EI收录,
入选中国科技期刊卓越行动计划
摘要
pH通常会影响蛋白颗粒的结构及理化性质,从而影响以其为乳化剂制备的Pickering乳液的性质。本文着重探究了燕麦分离蛋白(OPI)在不同pH(3、5、7、9和11)下的微观结构、Zeta电位和蛋白质亚基等特性,以及不同pH下以OPI作乳化剂的Pickering乳液(固定油水比为3:7时)的乳化特性、氧化稳定性和体外消化特性等。随着OPI悬浊液pH的升高,蛋白粒径先增大后减小,最小约0.27 μm。蛋白溶解度和Zeta电位绝对值先降低后升高,溶解度最高约12.96%,Zeta电位值最大约−38.01 mV。OPI悬浊液在pH为5时因靠近等电点而不稳定,制备的乳液短时间内出现分层。体系pH为3、9和11时,乳液粒径较小,乳化活性较高,流动性较强,并且显示更多的纤维结构。其中,pH为11时乳液液滴最小,约0.93 μm,Zeta电位值约−62.69 mV,EAI约38.70 m2/g,脂质氧化较慢,乳液较稳定,且游离脂肪酸最终释放率高达70.27%。结果表明,OPI在pH为3、9和11时都可以制备较稳定的Pickering乳液。这将有助于拓宽OPI的应用范围,并为OPI稳定的Pickering乳液提供一定理论基础。
结果与分析
2.1 不同 pH 下 OPI 的表征
不同 pH(3、5、7、9 和 11)下 OPI 的溶解度如图 1(A)所示。pH 为 5 时,OPI 的溶解度低至 0.57%±0.05%。这可能是由于蛋白质在等电点附近,表面净电荷接近于零,分子相互之间的静电斥力小,颗粒碰撞后发生絮凝,产生沉淀,溶解度小。pH为 7 时,蛋白溶解度为 4.54%±0.13%,pH 为 3、9 和11 时,OPI 的溶解度显著升高(P<0.05) ,最高约12.96%。这可能是由于远离等电点时,酸或碱处理破坏了 OPI 聚集体,使 OPI 颗粒能够更好的分散。在水溶液中,OPI 表面积较大,从而增加了水-蛋白质相互作用的能力,能够更好地水合。也可能是酸性或碱性环境导致 OPI 的结构展开,提供了更多的水结合位点。张庆等的研究中,pH 下降使大分子蛋白质解聚,二硫键断裂,OPI 的溶解度增加。
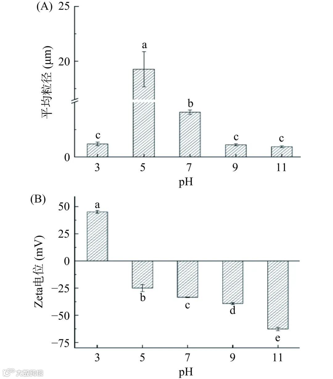
如图 1(B)所示,随着蛋白溶液 pH 的升高,OPI 的粒径先增大后减小。pH 为5 时粒径最大,约 4.14 μm。这可能是由于在等电点附近,蛋白表面电荷几乎为零,液滴之间静电斥力较低,蛋白颗粒形成较大的聚集体,蛋白溶解度降低。pH 为 7 时,蛋白粒径显著减小至 0.55 μm(P<0.05)。pH 为 3、9 和 11 时,OPI 的粒径最小为 0.27 μm,且相互之间无显著差异(P>0.05)。这可能是由于在等电点附近,蛋白表面电荷几乎为零,液滴之间静电斥力较低,蛋白颗粒形成较大的聚集体,蛋白溶解度降低。当溶液的 pH 远离蛋白等电点时,蛋白分子间的电荷数增多,分子之间的静电斥力增加导致蛋白分散,溶解度升高,这与图 1(A)结果相一致。
如图 1(C)所示,随着蛋白溶液 pH 的升高,Zeta 电位从正值变为负值。这可能是由于当蛋白溶液 pH 低于等电点时,氨基基团带正电荷,羧基基团呈中性。当蛋白溶液 pH 高于等电点时,氨基基团呈中性而羧基基团带负电荷。Zeta 电位绝对值先减小后增大。pH 为 5 时,Zeta 电位绝对值低至 8.43 mV。pH 远离等电点时,Zeta 电位的绝对值逐渐增大,最大约为 38.01 mV。这可能是由于 pH 远离等电点时,表面所带的电荷较多,电荷间的静电斥力会使OPI 溶液更稳定,聚集减少,蛋白的溶解度增大。

OPI 的荧光峰实际上是色氨酸残基的荧光峰,内源性荧光分析可以反映蛋白质小分子之间相互作用的信息。由图 2 可知,在不同的 pH 条件下,OPI 具有不同的荧光强度。pH 为3 和 11 时,蛋白荧光强度较低,分别为 772.64 a.u.和820.55 a.u.。可能是由于酸或碱处理导致蛋白质变性,色氨酸残基广泛暴露于亲水环境,引起荧光猝灭。当 pH 从 3 增加到 5 时,观察到最大发射波长的红移(从 335.2 nm 移至 334.4 nm 处)。可能是由于蛋白质分子聚集膨胀,减少了内部荧光猝灭。pH 从 7 增加到 11 时,最大发射波长出现明显的蓝移(从 331.4 nm 移至 335.4 nm 处)。这可能是由于酸或碱处理导致蛋白质的三级或四级结构发生改变,色氨酸残基暴露,使得发射波长变大。

不同 pH 下 OPI 的电泳图谱如图 3 所示。OPI 在 15~75 kDa 之间有 6 个条带。36 kDa 和 22 kDa 条带分别对应 12 S 球蛋白的酸性亚基与碱性亚基,该蛋白是 OPI 的主要储藏蛋白。吴寒等的结果中,OPI 泳道的条带集中在27.76~35.08 kDa 和 21.18~23.83 kDa 之间,这与其他学者的研究结论一致。其中 65 kDa 和 55 kDa可观察到的条带是 7S 球蛋白的成分。29~30 kDa对应清蛋白,在 43~50 kDa 之间观察到燕麦谷蛋白亚基。该结果表明提取的 OPI 中主要是燕麦球蛋白和部分清蛋白以及谷蛋白。

如图 4 所示,可以观察到 pH 为 5 和 7 时,悬浊液为乳白色。其他组(pH为 3、9 和 11)的悬浊液呈现不同程度的棕色。这是由于肽键-CONH 在酸或碱的作用下发生断裂,致使蛋白构象发生变化。蛋白质分子的电离状态发生改变,从而导致颜色和沉淀的变化。静置 1 h 后,pH 为 5、7 和 9 的蛋白悬浊液出现不同程度的分层。这是由于溶液的 pH 靠近蛋白等电点时,蛋白溶解度较低,粒径较大,这与上述图 1(A)结果相一致。在不同 pH 下,OPI 的微观形貌存在较明显的差别。在 pH 为 5 时,蛋白溶解度低,颗粒倾向于球形结构,比远离等电点的其他 pH(3、7、9 和 11)处出现更多的纤维结构和更粗糙的表面。这可能是由于在等电点附近 OPI 分子间的静电斥力减小,以颗粒形式聚沉析出。在 pH 为 3、7、9 和 11 时蛋白颗粒形成层状结构,这可能是由于 OPI 在远离等电点的 pH 溶解度较高,从而在干燥过程中形成层状结构。也可能是由于蛋白的 pH 远离等电点时,蛋白质表面的电荷就越多。由于静电排斥较小,带电极性基团的侧链和亚基趋于展开,形成柔性构象。远离等电点时,OPI的亲水基团暴露较多,导致 pH 为 3 和 11 的蛋白显示更多的纤维结构,具有较大的纵横比。

不同 pH 下OPI 稳定的 Pickering 乳液乳化活性指数(EAI)和乳化稳定性指数(ESI)的变化见图 5。随着体系 pH 的升高,乳液的 EAI 和 ESI 先降低后增加。体系pH 为 5 时,乳液的 EAI 和 ESI 分别为 6.13±0.70 m2/g和 176.52±17.80 min。乳液乳化活性最低。这是由于接近 OPI 等电点,蛋白质分子间静电斥力较弱,溶解度较低,蛋白质发生絮凝沉淀,无法吸附于油水界面。体系 pH 为 3、9 和 11 的乳液的乳化活性和稳定性较好。尤其体系 pH 为 11 时,EAI 和 ESI 分别为 38.70±0.35 m2/g 和 1271.36±72.48 min,此时乳化活性最高。这是由于 pH 高于或低于蛋白质等电点时,OPI 携带净负电荷或净正电荷,分子间静电斥力增加,蛋白溶解度较高,Zeta 电位绝对值较大,乳液乳化性能增强。刘炯娜等的研究中也发现了类似结果,核桃蛋白纳米颗粒 Pickering 乳液在 pH 为8.0 时乳化活性最大 32.79 m2/g。

图 5 不同 pH 下 OPI Pickering 乳液的乳化活性和乳化稳定性
Fig.5 Emulsifying activity and stability of OPI Pickering emulsion at different pH
由 图 6( A) 和图 6(B)可知,随着体系 pH 的增加,乳液的粒径先增大后减小。电位由正值变为负值。pH 为 3、9 和11 时,粒径均小于 1.19 μm,且无显著差异(P>0.05)。pH 为 5 时,Zeta 电位绝对值为 24.97±3.20 mV。液滴之间的静电斥力小,OPI 溶解度低,液滴粒径大,易发生聚集,乳液不稳定。体系 pH 为 7 时,Zeta 电位绝对值为 33.47±0.28 mV,乳液相对稳定。酸或碱处理后,Zeta 电位绝对值均高于 39.2 mV。蛋白包裹的液滴表面净电荷量增大,液滴之间的静电斥力增大,能使液滴之间保持平衡而不发生聚集,液滴分布均匀。尤其体系 pH 为 3、9 和 11 时,OPI 溶解度较高,Zeta 电位绝对值较高,乳液粒径较小,乳液较稳定。体系 pH 为 11 时,Zeta 电位绝对值高达 62.69±1.55 mV,乳液最稳定。结果表明,pH 为 5 时,OPI颗粒发生聚集,不容易形成稳定的 Pickering 乳液。其他 pH(3、7、9 和 11)下 OPI 颗粒都能很好地稳定Pickering 乳液。Karolina 等的研究中,远离蛋白等电点的乳液粒径较小,Zeta 电位绝对值较高,与本实验结果一致。

通过激光共聚焦扫描显微镜有助于明确蛋白质颗粒在油水界面处的定位,并判断乳液的类型。如图 7 所示,绿色的油滴外均匀的吸附了一层红色的蛋白颗粒,表明形成了稳定的水包油 Pickering 乳液。Zhang 等的研究与此结论一致。随着体系 pH 的增大,乳液的粒径先增大后减小。体系 pH 为 5 时,蛋白表面电荷较低,颗粒粒径较大,溶解度较低。形成的乳液液滴分布不均匀,尺寸不规整,液滴边缘和水相中均存在粒径较大的蛋白质聚集体。不能有效地稳定油水界面。这与溶解度结果相一致。而体系 pH 在 3、7、9 和 11 时,OPI 溶解度较高,Zeta 电位绝对值较大,制备的乳液粒径较小,液滴分布较均匀。水相中的 OPI 聚集体较少,油滴界面均吸附着红色的蛋白膜。表明蛋白有效吸附在油水界面。这些结果表明,酸或碱处理改善了 OPI 稳定乳液的微观结构和液滴分布。


不同体系 pH(3、5、7、9 和 11)下的乳液表观黏度如图 9(A)。表观黏度随着剪切速率的增加而降低,表明乳液产生剪切稀化行为。在剪切力作用下,粒子产生流动,乳液粒子的结构被破坏,网络结构弱化,导致这些分子在一定程度上被分离出来。体系 pH 为 5 时,乳液的初始表观黏度最大。这可能是由于乳液粒径大,分子间相互排斥力较弱,颗粒极易凝聚,这些聚合物溶液具有较大的内部阻力阻碍流动。反之,体系 pH 为 3、9 和 11 时,表观黏度较小。这可能是由于远离等电点,蛋白溶解度高,颗粒间静电斥力大,乳液粒径小,分散性好,表观黏度较小。总体来看,在不同 pH 条件下的乳液黏度都较小,乳液流动性较强。
不同体系 pH(3、5、7、9 和 11)下的乳液在0.5~10 Hz 频率下的储能模量(G')和损耗模量(G'')变化如图 9(B)所示。相同 pH 条件下乳液的 G'值高于整个频率范围内的 G''值,表明乳液为黏弹性结构。从整体来看,体系 pH 为 5 的乳液 G'和 G''大于其他 pH 下的乳液。并且随着频率的增加,乳液模量也随之上升。这是由于此条件下乳化剂无法稳定油水界面,较大粒径的乳液对剪切力具有较强的抵抗作用。其他组乳液的 G'和 G''几乎不受频率的影响,表明在整个频率范围内,乳液具有相对较高的凝胶强度。随着体系 pH(3、7、9 和 11)的升高,乳液的模量(G'和 G'')降低。可能是由于乳液表面电荷增加、粒径较小,导致凝胶强度降低。

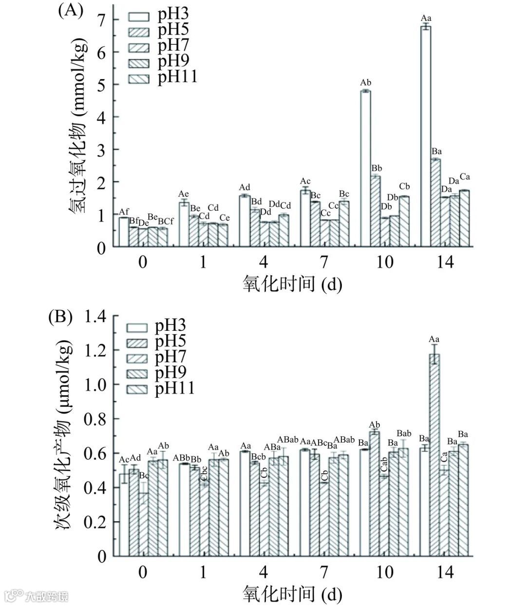
过氧化氢值(POV)反映了油脂中氢过氧化物的含量,是衡量油脂质量的一个关键理化指标。储藏 14 d 内五组乳液的 POV 值变化如图 10(A)所示。随着储存时间的延长,乳液的 POV 值呈持续增长的趋势。体系 pH 为 3 时,乳液在 7~10 d 氧化速度较快,10 d 时达到了 4.80±0.04 mmol/kg, 14 d 后 POV 值 增 加 到 了 6.79±0.10 mmol/kg,这可能是由于 pH 为 3 的蛋白带负电荷,体系更容易发生氧化反应。体系 pH 为 5 时,乳液的氧化产物浓度为 2.69±0.04 mmol/kg。这是由于 pH 在蛋白等电点附近时,分子间静电斥力减弱,颗粒凝聚而产生沉淀,蛋白不能很好地包裹油脂,这增加了油脂和氧气的接触,发生了油脂氧化反应。其他 组 乳 液 在 储 藏 14 d 后 POV 值 均 低 于 1.73±0.03 mmol/kg。可能是由于碱性条件下,H+浓度太低,不易发生氧化反应。
五组乳液的次级氧化产物(TBARS)变化如图 10(B)所示。乳化表现较好的乳液(pH 为 3 和11)对 TBARS 的抑制作用上要弱于体系 pH 为7 和 9 的乳液。体系 pH 为 11 时,TBARS 含量最高为0.65±0.01 μmol/kg。这是由于乳液液滴能够相对均匀地分散在体系中,能较多机会地接触到氧分子,以引起油脂氧化反应。体系 pH 为 5 时,贮藏 14 d 后TBARS 含量达到 1.18±0.06 μmol/kg,氧化最严重。这可能与乳液在蛋白等电点处的聚集有关。体系 pH 为 7 时,TBARS 含量最少,14 d 仅有 0.50±0.03 μmol/kg。表明中性条件下乳液的氧化稳定性最高。其原因可能是 OPI 的粒径较小,在油水界面处可负载的颗粒数量较多。形成了一个较厚的物理边界层,致密的三维网状结构能够防止脂质氧化引发剂渗透到油相中,同时抑制了氢过氧化物和自由基等在脂质内部的扩散迁移。以上结果表明,OPI 稳定的 Pickering 乳液在中性条件下具有更好的抗氧化性。而脂质氧化在体系 pH 为 11 时比 pH 为 3 时慢,这归因于 OPI 稳定的 Pickering 乳液在碱性条件下具有更高的抗氧化活性。这些结果强调了界面组成和溶液 pH 对乳液氧化稳定性的重要性。Taherian等研究发现,在 pH 为 3.4 时,乳清蛋白分离物稳定乳液的较低表面电荷和较高表面积促进了脂质氧化和己醛的产生。与本实验结果一致。

不同体系 pH(3、5、7、9 和11)下的乳液的体外消化结果见图 11,乳液的微观状态变化趋势基本一致。三个阶段乳液的粒径均有不同程度的增大。在口腔阶段,乳液液滴均没有明显变化,这可能是由于在模拟口腔阶段的时间相对较短。胃部消化结束时,乳液液滴部分被分解,消化液呈淡黄色,液面未见大油滴漂浮,粒径稍有增加,乳液液滴开始破裂。这是由于在模拟胃液中,乳液受 pH、酶和盐离子浓度的影响。也可能是存在的强酸和胃蛋白酶对蛋白质界面层造成了一定程度的破坏。肠消化阶段,体系 pH 会在较短时间升高到 7 左右。乳液液滴表面会带大量负电荷,其静电排斥作用增强,油相和 OPI 发生明显分离。这可能是肠道中的胰酶渗透到微粒中,导致其界面层受到侵蚀,油相不能被很好的覆盖和保护。小肠消化结束时,乳液粒径明显增加。

Citation: WANG Jing, JIAO Yingxue, GAO Wei, et al. Effects of pH on Oat Protein Isolate and Pickering Emulsion Stabilized by the Protein[J]. Science and Technology of Food Industry, 2025, 46(12): 112−123. (in Chinese with English abstract). doi: 10.13386/j.issn1002-0306.2024070173.
通信作者简介
(以上信息来自河北农业大学食品科技学院官网)
或登录www.spgykj.com阅览全文。
各位专家学者:
为推动食品科学领域的知识经验交流,促进食品产业的创新发展,2025第三届食品科学家论坛及产学研交流大会、2025宁夏食品科学论坛暨《食品工业科技》与 Food Innovation and Advances 编委会会议将于2025年8月4-6日在银川召开。本次论坛将以“荟聚食品英才,共创美好未来”为主题,旨在为食品科学家提供交流平台,加强技术交流和创新能力融合。
本届论坛拟邀请食品科学领域研究机构的多位专家学者,围绕基础研究领域的前沿进展、产业发展最新动态,展开深入的学术交流与探讨。同时,我们将就未来的合作和交流平台建设进行对话,总结经验、传播知识、思考未来,共同推动食品科技创新和可持续发展。
食品科学家是推动食品学科发展、产业进步的中坚力量,而青年科学家是重要力量。本次论坛诚挚邀请国内外各大院校、科研院所、食品企业等专家共同参与,期待食品科学家、青年科学家、博士研究生、硕士研究生积极提交研究成果,分享研究心得,共同推动食品学科的发展。本届论坛不仅为国内外食品学科领域的交流与合作提供了平台,也将为食品期刊、食品饮料企业、仪器商提供展览、展示。Food Junction:2025第三届食品科学家论坛及产学研交流大会期待与您相约“塞上江南”——银川。
点击链接进行报告/参会注册:2025第三届食品科学家论坛及产学研交流大会、2025宁夏食品科学论坛暨食品工业科技与FIA编委会会议——回执表.docx
点击链接下载邀请函:邀请函—2025第三届食品科学家论坛及产学研交流大会.pdf
食品科学家论文汇总
(点击专家姓名,查看论文)
《食品工业科技》特邀主编专栏征稿
《食品工业科技》客座主编专栏征稿:地方特色食品:加工技术、感官品质、风味特性和营养健康☚
《食品工业科技》特邀主编专栏征稿:“十四五”国家重点研发计划“陕西秦巴山区特色经济作物、果蔬产业关键技术集成与示范”☚
《食品工业科技》特邀主编专栏征稿:果蔬基料制造:基础理论,新型加工、质量控制与智能制造☚
群聊:食品工业科技作者群
温
馨
提
示
我刊正式组建微信作者群,为作者提供更多的学术与论文资讯,如需进群,请联系刘老师(微信:上方二维码,电话:87244117-8062)。
版权声明

