在超构材料领域,如何用易于制备的各向同性材料,同时对热、电磁等不同物理场进行精确调控,是走向实际应用的关键。变换理论为此提供了强大工具,但其中的共形变换方法虽能保证材料的各向同性,却长期受困于一个致命缺陷——“界面失配”,即传统共形变换不能保证器件与环境交界处的能流不被严重扭曲。这极大地限制了其在多物理场协同调控中的应用。
近日,上海理工大学理学院庄鹏飞博士与合作者,提出了一种名为“重标度施瓦茨-克里斯托费尔变换”(Rescaled Schwarz-Christoffel Transformation, RSCT)的全新理论框架。该方法巧妙地将能流的“方向引导”与“密度重构”解耦,仅使用各向同性材料,便首次在耗散性的瞬态热场和非耗散性的电磁场中同时实现了完美的界面匹配和全参数设计。相关成果以 “Rescaled Schwarz-Christoffel Transformations for Isotropic, Polygon, and Multiphysics Metamaterials” 为题发表于物理学期刊 Physical Review Letters [Phys. Rev. Lett., 135, 216901 (2025)],并被选为编辑推荐(Editors' Suggestion)。上海理工大学理学院是论文第一完成单位。
随着芯片集成度越来越高,热管理和电磁信号完整性成为两大核心挑战。超构材料为在微小尺度上协同调控热流和电磁波提供了前所未有的机遇。在众多设计方法中,变换理论因其深刻的物理洞察力而备受关注。其中,共形变换(Conformal Transformation)由于其数学上的柯西-黎曼条件,天然保证了设计出的材料是各向同性的,这对于材料的实际制备是巨大的优势。
然而,传统的共形变换是一把“双刃剑”。当它改变空间几何形状以引导能流时,也会不可避免地改变器件的边界尺度。这导致在器件与背景环境的界面上,能流线(热学中的热流、电磁学中的坡印廷矢量)的疏密分布发生剧烈变化,产生所谓的“界面失配”问题(见图1a)。这种失配会反过来干扰背景场,如同在平静的水面上投入一块石头,激起不必要的涟漪,严重影响器件的预期功能。尽管学界已有一些修正方案,如区域扩展或引入增益-损耗介质,但它们往往只适用于单一物理场(如光学),且机制复杂。因此,如何建立一个普适的、适用于多物理场的、仅需各向同性材料的完美界面匹配理论,是该领域亟待突破的瓶颈。
为了解决这一核心挑战,研究团队提出并构建了RSCT理论框架。其核心思想是将复杂的界面匹配问题分解为两个可独立控制的步骤:用施瓦茨-克里斯托费尔变换(SCT)控制能流的宏观方向,再用重标度变换(RT)来调整界面处的能流密度分布。
图1:RSCT理论的设计原理与应用。(a) 单纯使用SCT会导致界面处的热流(能流)分布被扭曲,产生失配。(b) 引入重标度变换(RT)对虚拟空间进行预先的拉伸/压缩,再经过SCT,即可在物理空间界面上重构出完美的、均匀的能流分布。(c) 该理论可用于设计印刷电路板上的多边形功能器件,实现热-电磁协同管理。
1. 理论框架:从SCT到RSCT的演进
研究团队发现,无论是瞬态热传导方程还是麦克斯韦方程组,在变换理论下都共享一个共同的调控目标:能流和能流密度。
第一步:SCT引导能流方向。施瓦茨-克里斯托费尔变换是一个强大的数学工具,可以将一个单位圆共形地映射到一个任意复杂的多边形,使用单位圆作为桥梁,可以构建两个任意的多边形之间的共形映射。研究团队利用它来构建从一个虚拟多边形到物理器件多边形的映射
,从而强制能流按照预设的路径在器件内部穿行(例如,绕开一个中心区域实现隐身)同时保证了设计参数是各向同性的。
第二步:RT重构能流密度。 SCT虽然解决了方向问题,但无法控制边界上流线的疏密。为此,研究团队创新性地在SCT之前引入了两个简单的重标度变换
(见图1b)。这个操作相当于在变换之前,就对虚拟空间中的网格进行了非均匀的拉伸或压缩。通过精心设计这个“预处理”步骤,可以补偿SCT带来的边界扭曲。当经过预处理的网格再通过SCT映射到物理空间时,其在界面处的能流密度恰好可以恢复到与背景场完全一致的均匀分布,从而实现完美匹配。
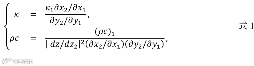
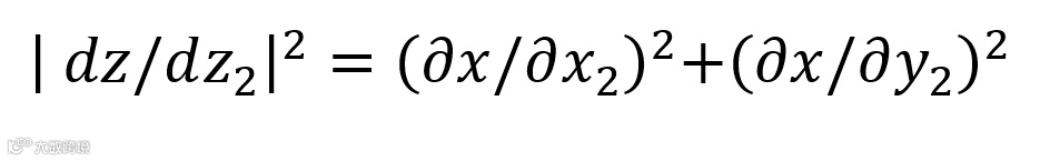
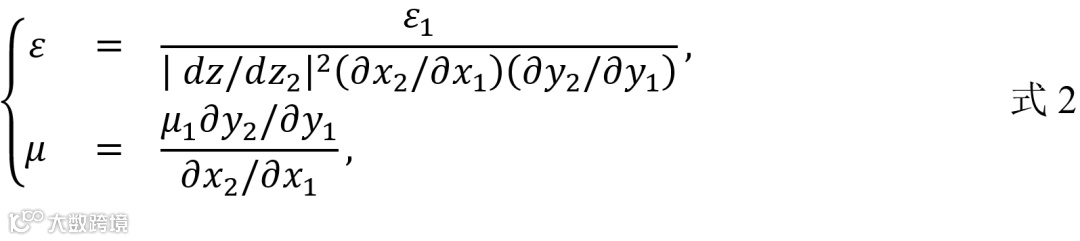
基于这套“RT+SCT”的组合变换,研究团队推导出了在瞬态热扩散场和电磁场中实现特定功能所需的全参数、各向同性材料分布。通过将SCT和RT对应的雅可比矩阵带入变换热学的坐标变换表达式中,可以得到,对于瞬态热学,需要同时设计的导热系数
和体积热容
为:
对于电磁场,对应的介电常数
和磁导率
为:
其中,
,公式中使用的坐标系记号已经在图1中给出。公式1和公式2清晰地展示了如何通过RSCT设计出具有特定功能的各向同性材料。
2.数值验证:热扩散场与电磁场的协同调控
研究团队设计并利用有限元软件仿真了三种典型的多边形功能器件:扩展器、引导器和隐身斗篷。
热学应用(图2):以菱形热学隐身斗篷为例,RSCT设计的材料(图2b, c)能完美地引导热流绕过中心区域,同时在器件外部的温度场与均匀背景几乎没有差别(图2e, g),定量对比也证实了其优异的隐身性能(图2d)。类似地,热扩展器和引导器也表现出对热流的精确操控能力(图2h)。
图2:基于RSCT设计的菱形热学隐身斗篷及其他功能器件。(a) 变换设计过程示意图。(b, c) 设计所需的导热系数和体积热容分布。(d) 器件边界温度与背景场对比,吻合度极高。(e-h) 隐身斗篷、扩展器和引导器的瞬态温度场仿真结果,展示了完美的场调控效果。
电磁学应用(图3):将同样的RSCT框架应用于电磁波,通过设计介电常数和磁导率分布,实现了对电磁波的扩展、90度弯折和隐身功能。仿真结果显示,电磁波在经过器件后,波前几乎不受干扰,能流被精确地引导,证明了该理论在波动系统中的普适性。
图3:基于RSCT设计的多边形电磁超构材料。(a) 扩展器、(b) 引导器、(c) 隐身斗篷的介电常数(第一行)、磁导率(第二行)和电场分布(第三行)。红色实线表示能流。
3.实验验证:从理论到现实
为了证实理论的有效性,团队加工并测试了上述三种热学功能器件。他们采用“两步法”解耦了导热系数和体积热容的设计。首先,通过在基底上钻不同大小的空气孔,利用有效介质理论来调控等效导热系数;然后,向孔中选择性地填充聚二甲基硅氧烷(PDMS),由于PDMS的导热率与空气接近,这一步可以在不显著影响导热系数的前提下,独立地调控等效体积热容。
实验结果(图4)展现了与有限元模拟非常接近的结果,证明了RSCT理论框架的准确性和实用性。
图4:热学功能器件的实验测量结果。(a) 扩展器、(b) 引导器、(c) 隐身斗篷。左列为对照组(均匀材料),右列为设计的器件。实验结果与理论预测和仿真高度一致。
本工作提出并系统地建立了一套基于重标度施瓦茨-克里斯托费尔变换(RSCT)的多物理场超构材料设计理论。通过能流方向与密度的协同调控,为解决传统共形变换方法中的界面失配问题提出了新的解决方案,特别是为设计全参数、各向同性、多边形、多物理场超构材料提供了一个普适而强大的半解析框架。
该研究的意义在于:1)为耗散系统(如热学)和波动系统(如电磁学)的协同调控提供了统一的理论基础;2)设计的各向同性材料和多边形几何结构,与现代集成电路工艺天然兼容,为解决芯片散热和电磁兼容等“卡脖子”问题开辟了新路径;3)该方法有望推广至声学、流体力学和粒子扩散等更广泛的物理领域,推动功能性超构材料的“正向设计”进入一个新阶段。
该工作的第一作者为庄鹏飞博士(上海理工大学和复旦大学)和博士生王成猛同学(复旦大学),戴高乐博士(南通大学)、须留钧副研究员(中国工程物理研究院研究生院)和黄吉平教授(复旦大学和上海理工大学)为论文的共同通讯作者。合作者包括杨福宝博士(中国工程物理研究院研究生院)、谭鹏教授(复旦大学)和Fabio Marchesoni院士(同济大学)。
原文链接:
https://journals.aps.org/prl/abstract/10.1103/nzvh-lxr8
撰稿|课题组

