EI收录,
入选中国科技期刊卓越行动计划
胚芽米发芽过程中结构、成分及功能特性的变化:
1. 淀粉变化:总淀粉含量显著降低(48h后从77.13%降至68.75%),直链淀粉先升后降,支链淀粉反之;抗性淀粉变化不显著。淀粉酶活性增强,还原糖含量增加(48h达10.38 mg/g)。
2. 功能成分:γ-氨基丁酸(GABA)先升后降(36h达峰值138.09 mg/100g);游离多酚和黄酮显著增加(48h分别提升90.75%和24.93%)。
3. 抗氧化性:DPPH、ABTS等抗氧化指标显著升高(48h后最高提升169.63%)。
4. 血糖指数(eGI):先升后降,48h后降低3.30,与淀粉水解及多酚作用相关。
5. 结构变化:形态:籽粒膨胀,表面出现黄色光泽;微观:糊粉颗粒逐渐水解,淀粉颗粒暴露;短程有序度(R值)和结晶度降低,但晶体结构类型不变(A型)。
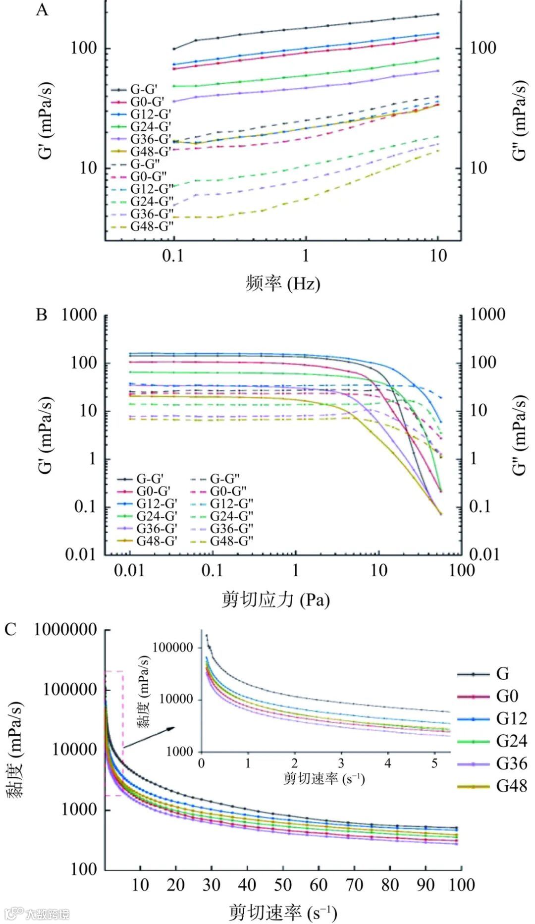
6. 流变特性:凝胶黏度下降,呈现剪切稀化,与淀粉、蛋白质降解有关。 总体表明,发芽通过酶解作用改变胚芽米成分,提升功能活性,同时影响其物化结构。
图 1 未处理及发芽处理胚芽米淀粉组成、淀粉酶活变化
Figure 1. Changes in starch composition and starch enzyme activity of untreated and germinated germ rice
注:图中不同字母表示差异显著(P<0.05)。
图 2 未处理和发芽处理胚芽米形态变化
Figure 2. Morphological changes of untreated and germinated germ rice
图 3 未处理和发芽处理胚芽米表面扫描电镜图
Figure 3. Scanning electron microscopy of the surface of untreated and germinated germ rice
注:红色箭头表示游离淀粉颗粒,蓝色箭头表示糊粉细胞空腔结构。
图 4 未处理和发芽处理胚芽米的红外光谱
Figure 4. FT-IR spectra of the untreated and germinated germ rice
图 5 未处理和发芽处理胚芽米的X衍射图
Figure 5. X-ray diffraction patterns of the untreated and germinated germ rice
图 6 未处理和发芽处理胚芽米的流变特性
Figure 6. Rheological properties of untreated and germinated germ rice
注:频率扫描(A)、应变扫描(B)、剪切速率(C)。
表 1 未处理和发芽处理胚芽米的估计血糖生成指数
Table 1 eGI of the untreated and germinated germ rice
表 2 未处理和发芽处理胚芽米γ-氨基丁酸、游离多酚和游离黄酮含量
Table 2 GABA, free phenolic, and free flavonoid content of the untreated and germinated germ rice
表 3 未处理和发芽处理胚芽米的抗氧化特性
Table 3 Antioxidant properties of the untreated and germinated germ rice
本章节重点: 1. 发芽时间显著影响胚芽米的结构、理化和抗氧化特性。 2. 淀粉酶活性提升,总淀粉含量下降;直链淀粉先增后减,抗性淀粉持续减少,发芽48小时后血糖生成指数降低3.30。 3. γ-氨基丁酸、游离多酚和黄酮含量显著增加,抗氧化能力增强。 4. 糊粉细胞空腔结构被水解,淀粉与蛋白质水解导致米结构松散,结晶度和有序度降低。 5. 发芽改善胚芽米功能特性,但需进一步研究其在动物/人体模型中的健康益处及食品工业适用性。
引用本文:路乐乐,沈琴,刘诗琳,等. 胚芽米在发芽过程中结构、理化及功能特性的变化[J]. 食品工业科技,2025,46(17):344−351. doi: 10.13386/j.issn1002-0306.2024090303.
Citation:LU Lele, SHEN Qin, LIU Shilin, et al. Changes in Structural, Physicochemical, and Functional Properties of Germ Rice during Germination[J]. Science and Technology of Food Industry, 2025, 46(17): 344−351. (in Chinese with English abstract). doi: 10.13386/j.issn1002-0306.2024090303.
基金项目:国家重点研发计划(2021YFD2100902);黑龙江省“双一流”学科协同创新成果项目(LJGXCG2024-P38);大庆市指导性科技计划项目(zd-2024-45)
通信作者简介
王长远,教授、博士生导师,黑龙江八一农垦大学党委常委、副校长。黑龙江省高层次人才,黑龙江省“头雁”团队骨干成员,黑龙江省领军人才梯队后备带头人,黑龙江省食品与生物技术创新研究中心(国际合作)主任。主要研究方向:植物蛋白工程、功能性食品。主持国家重点研发计划项目课题、中央引导地方科技发展专项、自然基金、省外国专家项目等课题20余项;曾获省科技进步二等奖2项、三等奖2项,中国食品科学技术学会科技创新奖—技术进步奖三等奖1项、省高校科技进步一等奖1项,出版专著5部,发表论文130余篇。担任国内外多本期刊审稿专家,《食品工业科技》编委。
王立东 教授、博导,研究方向:谷物健康食品的研究开发及产业化,淀粉基材料的研究开发和应用。中国食品科学技术学会高级会员;黑龙江省食品学会理事;黑龙江省杂粮学会常务理事;黑龙江省科技厅、大庆市、牡丹江市科技特派员;大庆中禾粮食股份有限公司总经理(社会兼职,2013-2014)。
食品科学家论文汇总
(点击专家姓名,查看论文)
《食品工业科技》特邀主编专栏征稿
《食品工业科技》特邀主编专栏征稿:果蔬基料制造:基础理论,新型加工、质量控制与智能制造☚
《食品工业科技》特邀主编专栏征稿:☚
群聊:食品工业科技作者群
温
馨
提
示
我刊正式组建微信作者群,为作者提供更多的学术与论文资讯,如需进群,请联系刘老师(微信:上方二维码,电话:87244117-8062)。
版权声明

