对此,该论文提出一种受DNA启发的超螺旋设计原理,用于全金属超材料(图1)。基于手性扭曲原理,以螺旋基元替代传统杆件,使超材料元胞在压缩下发生全局扭转屈曲变形,构成多级超螺旋结构。这种超螺旋构型协同提升了承载能力和能量存储能力,同时有效缓解了应力集中,实现了高达50%的可恢复应变,使屈曲强度提升至传统密排棱柱晶格的3倍,能量密度提升4倍。该论文尝试了多种加工工艺,在全金属样品和循环加载下验证了高能力学特性。
该论文进一步修正了方鑫此前建立的非线性扭曲理论,使其更精确、适用于超大强非线性扭曲变形和超螺旋体,依此开展了深入系统研究,阐明了超螺旋的性能提升机理:全局扭转提升强度与能量密度、局部曲率则确保超弹性行为。在此基础上,该文发明了手性准零刚度隔振器:该隔振器在维持超低共振频率(1~2Hz)的同时,承载能力比现有设计高出100–1000倍,成功弥合了高承载能力与低频隔振之间的关键鸿沟,并突破了传统弹簧隔振器的理论极限,如图3所示。
图1 超弹性超螺旋全金属超材料结构。
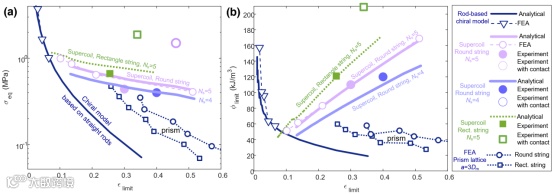
图2 不同超材料构型性能对比:(a)承载屈曲强度与极限应变的关系;(b) 承载能量密度与极限应变的关系。
图3 手性超螺旋准零刚度隔振器。(a) 实验图;(b) 不同承载下的振动传递率;(c) 不同隔振器的固有频率与承载力密度之间的关系。
这项研究建立了通用、可扩展且易于制造的超弹性金属超材料设计原理,为振动抑制、能量吸收和防护结构等先进应用开辟了全新路径。研究成果以“Supercoiled superelastic metallic metamaterials for high energy density and heavy-duty vibration mitigation”为题发表在顶刊Advanced Materials上(影响因子26.7),国防科技大学智能科学学院方鑫研究员是论文第一兼通讯作者,浙江大学陈伟球教授、清华大学高华健教授是共同通讯作者。

原文链接:
https://doi.org/10.1002/adma.202517334
撰稿|课题组

