻挑战:制造误差、热串扰、温度漂移等非理想因素严重影响编程精度(图 1(a))。
传统的解决方法依赖于对系统的精确、高复杂度的校准,无法应用到大规模微环电路中。 典型的方法包括建立控制电流和微环透射率的查找表(LUT,Look-up-table)。然而,当考虑微环之间的热串扰时,整体校准复杂度将达到O(kN),其中k为单个LUT的采样点数,N为微环数目(图1(b))。这种指数级的增长使得该方法在大规模PIC中难以实际应用。另一些方法将热串扰建模为串扰矩阵,但仍需O(N2) 的校准复杂度。此外,此类校准方法的更大问题在于:轻微的环境波动(如温度变化)就会使校准结果迅速失效。
本研究提出了一种无需复杂校准的高精度大规模微环控制方法,命名为ChiL(Chip-in-the-Loop)优化(图1(c))。该方法不仅无需精确校准单独器件,而且无需校准器件之间的串扰,将原本O(kN) 的校准复杂度降为O(1),并且在温度变化时仍能维持正常工作,实现超过9-bit精度的微环阵列编程。
图1:ChiL (Chip-in-the-Loop) 控制方法。(a)微环电路和受非理想因素的影响。(b)传统的基于LUT的微环电路控制方法。(c)ChiL的原理示意图。(d)比较LUT、ChiL和精确梯度下降方法在有无热串扰的情况下编程微环电路的区别
ChiL改进于梯度下降法,通过迭代地调整控制电流的方式,逐步减少权重误差。与传统梯度下降不同的是,后者依赖于对系统误差与梯度的精确建模,而ChiL完全不依赖模型,而是将真实的光子芯片纳入优化环路中。在前向传播中,光子芯片实际参与计算,通过实验测量获得当前权重误差。因此,即使没有精确的系统模型,测量到的误差依然自然包含了所有系统非理想因素的影响,包括制造差异、热串扰以及温度漂移等。在反向传播中,ChiL也不需要计算精确的梯度。我们有意忽略器件之间的差异和热串扰,从而保证算法的简洁性和可扩展性。尽管这样得到的梯度是近似值,但它依然可以高效地引导系统向目标权重收敛,这是因为梯度的不准确性会通过测量到的误差体现出来,并在后续迭代中逐步修正。因此,ChiL即使在完全不依赖模型、忽略器件差异与串扰的前提下,也能够保持高精度运行。此外,由于ChiL支持所有微环的并行控制,其能在大约10次迭代内快速收敛。
基于ChiL方法,我们取得了以下重要突破:在高精度微环控制方面:(1)实现了突破性的9-bit以上控制精度,该精度在大规模微环阵列中保持稳定 ;(2)该精度在晶圆级制造误差和强热串扰环境下仍能维持;(3)控制算法在10次迭代内就可以快速收敛,收敛速度随微环规模仅呈对数增长,展现出优异的可扩展性; (4)在剧烈温度漂移条件下保持稳定,无需重复校准。基于此成果,我们展示了光计算应用方面:(1) 开发了超高精度矩阵特征求解器,误差低至10-4量级,较现有技术提升3个数量级 (2) 实现了精度与数字计算机等效的光子神经网络,在分类准确率和混淆矩阵表现上达到完全一致。
研究亮点
该研究在4×4的硅基微环权重库芯片(图2(a-b))上实验验证了超过9-bit的编程精度。在编程2个微环时,采用ChiL方法到的权重与目标权重高度吻合,精度达到9.4-bit(图2(c-d));作为比较,采用LUT方法得到的权重则与目标权重出现了显著偏差,精度仅为5.4-bit,该偏差主要由热串扰引起。为进一步评估了ChiL在微环规模增大时的可扩展性,我们分别测试了尺寸为2×2、4×2和4×4的微环权重阵列(对应4、8和16个MRR)。随着阵列规模增加,热串扰问题愈发显著,使得LUT方法的精度从5.4-bit下降至1.5-bit;但ChiL依然能将精度维持在9-bit以上,表明其具备有效处理大规模MRR热串扰的能力(图2(e))。
除了高精度外,ChiL还具备极快的收敛速度,这使其特别适用于大规模PIC。图2(g) 与图2(h) 展示了在4×4微环阵列的一次实验中,控制变量(电流平方)与权重在迭代过程中的变化情况——所有变量并行更新,最终在9次迭代内收敛至目标权重。图2(i) 展示了100次实验中,权重误差的均方根误差(RMSE)与对应的bit精度变化——在约10次迭代内稳定达到9-bit精度。
在更大、更密集的集成电路中,制造差异和热串扰变得更加显著。我们模拟了一个16×16的MRR阵列系统,并引入晶圆级器件差异(包括波导高度、宽度、损耗、调谐效率等)和更严重的热串扰。尽管完全不校准这些差异和串扰,ChiL依然保持超过9-bit的精度。进一步将这些工艺误差放大3倍后,ChiL的精度与收敛速度仍然保持不变。随着器件数量N的增长,ChiL的收敛轮数仅呈O(㏒N)增长,表明ChiL可高效适配更大规模的微环阵列。
图2:超过 9-bit精度的微环权重库实验演示。(a)片上4×4微环权重库的显微照片。(b)微环权重库的透射谱。(c)使用 ChiL 和 LUT 编程 2 个微环的目标和测得权重。(d) 使用 ChiL 编程2 个微环的权重误差。(e)使用 ChiL 和 LUT 对不同规模的微环权重库进行编程的权重精度。(f)使用 ChiL 对 4×4 微环权重库进行编程的误差分布。(g-h)一次实验中控制电流和权重的迭代过程。(i)100 次实验中权重平均 RMSE 和相应精度的迭代过程
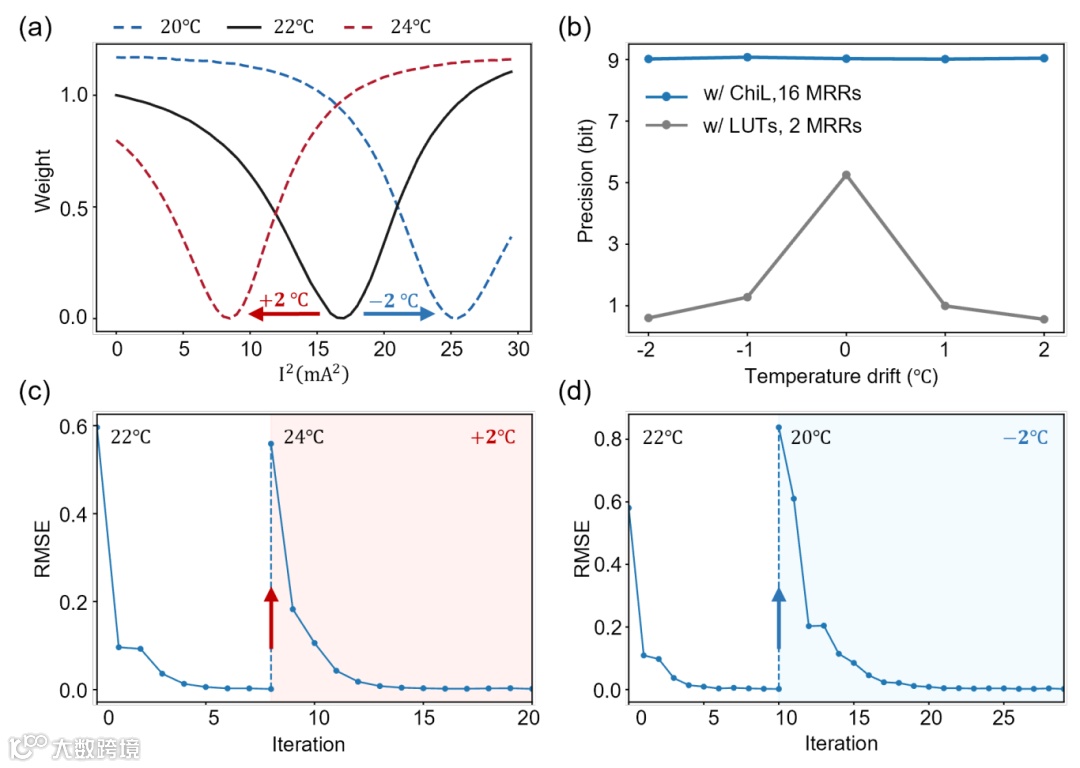
由于微环对环境非常敏感,温度波动往往会导致显著的权重误差。温度发生±2°C的漂移时,权重-电流曲线会发生剧烈偏移(图3(a))。应对此类问题,传统方法通常需要重新校准所有LUTs。相比之下,ChiL对温度漂移具有良好的适应性,因为它不依赖任何与环境相关的预校准信息。只需在室温下表征的单个微环参数,ChiL便可在广泛温度范围内准确编程整个微环权重阵列。
在实验中,我们使用温度控制器(TEC)模拟不同程度的环境温度漂移。实验结果表明:在温度正向或负向偏移时,ChiL均可在4×4权重阵列上实现9-bit的编程精度;而在同样条件下,LUT方法在一个2×1阵列上的精度则从原本的5.4-bit急剧下降至不足1-bit(图3(b))。图3(c)与图3(d)进一步展示了,在温度发生±2°C漂移时,ChiL无需任何重新校准,仅用少数几次迭代即可快速将权重恢复到目标值。如果温度漂移加剧,只要目标权重在电流的可调范围之内,ChiL仍可继续补偿。
图 3:温度鲁棒性测试实验结果。(a)温度漂移下权重-电流调谐曲线的变化。(b)使用 ChiL 和 LUT 在不同温度漂移水平下对 MRR 权重库进行编程的精度。(c-d) 使用ChiL编程4×4 微环权重库,在正(c)和负(d) 2°C 温度漂移下的权重校正过程
计算矩阵的特征向量和特征值是线性代数中的一个基础问题,广泛应用于多个领域。在数字计算机上,求解大规模矩阵的特征值与特征向量通常十分耗时。光子计算由于具备高并行性与低延迟的特点,有望加速这一过程。然而,光子系统的计算精度高度依赖于器件的精确控制,一旦控制不准,迭代过程中误差会不断积累,最终导致计算结果不可接受。
在本工作中,我们基于高精度的MRR权重阵列,采用幂迭代法(power iteration)实现了对矩阵特征向量和特征值的高精度求解。作为对照组,LUT方法在100组随机生成的测试矩阵中求得的平均特征向量误差为 0.56,特征值误差为 1.4。使用ChiL方法进行编程,误差大幅下降:特征向量误差降至 1.8 × 10⁻⁴,特征值误差降至 3.5 × 10⁻⁴,降低近四个数量级,并且比此前基于光子神经网络预测矩阵特征值的研究小 1000 倍。图4(b)展示了ChiL方法得到的特征向量和特征值,与理论值吻合良好。
我们进一步将幂迭代与偏移法(deflation method)结合,求解矩阵的全部特征向量与特征值。在100组随机测试中,ChiL将平均特征分解误差从 0.50 降低至 3.5 × 10⁻³。图4(c) 展示了一次实验中,由特征分解重构的矩阵与原始矩阵在元素上的高度一致性。图4(d) 比较了使用LUT与ChiL方法所得到的特征值、特征向量和特征分解的误差分布,图中采用对数坐标轴,清晰显示出ChiL在中位数误差和误差离散度上都远优于LUT方法。
图 4:基于微环权重库的特征向量和特征值求解器。(a)基于幂迭代方法的特征向量和特征值求解器原理示意图。(b)使用 ChiL 得到的第一特征向量第一特征值的实验值与理论值吻合良好。(c)使用 ChiL进行特征分解得到的恢复矩阵与原始矩阵高度吻合。(d)在 100 次实验中,通过 ChiL 和 LUT 获得的特征向量误差、特征值误差和特征分解误差的分布
光子神经网络(PNNs)相比基于数字计算的电子硬件具备大带宽、低延迟、低功耗等优势。然而,当前光子硬件较低的精度往往使得PNN的推理性能难以与数字神经网络相媲美。在缺乏高精度控制的情况下,在计算机上训练完成的神经网络在部署到光子芯片时准确率会严重下降。
在本研究中,我们展示了基于ChiL方法,可以直接在MRR权重阵列中部署训练好的神经网络模型,并保持原始的推理精度:不仅分类准确率,而且混淆矩阵也与在数字计算机上实现的相同。
我们在MNIST手写数字识别任务中进行了实验验证(图5(a))。首先,我们使用标准反向传播算法在计算机上训练一个神经网络,其测试集准确率为97.0%。然后,将该网络中的卷积层映射到一个 4×4 的MRR权重阵列上实现。为展示热串扰的影响,我们首先使用LUT方法对MRR阵列编程。其结果显示,卷积输出与数字结果的均方根误差(RMSE)为0.4256(图5(c)),导致分类准确率降至仅20.0%(图5(d))。接着我们采用ChiL对同一MRR阵列编程,RMSE降至仅0.0027(图5(c)),卷积输出与数字计算结果几乎完全一致(图5(b))。最终,PNN的分类准确率提升至97.0%,完全恢复到数字神经网络的水平。值得注意的是,PNN 获得的混淆矩阵也与数字 NN 的混淆矩阵相同(图 5(d) )。这表明由 ChiL 控制的 PNN 能够实现与数字计算机匹配的推理精度。
图 5:用于 MNIST 手写数字分类的光子神经网络(PNN)(a)PNN 的概念示意图:4×4 MRR 权重库充当卷积层中的四个 2×2 核。(b)以ChiL 编程的权重库获得的卷积输出与数字计算机的输出几乎完全一致。(c)神经网络的目标卷积核核、以LUT编程的卷核误差和 以ChiL编程的卷积核误差。(d)数字神经网络、 以LUT编程的 PNN 和 以ChiL 编程的 PNN 获得的分类准确率和混淆矩阵
总结与展望
采用简单、快速且低成本的方法对不完美光子系统进行精确编程,对于大规模 PIC 的实际部署至关重要。本研究提出了一种无需校准、适用于大规模微环电路的高精度编程方法——ChiL(Chip-in-the-loop)。该方法在无需精确系统模型、忽略器件差异与热串扰的情况下,实现了微环电路的高精度控制,具有良好的可扩展性。未来通过更加先进的光芯片封装技术和片上集成可调光衰减器、偏振控制器等,可以进一步提高系统在不同环境条件,如激光功率波动下的精度和鲁棒性。ChiL弥合了模拟光子计算与数字电子计算之间的精度差距,并具有赋能其它应用的潜力,如光互连、光开关、微波和光信号处理等等。
论文信息
Shaojie Liu, Tengji Xu, Benshan Wang, Dongliang Wang, Qiarong Xiao, Li Fan, and Chaoran Huang, "Calibration-free and precise programming of large-scale ring resonator circuits," Optica 12, 1113-1121 (2025)
https://doi.org/10.1364/OPTICA.557415
免责声明:本文旨在传递更多科研资讯及分享,所有其他媒、网来源均注明出处,如涉及版权问题,请作者第一时间后台联系,我们将协调进行处理,所有来稿文责自负,两江仅作分享平台。转载请注明出处,如原创内容转载需授权,请联系下方微信号。

