为实现胡萝卜玉米排骨汤的工业化,本研究通过单因素实验、响应面优化获得骨汤最佳熬煮工艺和正交试验获得最适调味料添加量。此外,以速冻预制胡萝卜玉米排骨汤为研究对象,模拟第三方物流长、短距离配送与自提模式试验,分析各处理组的复热损失率、pH、硫代巴比妥酸值、挥发性盐基氮值、菌落总数、电子舌指标及感官品质变化。结果显示,骨汤的最佳熬煮工艺为:熬煮时间145 min、熬煮压力50 kPa、料液比1:3;最适调味料添加量为(以骨汤200 g计):食盐1.4 g、白砂糖1 g、味精0.3 g。此条件下汤汁色泽透亮、滋味鲜香、风味纯正、口感最佳。与全程保持−18 ℃的对照组相比,各实验组中因温度波动次数的增加而造成食用品质的下降,且随着冷链运输时间的延长及环境温度的升高,产品的脂质氧化、微生物生长繁殖、滋味及感官劣变越严重。研究得到胡萝卜玉米排骨汤生产最优工艺,同时提示速冻汤类产品在贮运、自提过程中应尽量保持一致的冻藏温度,避免温度波动,以保证产品品质。
作为最古老且有效的食品保鲜技术,低温贮藏在维持肌肉食品、水果和蔬菜的安全及质量方面发挥着关键作用,根据贮藏环境温度的不同,现代工业中通常以冷藏(0~4 ℃)和冷冻(低于−18 ℃)两种方式来提高产品的品质稳定性。近年来,与传统肉制品相比,调理牛排因其食用方便、营养均衡等优势,越来越受到消费者的青睐。调理牛排产品通常采用冷藏或者冷冻方式进行贮运销售。传统的冷藏技术货架期较短,难以进行长线的冷链运输;此外,尽管冷冻技术可以大幅度延长货架期,但是贮藏过程中冰晶的生长/再结晶会对肌肉组织造成剧烈的机械损伤,解冻后过多的汁液损失会直接损害行业的经济效益和消费者的健康需求。因此,有必要开发新型的低温保存技术以维持食品原有的品质。
预制菜是以食用农产品及其制品为原料,使用或不使用调味料等辅料,不添加防腐剂,经工业化预加工制成,配以或不配以调味料包,符合产品标签标明的贮存、运输及销售条件,加热或熟制后方可食用的预包装菜肴。2022 年我国预制菜市场规模达5992.2 亿元,预计至 2026 年将突破万亿元,达到1.07 万亿元。在 2024 年初,《关于加强预制菜食品安全监管 促进产业高质量发展的通知》发布,将预制菜大致分为了即热食品(Ready-to-Heat)和即烹食品(Ready-to-Cook)两大类,而将原来行业、团体标准中定义的即食食品(Ready-to-Eat)和即配食材(Ready-to-Use)排除在预制菜范围之外。中式餐饮文化中,汤品作为日常膳食的核心要素。因此,汤类产品构成了预制菜产业领域内不可或缺的关键组成部分,展现出广阔的消费市场潜力。
猪排骨富含蛋白质、脂肪、维生素、矿物质等营养成分,与胡萝卜、玉米共炖成汤,风味鲜美、营养均衡,适宜各阶段人群,是我国家庭烹饪中的一道常见菜肴。但其做法工序繁琐,需要高压炖煮,耗时较长。预制菜市场的高速发展推动了传统中式菜肴向工业化生产转型,这对加工过程提出更多工业化要求。因此需要在保证产品质量的同时,进一步简化生产流程、对现有工艺进行优化。目前,已有许多学者对传统菜肴的预制菜中汤类产品的工艺生产进行了探索。赵洪磊等通过单因素实验和响应面试验对鳕鱼汤的微波加热时间、功率和料液比进行了优化,得到微波加热熬制鳕鱼汤的最佳生产工艺;卞欢等[8] 探究了速冻、缓冻和高温杀菌(121 ℃ 杀菌15 min 后冷却至常温)三种方式处理 30 d 对鸭汤中营养成分和感官评价的影响,发现速冻可最大限度地保持鸭汤的品质,可作为汤类产品贮藏保鲜的有效方式。王虎虎等以鸡汤出品率、色泽、风味物质含量等为指标,通过正交试验优化得到黄羽肉鸡汤煲的最佳炖煮工艺。但目前还未见到针对胡萝卜玉米排骨汤工艺的相关研究。
冷链物流是预制菜全链条产业的重要组成部分。在冷链物流中保持温度的稳定性,是保证生鲜类产品,特别是速冻类食品品质的关键。然而实际运输与配送环节会受到各种因素影响,使温度产生波动或者导致冷链断裂,可能会出现脂肪氧化加剧、口感变差、风味下降、营养成分流失、腐败变质等一系列问题,严重时可能无法食用,对消费者的健康构成潜在风险,并影响其购买体验与满意度。卢琪等探究了预制菌汤在不同冻融循环次数条件下微生物指标、营养指标、等鲜度以及挥发性风味物质的变化,表明为保持菌汤较好品质,冻融处理应控制在2 次内;Gadekar 等探究了去骨鸡汤在冷藏(4 ℃)和冷冻(−18 ℃)贮存时的品质变化,发现在这两种方式下鸡汤可分别贮存 12 d 和 90 d。速冻胡萝卜玉米排骨汤营养价值高,风味独特,需要经过冷链运输才能到达消费者手中,但目前关于预制汤类在模拟冷链物流过程中的品质变化的研究仍相对空白。
基于此,本研究探究了不同的熬煮时间、熬煮压力和料液比对骨汤品质的影响,通过正交试验和响应面试验优化得到骨汤最佳熬煮工艺,并在此基础上进行了调味实验,得到预制胡萝卜玉米排骨汤最佳加工工艺和配方。此外,模拟并设计了第三方物流配送与自提模式的冷链物流方案,通过测定各模拟条件下产品 pH、脂肪氧化情况、菌落总数、滋味和感官的影响,探究冷链条件下温度波动对产品品质的影响,以期为速冻预制胡萝卜玉米排骨汤走向工业化生产提供理论支持。
2.1 骨汤制备单因素实验结果
2.1.1 熬煮时间对骨汤可溶性蛋白、氨基酸态氮和感官评分影响
熬煮时间对于骨汤风味的形成具有关键作用。图 3A 显示,熬煮时间在 90~180 min 内,可溶性蛋白质、氨基酸态氮含量及感官评分随时间增加均逐渐上升,于 180 min 时达到最高,而后则呈下降趋势。这可能是因为在熬煮初期,高温促进肌原纤维溶解,加速猪骨中蛋白质溶出,使骨汤中可溶性蛋白含量提升,同时蛋白质分解产物游离氨基酸含量持续增加。然而熬煮时间过长时,蛋白质易发生降解或聚集,导致可溶性蛋白含量下降,且游离氨基酸与还原糖持续发生美拉德反应,造成氨基酸态氮含量降低,这三种指标的变化与徐永霞等在菌菇狭鳕鱼汤在煮制过程中得到的结果相一致。因此,以感官评价为主要评价指标,结合可溶性蛋白质、氨基酸态氮含量指标,骨汤最优熬煮时间为 180 min。

图 3 熬煮时间(A)、熬煮压力(B)和料液比(C)对骨汤可溶性蛋白质、氨基酸态氮和感官评分的影响
Fig.3 Effects of boiling time (A), boiling pressure (B), and material liquid ratio (C) on soluble protein, amino acid nitrogen, and sensory scores of bone soup
注:不同小写字母表示不同复热条件下样品具有显著性差异(P<0.05)。
2.1.2 熬煮压力对骨汤可溶性蛋白、氨基酸态氮和感官评分影响
由图 3B 可知,随熬煮压力增大,骨汤中氨基酸态氮含量逐渐上升,可溶性蛋白质与感官评分则呈现先升后降趋势,在 60 kPa 时达到最大值。这可能是因为高压对组织结构造成破坏,促进肉、骨中蛋白质溶出,进而增加了骨汤中可溶性蛋白含量。同时,较高的压力会进一步破坏蛋白质结构,因而增加了骨汤中氨基酸态氮的含量。压力增大到 60 kPa 后可溶性蛋白质出现显著降低可能是因为蛋白质在高压下发生交联或降解。这与韩辉等在高压即食鸡汤中观察到的现象相似。因此,选择最佳熬煮压力为 60 kPa。
2.1.3 胡萝卜玉米排骨汤料液比对骨汤可溶性蛋白、氨基酸态氮和感官评分影响
水分是承载原料营养物质的重要介质,料液比主要通过改变浓度差来影响原料中营养物质的溶出,并对骨汤的感官品质产生较大影响。如图 3C 所示,随料液比增大,可溶性蛋白质含量随水分添加量的增加呈短暂上升后下降的趋势,这主要归因于料液比的提高对骨汤起稀释作用。氨基酸态氮含量呈现出相同的变化趋势,在料液比为 1:3 时达到最高。且在该比例下,骨汤感官得分为 7.8 分,显著高于其他四组(P<0.05)。在骨汤熬煮加水量过少时,熬煮的骨汤过于浓稠,口感油腻,而当加水量过多时,骨汤滋味变淡,为获得鲜香味浓、口感饱满的骨汤,需严格控制加水量。综上,控制骨汤熬煮时料液比为 1:3。
根据 Design-Expert 13.0 软件对最终骨汤感官综合评分进行多元拟合回归分析,结果见表 6,得到熬煮时间(A),熬煮压力(B),料液比(C)三个自变量的二元多项回归方程:
Y=8.37+0.038A−0.013B−0.1C+0.188AB−0.088AC−0.038BC−0.529A2−0.254B2−0.679C2。
由表 7 可知,响应面模型的回归方程 P 值<0.0001,表现出极显著差异;失拟项的 P 值为 0.4749,表现为不显著;模型决定系数 R2 为 0.9050,校正决定系数 R2adj 为 0.9721,表明响应面试验模型具有很高的拟合性。一次项 C 表现出显著性(P<0.05),A 和 B 表现为不显著(P>0.05),表明料液比对骨汤综合得分有显著影响,而熬煮时间和熬煮压力的影响较小。模型二次项 A2、C2 极显著(P<0.0001),B2 非常显著(P<0.01),交互项 AB 非常显著(P<0.01),AC 显著(P<0.05),BC 不显著(P>0.05),表明熬煮时间与熬煮压力、熬煮时间与料液比之间的交互作用对骨汤综合得分有显著影响,而熬煮压力和料液比之间的交互作用不会显著影响骨汤品质。F 值与因素对骨汤综合得分的贡献呈正比,熬煮时间、熬煮压力和料液比的 F 值分别为 1.60、0.1777、11.37,所以影响骨汤最终综合得分的主次因素为料液比(C)>熬煮时间(A)>熬煮压力(B)。
表 6 骨汤熬煮响应面试验结果
Table 6 Response surface test results of bone soup boiling

Table 7 Response surface equation variance and significance analysis

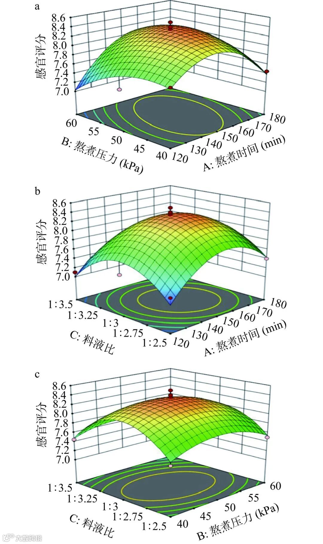
为更直观地了解各因素对最终结果的影响,需进一步对响应面图和等高线图进行分析。等高线图能够体现因素之间的交互作用大小,等高线图像越趋于椭圆,因素之间交互作用越强,而响应曲面图则能够直观呈现这种交互作用如何影响最终结果。从图 4a 可以观察到,随着熬煮时间和熬煮压力的增加,骨汤熬煮综合评分呈先上升后下降的趋势,且响应面陡峭,两种因素间交互作用非常显著(P<0.01),等高线趋近于椭圆形,类似的趋势在图 4b 也能观察到。结果同表 7 中响应面方差分析结果相一致。根据 Design-Expert 软件分析,当熬煮时间为147.09 min,熬煮压力为 49.51 kPa,料液比为 1:3 时,骨汤综合评分达到最大值 8.45 分。
Fig.4 Response surface image of the interaction between various factors
注:a. 熬煮时间与熬煮压力;b. 熬煮时间与料液比;c. 熬煮压力与料液比。
2.4 骨汤最佳熬煮工艺验证
实际生产中,较难实现精确控制 147.09 min、49.51 kPa 的生产条件,所以将熬煮时间调整为145 min,熬煮压力调整为 50 kPa,料液比为 1:3,此条件下骨汤感官评分为 8.60±0.11 分,较响应面预测值 8.45 相差 0.98%(<5%),证明该回归模型的准确性和响应面结果的可靠性,以此结果进行骨汤熬煮工艺优化具有可行性。
2.5 调味配方优化试验结果
在确定骨汤熬煮工艺、主辅料添加量的基础上对胡萝卜玉米排骨汤进行调味试验,以甜度、鲜度、咸度作为评分指标,对正交试验组调味后的产品进行评分,并进行可接受度综合评分,评价结果及正交试验分析如表 8 所示。
表 8 调味配方正交试验优化结果
Table 8 Optimization results of orthogonal test for seasoning formulation

经过统计,影响胡萝卜玉米排骨汤调味最终得分的条件主次为白砂糖添加量(B)>食盐添加量(A)>味精添加量(C),最优调味配比组合为 A2B3C3,即食盐 0.7%、白砂糖 0.5%、味精 0.15%。在该配比下进行验证实验,可接受度为 86.12±1.23 分,优于以上九组实验的最终得分。因此,在胡萝卜玉米排骨汤中加入食盐 1.4 g、白砂糖 1 g、味精 0.3 g(以骨汤200 g 计)时产品滋味鲜甜、风味浓郁、可接受度最高。
2.6 第三方物流配送与自提模式冷链物流试验中胡萝卜玉米排骨汤品质变化
用复热损失率来衡量胡萝卜玉米排骨汤烹调损失程度。经冷链模拟过程后,各组复热损失率均有所增加,如表 9 所示。其中,LL2组复热损失率最高,较对照组显著提高了 0.82%,SL2 组和 SL3 组复热损失率分别较对照组提高了0.46% 和 0.67%,而 LL1 组和 SL1 组在复热后的损失率与 CK1 组无明显差异(P>0.05)。实验结果表明,贮存配送过程中环境温度的升高会加剧产品的复热损失率,这可能是因为在温度波动过程中排骨组分内冰晶反复形成和融化所致,从而破坏排骨的组织结构,比如破坏蛋白质的空间结构与亲水基团,原有的持水作用被破坏,加剧复热时水分的流失。路彤等的研究表明,鸡胸肉的蒸煮损失率随着冻融次数的增加而升高,本文结果与之相一致。因此,为保证产品质量,需尽可能让产品在整个贮存与配送周期内处于稳定的−18 ℃ 环境中。
表 9 第三方物流配送与自提模式下各组产品复热损失率
Table 9 Reheating loss rate of each group of products under third-party logistics delivery and self -extraction mode

2.6.2 pH 变化
从表 10 中可看出长、短距离运输组产品在模拟冷链过程中的 pH 变化。随着运输时长的增加,pH 均呈下降趋势。在长距离运输组中,LL2 组较 LL1 组下降显著,这可能是由于 LL2 组在配送环节置于更高的温度环境下,加速微生物的繁殖及蛋白质的分解,pH 下降。在短距离运输组中pH 也呈相同的变化规律,SL3 组 pH 显著低于其他短距离运输组。因此,在自提配送模式时,消费者应及时取货并置于−18 ℃ 的冰箱中冷冻保存,同时,社区终端销售店及自提配送点商家也应提供稳定的产品贮藏温度,以此来保证产品品质。
表 10 第三方物流配送与自提模式下各组产品 pH、TBA 值、TVB-N 值和菌落总数
Table 10 pH, TBA values, TVB-N values, and total bacterial count of each group of products under third-party logistics delivery and self-extraction modes

2.6.3 TBA 值变化
由表 10 可知,两种模式下样品的 TBA 值均随物流时间的延长而增加。对照组CK1 组在整个过程中表现出更低的 TBA 值,说明温度波动可能会加剧脂肪氧化作用。温度波动促进冰晶的生长,这对排骨的微观结构造成严重的破坏,进而促进脂质的氧化过程。且温度的升高会加速脂质氧化,这解释了为何 SL3 组经物流的配送温度后产品的 TBA 值要显著高于 SL1 组和 SL2 组。这一结果与潘捷等发现在冷链运输过程中低盐腌制鲟鱼的 TBA 值随时间延长而不断增高,且在较高的冷链运输组中观察到最高的 TBA 值的结果相一致。
2.6.4 TVB-N 值变化
TVB-N 值是评价肉制品在冷链流通过程中新鲜度的指标。该模式下产品TVB-N 值的变化如表 10 所示。各组产品 TVB-N值随贮存运输时间的延长呈上升趋势,在仓储、物流阶段,产品 TVB-N 值增长趋势较为平缓;在配送阶段,各组 TVB-N 值明显升高,均显著高于 CK1 组(P<0.05)。模拟冷链过程结束后,LL2 组和 SL3 组样品 TVB-N 值分别由初始的 2.55 mg/100 g 增长至 2.89、2.85 mg/100 g。可见,TVB-N 值的持续上升与温度波动有关。温度波动会增强微生物增殖和酶促反应,促进排骨中的蛋白质降解,并导致含氮物质升高。Chen 等也在模拟冷链物流中观察到温度波动组的大黄鱼片的 TVB-N 值水平显著高于对照组(P<0.05)。
2.6.5 菌落总数值变化
各阶段样品中菌落总数见表 10,可看出始终在−18 ℃ 冻藏条件下的对照组菌落总数一直处于较低水平。而各处理组菌落总数随着贮运时间的延长和温度波动次数的增加而逐渐上升,组间差异显著(P<0.05)。由于预制汤类产品仍处于起步阶段,除 T/ZSSP 0005-2021《方便食品(速食汤、羹)》针对某些致病菌设定了具体要求外,目前尚缺乏专门针对预制汤类产品设定菌落总数指标的相关标准数值。GB 2726-2016《食品安全国家标准 熟肉制品》规定熟肉制品中菌落总数可接受水平限量值为 1×104 CFU/g,各处理组菌落总数均在该范围内。较低的贮运温度能够通过影响细胞内水分状态,进而改变细胞液浓度及生化反应来抑制微生物生长,甚至死亡,延长保质期。这提示在速冻产品冷链运输过程需持续保持低冻藏温度以确保微生物安全。
2.6.6 第三方物流配送与自提模式下电子舌测定结果和感官评分变化
图 5 为第三方物流配送与自提模式下各处理组电子舌测定结果主成分分析图。由图可知,PC1 的贡献率为 85.3%,PC2 的贡献率为8.5%,PC1 的贡献率远远高于 PC2。PC1 和 PC2 的总贡献率为 93.8%,说明 PC1 和 PC2 能够代表样品总体信息。CK1 组的滋味明显区别于其他 5 组样品,表明该模式下产品在运输过程中的温度波动会对样品滋味产生显著影响。从第二主成分来看,LL1、LL2 两组样品能与 SL1、SL2、SL3 有效区分开来,表明第三方物流配送+自提模式下长、短距离运输会对产品滋味产生不同影响。而 SL1、SL2、SL3 相对聚集,说明三者滋味相近,采用电子舌难以将它们进行有效区分,要结合感官评价进一步分析。

图 5 第三方物流配送与自提模式下各组样品电子舌 PCA 图
Fig.5 PCA diagram of electronic tongues for each group of samples under third-party logistics delivery and self pickup mode
各组样品经复热后的感官评分结果如图 6 所示,5 组样品经过不同温度波动处理后在色泽、质地、滋味和风味上都发生了一定程度的变化。从综合得分来看,最低为 LL2 组(74.5 分),最高为 SL1组(84 分)。在短距离运输组中,4 ℃ 配送温度处理SL3 组综合得分低于 SL1、SL2 组,这提示了自提商家需要提供稳定的冻藏环境以确保产品质量。

图 6 第三方物流配送与自提模式下各组样品感官评价
Fig.6 Sensory evaluation of each group of samples under third party logistics delivery and self pickup mode
本研究通过单因素及响应面试验优化确定骨汤最佳熬煮工艺:熬煮时间 145 min、熬煮压力 50 kPa、料液比 1:3,在此条件下熬煮的骨汤鲜香味浓、口感醇厚、汤汁清亮透明。在确定基础配方的基础上,进行正交试验得到胡萝卜玉米排骨汤的最适调味料添加量:食盐 1.4 g、白砂糖 1 g、味精 0.3 g(以骨汤 200 g计),此调味配方下产品在复热后汤汁风味纯正且浓郁,可接受度最高。此外,以恒定−18 ℃ 温度条件为对照,模拟了经第三方物流配送与自提模式对胡萝卜玉米排骨汤品质的影响,长、短距离运输均导致产品品质下降,包括复热损失率提高、脂肪氧化程度加剧、菌落总数增加、口感变差。其中,长距离 LL2 组和短距离 SL3 组因配送期间给予 4 ℃ 处理以模拟消费者自提温度,品质尤为不佳。本研究为预制胡萝卜玉米排骨汤的生产工艺及在冷链物流中的品质控制提供了一定的理论基础和实践参考。但产品包材的选择、在冷链过程中对风味组成及含量的影响、控制品质裂变的措施等都有待深入研究。
引用本文:陆佳欣,任唯兆,任婧楠,等. 预制胡萝卜玉米排骨汤工艺优化与模拟冷链物流中的品质变化[J]. 食品工业科技,2025,46(16):249−259. doi: 10.13386/j.issn1002-0306.2024090064.
Citation: LU Jiaxin, REN Weizhao, REN Jingnan, et al. Optimization of Prepared Carrot Corn Rib Soup and Simulation of Quality Changes in Cold Chain Logistics[J]. Science and Technology of Food Industry, 2025, 46(16): 249−259. (in Chinese with English abstract). doi: 10.13386/j.issn1002-0306.2024090064.
基金项目:中式菜肴速冻预制品绿色制造关键技术与装备开发及示范(IRIFH202219)。
范刚,男,工学博士,教授,博士生导师。主要承担《食品工艺学》、《食品工艺学实验》、《食品添加剂》、《饮料工艺学》等课程的教学工作,主要从事果蔬加工技术理论和风味化学方面的研究,入选武汉市“晨光人才计划”和武汉市黄陂区“木兰英才计划”。担任湖北省柑橘加工工程技术研究中心副主任,环境食品学教育部重点实验室固定研究人员,湖北省食品安全标准审评委员会委员,国家自然科学基金评审专家,《轻工学报》编委,《华中农业大学学报》青年编委,Frontiers in Microbiology和Frontiers in Nutrition期刊客座副主编(Guest Associate Editor)。主持国家自然科学基金、国家科技支撑计划子课题及其他各类课题20余项。Journal of Agricultural and Food Chemistry、LWT-Food Science and Technology(Outstanding reviewer)、Food Chemistry、Ultrasonics Sonochemistry、Process Biochemistry等期刊稿件评审专家。已发表学术研究论文80余篇,其中第一作者和通讯作者发表SCI及EI收录论文40余篇,教改论文3篇。获湖北省科技进步一等奖1项,获湖北省技术发明一等奖1项,获湖北省自然科学优秀学术论文一等奖1项,获神农中华农业科技奖三等奖1项,作为第一完成人经湖北省科技厅鉴定科技成果2项,以第一完成人授权国家发明专利4项,并担任湖北省和武汉市科技特派员。
或登录www.spgykj.com阅览全文。
群聊:食品工业科技作者群
我刊正式组建微信作者群,为作者提供更多的学术与论文资讯,如需进群,请联系刘老师(微信:上方二维码,电话:87244117-8062)。
《食品工业科技》具有以上论文在全世界范围内的复制权、发行权、翻译权、汇编权、广播权、表演权、信息网络传播权、转许可权及以上权利的邻接权,且作者已授权期刊同论文著作权保护期。如需转载,可联系《食品工业科技》编辑部010-87244116,或直接在文末撰写转载来源。