山东农业大学食品科学与工程学院,山东省高等学校食品营养与健康重点实验室,山东博德医药研究院有限公司的陈晓乐,李文文,陈锵,张超杰,李玲玉,郑振佳等人研究了从牛蒡中提取的中性多糖的结构及其抗炎活性。

主要介绍了牛蒡粗多糖和牛蒡中性多糖的结构分析及其抗炎活性评价。牛蒡粗多糖得率为12.23%,主要单糖组分为果糖、葡萄糖、阿拉伯糖和半乳糖。经过DEAE-52纤维素柱纯化后,牛蒡中性多糖的糖纯度为95.71%,主要由果糖和葡萄糖组成。分子量分析显示牛蒡中性多糖的Mw为2682 Da,Mn为2079 Da。抗炎活性评价表明,牛蒡中性多糖在不同浓度下均能显著减少斑马鱼巨噬细胞的迁移,并通过下调炎症因子mRNA的表达量来发挥抗炎作用。

Fig.1 Elution profile of polysaccharide by DEAE-52 cellulose column chromatography

图 2 牛蒡粗多糖(A)和牛蒡中性多糖
(B)的单糖组成色谱图
Fig.2 Monosaccharide profiles of crude polysaccharide (A) and neutral polysaccharide
(B) from Arctium lappa L.

图 3 牛蒡中性多糖分子量谱图
Fig.3 Molecular weight profile of neutral polysaccharide from Arctium lappa L.

图 4 牛蒡中性多糖紫外光谱
Fig.4 Ultraviolet spectra of neutral polysaccharide from Arctium lappa L.

图 5 牛蒡中性多糖的傅里叶红外图谱
Fig.5 Infrared spectra of neutral polysaccharide from Arctium lappa L.

图 6 牛蒡中性多糖的 X-射线衍射图谱
Fig.6 X-ray diffraction pattern of neutral polysaccharide from Arctium lappa L.

图 7 牛蒡粗多糖(A)和牛蒡中性多糖(B)的粒径分布图
Fig.7 Particle size of crude polysaccharides (A) and neutral polysaccharide (B) from Arctium lappa L.

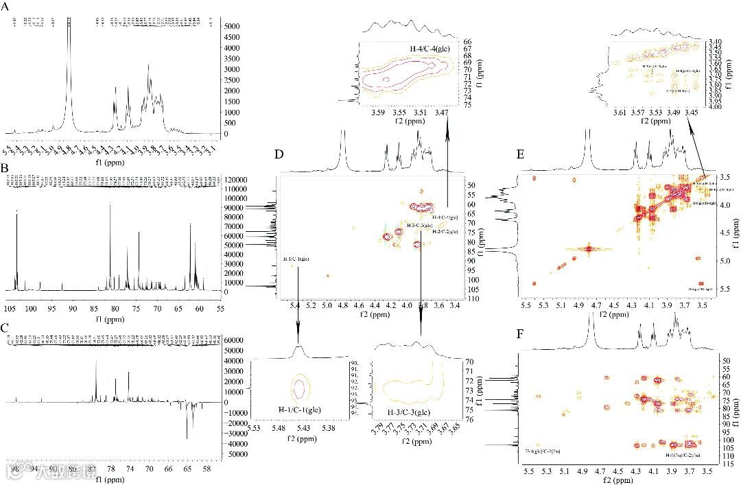
图 8 牛蒡中性多糖的1H 谱图(A)、13C 谱图(B)、DEPT-135 谱图(C)、HSQC 谱图(D)、1H-1H COSY 谱图(E)和 HMBC 谱图(F)
Fig.8 1H (A), 13C (B), DEPT-135 (C), HSQC (D), 1H-1H COSY (E), HMBC (F) spectra of neutral polysaccharide from Arctium lappa L.
Table 2 Chemical shift (ppm) of 1H-NMR and 13C-NMR spectra of neutral polysaccharide from Arctium lappa L.

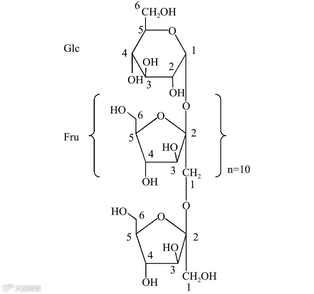
图 9 牛蒡中性多糖的模拟结构
Fig.9 Proposed structure of neutral polysaccharide from Arctium lappa L.

图 10 不同浓度多糖处理的斑马鱼表型图
Fig.10 Phenograph of zebrafish treated with different polysaccharide concentrations

图 11 不同浓度多糖处理的斑马鱼巨噬细胞迁移数量图
Fig.11 Migrating number of zebrafish macrophages with different polysaccharide concentrations
注:不同字母表示差异性显著(P<0.05,n=3),相同字母表示没有显著性差异(P>0.05);图 12 同。

图 12 牛蒡粗多糖及牛蒡中性多糖对 6 种炎症因子表达的影响
Fig.12 Effects of crude polysaccharide and neutral polysaccharide from Arctium lappa L. on the empression of six inflammatory factors
本文总结了牛蒡中性多糖的结构特征及其抗炎活性。研究显示,该多糖主要由果糖和葡萄糖组成,具有特定的分子结构和粒径分布。实验表明,牛蒡中性多糖能显著减少斑马鱼巨噬细胞的迁移,并通过下调炎症因子的表达来发挥抗炎作用,表明其具有潜在的抗炎功能,为开发功能性食品提供了科学依据。
引用本文:陈晓乐,李文文,陈锵,等. 牛蒡中性多糖结构分析与抗炎活性评价[J]. 食品工业科技,2023,44(12):45−54. doi: 10.13386/j.issn1002-0306.2022080225 .
Citation: CHEN Xiaole, LI Wenwen, CHEN Qiang, et al. Structure Analysis and Anti-inflammatory Activity Evaluation of Neutral Polysaccharides from Arctium lappa L. DOI: 10.13386/j.issn1002-0306.2022080225.
基金项目: 博德牛蒡研究基金“牛蒡资源利用与产业提质增效研究”(Burdock2022001)。
通信作者简介

郑振佳,山东农业大学食品学院副教授,博士生导师,研究方向为果蔬加工与天然产物化学。山东省重点扶持区域引进急需紧缺人才,中国食品科学技术学会青年工作委员会委员,《食品工业科技》青年编委。主持国家重点研发计划子课题、山东省重点扶持区域引进急需紧缺人才项目和山东省自然科学基金等16项;主持阿卡波糖、牛蒡子苷元和大豆苷等6项国家标准的研制;第一位获中国商业联合会科学技术奖二等奖、中国食品工业协会科学技术奖二等奖和烟台市科技进步二等奖等4项。在Comprehensive Reviews in Food Science and Food Safety、Journal of Agricultural and Food Chemistry和Food Chemistry等杂志发表论文100余篇。
(以上信息来源于网络)
本文内容由《食品工业科技》官网www.spgykj.com AI自动生成,欢迎点击阅读原文,获取原文进一步深读。

