近日,上海交通大学物理与天文学院陈险峰课题组和袁璐琦课题组利用合成频率维度构造了多种一维时间界面及二维时间界面,并实现了时间界面中动量守恒等普遍物理规律的直接观测,相关成果以“Observing momentum conservation at temporal interfaces in synthetic frequency dimension”为题于2025年12月19日发表在Science Advances上。
众所周知,光通过两个折射率不同的空间界面时会发生反射和折射。近年来,这种空间界面在时间维度上的对应,即时间界面,引起了广泛研究兴趣。当一个均匀介质在时间轴上发生折射率突变时,光同样会产生类似的反射和折射现象。这种时间界面不仅限于光场,且能够存在于多种波动系统。时间维度为光场操控提供了一个全新的自由度,由此产生了光子时间晶体等多种新奇的物理现象。目前关于时间界面的相关工作主要通过快速调制系统参数来实现时间界面,其中的动力学如反射和折射、频率移动等已经被观测到。但是对于整个能带范围内,不同的能带操作,如能带折叠、展开,以及二维时间界面的动量守恒尚未被严格实验证实。此外,时间界面的实现通常需要系统参数变化速率远快于波自身的动态变化,实现光频波段的时间界面上存在巨大挑战。因此,构建一种不依赖于快速调制就能实现的时间界面具有重要意义。
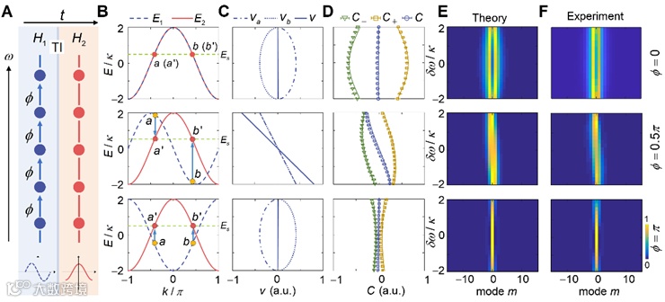
为了验证时间界面在整个能带范围内的动量守恒,研究团队开发了一种能谱层析方法。如图1(C)所示,假设时间界面之前的能带为
(蓝色虚线),时间界面之后的能带为
(红色实线)。在
时刻,能带
上的所有本征态被激发,波函数演化一定的时间
后系统参数发生突变产生时间界面,经过时间
后仅有能量为
两个本征态
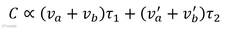
能够存在,其他本征态被耗散掉,系统的动力学演化如图1(D)所示。可以证明波函数的质心和二者在时间界面前后的群速度
之间存在固有关系
,并且由于
,该关系可进一步简化为
。若扫描使其遍历整个能带范围,通过对比波函数在时间界面后的质心分布
和对应于能量
处能带
的两个群速度之和
可以得到整个能带上所有的本征态的投影关系,进而验证时间界面处的动量守恒。

图1:合成频率维度中构造时间界面及通过能谱层析法验证动量守恒的示意图
研究团队利用合成频率维度平台来实验证实这一构想,实验光路如图1(E)所示。一个中心频率为
研究团队首先验证能带平移构造的时间界面中的动量守恒,如图2所示,时间界面之前和之后两个晶格之间具有相同的周期,但相邻格点之间的耦合之间存在一个相位差
图2:合成频率空间中一维能带平移过程中的时间界面动量守恒观测
研究团队进一步将时间界面拓展到高维,通过在电光调制器中引入近邻和长程耦合方法,将一维的频率晶格折叠成二维,实现了一个二维的时间界面,如图3所示。通过引入相位差,实现了二维能带的平移。通过进一步对比整个能带范围内不同能量处的稳态波函数的质心和群速度,验证了两者之间的对应关系,因此证明了二维能带平移时间界面过程中的动量守恒。

图3:合成频率空间中二维时间界面中的动量守恒观测
该工作首次实现了一维能带平移、折叠、展开的时间界面,及二维时间界面,对时间界面中的动量守恒进行直接实验验证。不同于之前的实验研究,该光学系统中的时间界面的构造不需要依赖于快速调制。这是由于时间演化发生在频率空间,当没有调制时候,时间就是“静止”的,只有在光场被调制时候时间演化才能进一步发生。该工作提供了一种在光频波段实现时间界面的平台,为之后基于时间界面的拓扑、非厄米、非阿贝尔等相关物理研究奠定了基础。上海交通大学物理与天文学院博士后贺炎炎(已出站)、博士生董兆辉以及助理研究员李广珍为论文的共同第一作者。上海交通大学袁璐琦教授和陈险峰教授为论文共同通讯作者。该工作得到了国家重点研究计划项目、国家自然科学基金、中国博士后基金等项目的支持。
论文信息:
Observing momentum conservation at temporal interfaces in synthetic frequency Dimension. Science Advances 11, eadz5445 (2025).Yanyan He, Zhaohui Dong, Guangzhen Li, Penghong Yu, Xiaoxiong Wu, Xianfeng Chen, and Luqi Yuan.
https://www.science.org/doi/10.1126/sciadv.adz5445
撰稿|课题组

