

——新疆农业科学院农产品贮藏加工研究所
点击下方播放键,收听作者论文解析
研究背景
近些年来,心脑血管疾病已成为危害人类健康最严重的疾病之一,发病率呈逐年上升的趋势,血脂浓度升高会增加心脑血管疾病患者的死亡率。通过饮食方式降低血脂浓度,预防心脑血管疾病的发生,引起了人们的广泛关注。因此,更为健康的天然物质的活性成分已经成为研究的热点之一。已有研究证实,多糖的降血脂作用温和,毒副作用小,对高脂血症人群具有良好功效。
多糖是由10个以上单糖分子通过糖苷键连接形成的天然高分子化合物,具有调节机体免疫力、抗氧化、抗肿瘤、抗疲劳、抗癌、抗菌、防辐射和降糖脂等生理活性。多糖来源和提取方式的不同,其功能功效也有所不同。目前,对多糖的提取方法主要有溶剂提取法、超声辅助法、微波辅助提取法和酶提取法等。与其它方法相比,超声辅助法具有强烈的空化效应,增加溶剂穿透力,加快多糖溶出速度,既能提高提取率,又不破坏其生物活性。
籽瓜(Citrulluslanatus sp.Convar var.Megulaspemus L.),又名打瓜,主要分布于我国新疆、甘肃、东北及内蒙古东部等地区。籽瓜是新疆重要的经济作物之一,在农业产业结构调整中占有重要地位,种植面积有21万公顷,产量已达30万吨。籽瓜主要是以取籽加工为主,瓜皮瓜瓤丢弃在田间,造成巨大的资源浪费和环境污染。籽瓜取籽加工后的副产物籽瓜汁、籽瓜瓤和籽瓜瓜皮的再利用,不仅能提高籽瓜的经济价值,还能减少环境污染。如何提高籽瓜加工副产物的综合利用率,增加附加值降低生产成本,是决定籽瓜加工业进一步提升的一个重要环节。因此,需要对籽瓜有益成分的提取和加工进行深入研究,评价籽瓜皮渣中有益成分的功能。籽瓜加工副产物中含有多糖、果胶、维生素、氨基酸等多种营养物质,其中籽瓜多糖的研究主要集中在抗氧化生物活性方面,降血脂活性的研究却鲜有报道。研究籽瓜中的多糖降血脂活性,验证籽瓜多糖的食药作用是提高籽瓜加工副产物利用率的研究方向之一。
吴斌团队以新疆籽瓜为试材,优化籽瓜多糖超声辅助的提取工艺,分析考察籽瓜多糖的降血脂作用,并与其他提取物的胆酸盐结合试验结果作比较,探讨籽瓜多糖的降血脂效果,为籽瓜副产物精深加工和多糖的降血脂功效的研究提供理论依据。
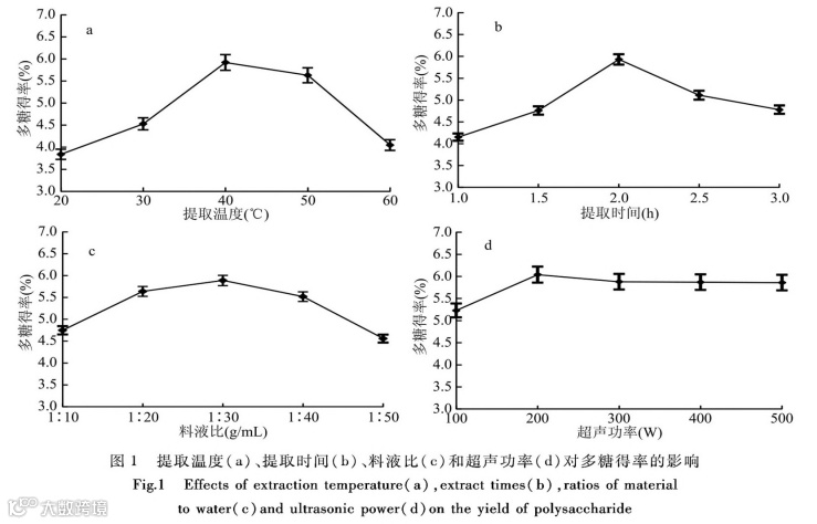
1 单因素实验结果
1.1提取温度对籽瓜多糖得率的影响
1.2提取时间对籽瓜多糖得率的影响
由图1b可知,随着提取时间的增加,籽瓜多糖的得率先升高后下降,在2.O h时达到最大值。由于超声波的空化效应增大,溶剂进入溶质内部的能力增强,较短时间内,超声开始对细胞进行破碎,使得多糖更容易从细胞中释放出来,使得整个提取时间缩短,得率增大。随超声时间的增长,多糖分子中的五碳环或六碳环可能裂解成为可溶于乙醇的寡糖、低聚糖或单糖,造成多糖在醇沉过程中溶解损失增加;此外,超声波空化效应作用力减小,会影响多糖溶出。这些因素都会导致多糖得率的下降。比较分析消耗能量、浸提时间和原料浪费等各种因素,选择的提取时间为2.0 h。
1.3料液比对籽瓜多糖得率的影响
由图1c可知,多糖得率随料液比的增大呈现先上升后下降的趋势,在料液比为1:30 g/mL时,多糖得率最大。这可能是溶剂体积的增加使得溶液中多糖浓度下降,多糖分子扩散的压力差增大,有利于多糖分子的扩散和溶出。当多糖的扩散量达到一定的值时,继续加大溶剂比例,也不会使更多多糖扩散。并且料液比增大,可能会致使后续的提取浓缩过程中随时间增加,多糖损失升高,导致多糖得率下降。因此,选择料液比为1:30 g/mL。
1.4超声功率对籽瓜多糖得率的影响
由图ld可知,多糖得率的变化随着超声波功率的增大呈现先增加后缓慢降低至平稳的趋势。当提取功率为200 W时多糖得率最大,随着超声功率的继续增加,多糖得率基本保持不变。这是因为随超声功率增大,超声的空化作用随之加强,细胞破裂多糖加速溶出;当超声波功率增大到一定值时,多糖得率不会再增加基本保持不变。因此,选择适宜超声波功率为200 W。

2 响应面试验结果
2.1响应面试验设计与结果及方差分析


2.2响应面分析
如图2所示,由曲面的分析可预测、检验确定变量和响应值之间的相互关系,响应面越陡峭,表现出各个因素之间的两两交互作用越显著。提取温度和料液比交互作用显著。

2.3最佳提取工艺验证
根据响应面结果,得到的最佳提取工艺条件是:提取温度为41.318 oC、提取时间为2.039 h、料液比为1:30.078 g/mL、超声功率为216.750 W。考虑到实际情况对上述条件加以修正,最终的优化条件为提取温度为42 ℃、提取时间为2 h、料液比为1:30 g/mL、超声功率为220 W,在该参数下,进行3组平行实验,所得多糖得率平均值为6.03%,与理论预测值的6.024%相近,说明该回归方程能较准确反应各因素对籽瓜多糖提取率的影响,证明采用响应面法优化籽瓜多糖提取率回归模型可行。
3 籽瓜多糖体外降血脂能力分析
3.1甘氨胆酸盐和牛磺胆酸盐标准曲线
由图3a和图3b可知:甘氨胆酸盐标准曲线回归方程为:Y=2.8655x+0.0212,R2=0.9991,线性关系良好;牛磺胆酸盐标准曲线回归方程为:Y=2.4664x+0.0126,R2=0.9990,线性关系良好。

3.2籽瓜多糖对胆酸盐的结合能力
从图4可以看出,籽瓜多糖与牛磺胆酸钠的结合量比与甘氨胆酸钠的结合量多,即籽瓜多糖与牛磺胆酸盐的结合能力更强,并且与二者的结合量均随多糖浓度的增加而升高。当籽瓜多糖的浓度达到2.5 mg/mL时,籽瓜多糖和甘氨胆酸盐、牛磺胆酸盐的结合率分别达到62.67%和69.27%。证实籽瓜多糖具有较好的体外降血脂活性。随着继续增加籽瓜多糖的量,结合率的上升变得缓慢;当籽瓜多糖浓度达到3.5 mg/mL时,籽瓜多糖与甘氨胆酸钠、牛磺胆酸钠的结合率分别达到66.17%和70.27%。但仅是籽瓜浓度为2.5 mg/mL时结合率的1.06倍和1.01倍。

粗多糖中较高的胆酸结合能力是由于糖蛋白与多糖形成复杂的结构,有利于结合胆酸。籽瓜多糖的浓度为2.5 mg/mL时,与两种胆酸钠盐的结合率明显高于4 mg/mL的黑木耳多糖,也略高于3.5 mg/mL桑叶茯砖茶多糖和4 mg/mL裙带菜孢子多糖与两种胆酸钠盐的结合率。说明低浓度的籽瓜多糖有很好的体外降血脂活性,可作为具有潜在价值的降血脂保健食品原料。然而它与茶树花渣乙醇萃取物相比较,两种胆酸钠盐的结合率却略低。籽瓜多糖是以籽瓜废弃的瓜瓤作为原材料,采用水作为溶剂,提取成本较低。因而选取籽瓜为原材料制备的籽瓜多糖,会大大降低成本,提高籽瓜加工附加值。
2 结论
本实验中筛选出最佳提取工艺条件为提取温度为42 ℃、提取时间为2 h、料液比为1:30 g/mL、超声功率为220 W。经实验验证,3次平行实验求得平均得率为6.03%,与理论预测值较接近。体外降血脂结果可以得出:当籽瓜多糖浓度达到2.5 mg/mL时,籽瓜多糖与甘氨胆酸钠、牛磺胆酸钠的结合率分别达到62.67%和69.27%。与其他提取物和两种胆酸钠盐的结合率做对比,低浓度籽瓜多糖有很好的降血脂效果,可以作为一种植物源降血脂保健药物,这一发现为籽瓜资源的利用提供了新的研究思路,也为籽瓜在医药食品行业开发奠定一定的理论基础。
通信作者简介
吴斌
研究员
吴斌,研究员/博导,新疆农业科学院农产品贮藏加工研究所,所长。
代表性论文:
基于电子鼻、HS-GC-IMS和HS-SPME-GC-MS分析五种水产原料的风味特征
加水温度和蒸制时间对莜麦面面条水分状态和质构特性的影响
基于知识图谱的消费者食品安全满意度研究

版权声明
本公众号推送文章仅为学术交流使用,‘原创’为原创编译之标记,不表示本平台对文本主张版权。作者团队或单位如需使用编译文本,可联系编辑开放白名单。凡是注明“转载”的稿件,均已注明直接来源,如需使用,请联系版权人。如有侵权,请联系我们,我们会尽快删除。
《食品工业科技》购买方式








