EI收录,
入选中国科技期刊卓越行动计划
西北农林科技大学葡萄酒学院、神农智华生物科技(山西)有限公司、杨凌职业技术学院、西北农林科技大学食品学科与工程学院的王悦,张帆,王淑娟,薛雯,马婷婷、房玉林、孙翔宇等人主要介绍了黑果腺肋花楸的特性和应用,以及不同酿酒酵母对黑果腺肋花楸复合果酒品质影响的研究目的。主要包括以下几点:1. 黑果腺肋花楸原产于北美洲,具有丰富的营养成分和多种保健潜力。2. 黑果腺肋花楸果实味道酸涩,不适合鲜食,但适合加工成果酒等产品。3. 陕西地区苹果和梨资源丰富,可作为黑果腺肋花楸复合果酒的优质原料。4. 市面上黑果腺肋花楸果酒生产工艺尚不成熟,研发复合果酒有助于丰富风味和拓展品类。5. 研究选取了酵母EC1118、F15、71B、2323和我国本土酵母CECA,探究不同发酵剂和原料组合对果酒品质的影响。6. 研究采用多维度指标对果酒品质进行评价,旨在完善黑果腺肋花楸复合果酒工艺流程,为实际生产提供数据参考。
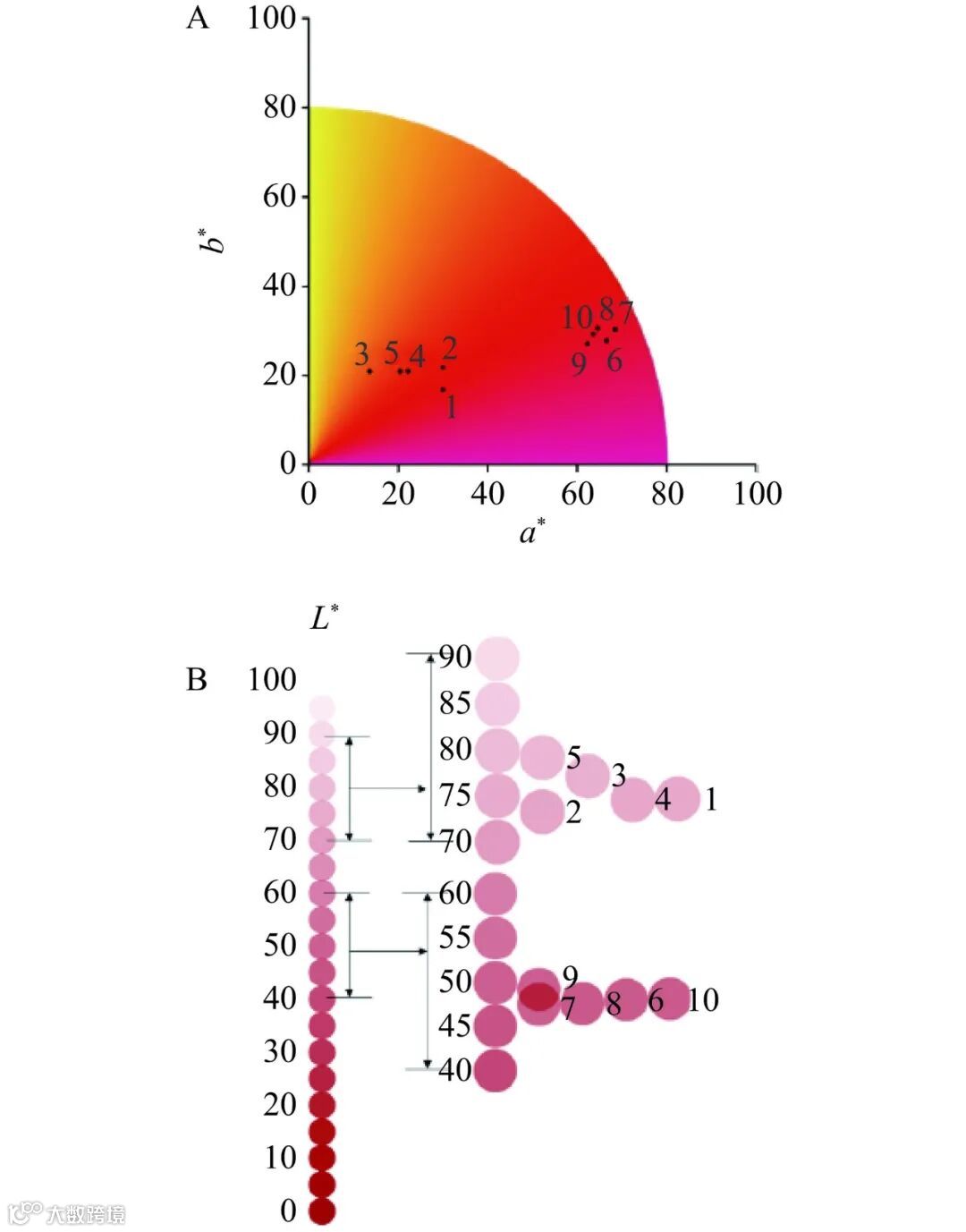
本章节主要分析了不同酿酒酵母对黑果腺肋花楸复合果酒品质的影响。研究发现,不同酵母发酵原料组合A复合果酒中,CECA和EC1118的还原糖含量显著低于其他酵母组,而酒精度则显著高于其他酵母组。原料组合B和2323发酵复合果酒还原糖显著低于CECA、EC1118和71B,EC1118组酒精度最高。原料组合B平均酒精度比原料组合A高约0.55%vol,EC1118酵母在两种原料组合下发酵性能最佳。总酸含量方面,原料组合A和酵母71B组总酸含量显著较低,原料组合B总酸平均含量略高于原料组合A。总酚含量方面,原料组合A发酵复合果酒中,CECA和F15组总酚含量显著较高,原料组合B所有发酵组总酚含量均显著高于原料组合A果酒。总花色苷含量方面,原料组合B平均总花色苷含量达265.27 mg/L,约为原料组合A平均总花色苷含量的4.86倍。缩合单宁含量方面,原料组合B缩合单宁平均含量高于原料组合A平均含量,且约为其6.04倍。有机酸方面,不同酵母发酵复合果酒之间有机酸单体含量和各类有机酸比例具有较大差异。黑果腺肋花楸复合果酒中共检测到17种单体酚物质,原料组合B复合果酒中非类黄酮类单体酚物质总量最高。抗氧化能力方面,原料组合B各组复合果酒DPPH和FRAP抗氧化能力均显著高于原料组合A,EC1118酵母两种方式表征的抗氧化能力均显著高于其他酵母。挥发性物质方面,原料组合B的复合果酒挥发性物质比原料组合A发酵更为复杂,这可能代表原料组合B发酵复合果酒具有更为复杂的香气特征。颜色参数方面,不同原料组合和不同酵母均对复合果酒的颜色参数产生影响,其中不同的原料组合影响更显著。感官评价方面,原料组合B复合果酒在香气的纯正度、浓度和质量上均高于原料组合A,原料组合B复合果酒感官得分更高,品评质量更高。
表 2 黑果腺肋花楸复合果酒基础理化指标
Table 2 Physicochemical indexes of Aronia melanocarpa compound wine
注:不同小写字母表示同一原料组合不同酵母之间的差异显著性(P<0.05),表3同。
图 1 黑果腺肋花楸复合果酒生物活性成分含量
Figure 1. Contents of bioactive compounds of Aronia melanocarpa compound wine
注:不同大写字母表示相同酵母发酵下不同原料黑果腺肋花楸复合果酒存在显著差异,P<0.05;不同小写字母表示不同酵母发酵下相同原料黑果腺肋花楸复合果酒之间存在显著差异,P<0.05,图2同。
表 3 黑果腺肋花楸复合果酒单体酚含量(mg/L)
Table 3 Contents of monomeric phenols of Aronia melanocarpa compound wine (mg/L)
图 2 黑果腺肋花楸复合果酒抗氧化能力
Figure 2. Antioxidant capacity of Aronia melanocarpa compound wine
表 4 黑果腺肋花楸复合果酒挥发性物质含量
Table 4 Contents of volatile compounds of Aronia melanocarpa compound wine
注:“−”表示未检出。
注:样品点1~5分别为原料组合A经由酵母CECA、EC1118、F15、71B、2323发酵的复合果酒;样品点6~10分别为原料组合B经由酵母CECA、EC1118、F15、71B、2323发酵的复合果酒。
表 5 黑果腺肋花楸复合果酒感官评价得分
Table 5 Sensory scores of Aronia melanocarpa compound wine
本章节指出,通过不同原料组合和酵母发酵得到的黑果腺肋花楸复合果酒样品中,带皮发酵的果酒酸类物质含量较高,不同酵母发酵的果酒总酸含量有显著差异。原料组合B中,酵母2323发酵的总酸含量最高。复合果酒中检测出多种有机酸和单体酚物质,其中草酸和苹果酸为主要有机酸,原料组合B中单体酚物质含量更高。不同酵母发酵对单体酚含量有显著影响。酵母2323发酵的果酒抗氧化能力较低。原料组合和酵母对果酒颜色参数有影响,原料组合影响更显著。综合感官质量评分中,以果实为主的原料组合B经酵母CECA发酵的果酒评分最高。研究建议进一步探究原料比例等工艺参数对果酒品质的影响。
引用本文:王悦,张帆,王淑娟,等. 不同酿酒酵母对黑果腺肋花楸复合果酒品质的影响[J]. 食品工业科技,2025,46(14):33−44. doi: 10.13386/j.issn1002-0306.2024100070.
Citation:WANG Yue, ZHANG Fan, WANG Shujuan, et al. Effects of Different Saccharomyces cerevisiae on the Quality of Compound Fruit Wine of Aronia melanocarpa[J]. Science and Technology of Food Industry, 2025, 46(14): 33−44. (in Chinese with English abstract). doi: 10.13386/j.issn1002-0306.2024100070.
基金项目:陕西省重点研发计划(2024NC-BSLD-01,2024ZY-JCYJ-02-09,2024NC-ZDCYL-04-22-02);宁夏重点研发计划(2024BBF02003,2023BCF01024);杨凌职业技术学院2024年科技创新项目(ZK24-42)。
通信作者简介

孙翔宇,食品科学博士、园艺学博士后,教授/博导,现任西北农林科技大学葡萄酒学院副院长、西北农林科技大学成果与知识产权处副处长、农业农村部酿酒葡萄加工重点实验室副主任、陕西省特色果品定向设计加工工程技术研究中心副主任。先后承担/入选陕西省杰出青年科学基金项目、陕西省三秦英才特殊支持计划青年拔尖人才、陕西省创新人才攀登工程“中青年科技创新领军人才”、陕西省创新人才攀登工程“青年科技新星”、陕西省秦创原“科学家+工程师”队伍首席科学家、陕西省三区人才等。荣获陕西省高等教育教学成果特等奖(排名2)、陕西省科学技术进步一等奖(排名2)、陕西省农业技术推广成果一等奖(排名3)、陕西省学位与研究生教育学会研究生教育成果奖(特等奖)(排名3)、中国轻工业联合会科学技术二等奖(排名5)、大北农科技二等奖(排名2)、宁夏回族自治区科学技术进步三等奖(排名4)各1项。
(以上信息来自西北农林科技大学葡萄酒学院官网)
各位专家学者:
为推动食品科学领域的知识经验交流,促进食品产业的创新发展,2025第三届食品科学家论坛及产学研交流大会、2025宁夏食品科学论坛暨《食品工业科技》与 Food Innovation and Advances 编委会会议将于2025年8月4-6日在银川召开。本次论坛将以“荟聚食品英才,共创美好未来”为主题,旨在为食品科学家提供交流平台,加强技术交流和创新能力融合。
本届论坛拟邀请食品科学领域研究机构的多位专家学者,围绕基础研究领域的前沿进展、产业发展最新动态,展开深入的学术交流与探讨。同时,我们将就未来的合作和交流平台建设进行对话,总结经验、传播知识、思考未来,共同推动食品科技创新和可持续发展。
食品科学家是推动食品学科发展、产业进步的中坚力量,而青年科学家是重要力量。本次论坛诚挚邀请国内外各大院校、科研院所、食品企业等专家共同参与,期待食品科学家、青年科学家、博士研究生、硕士研究生积极提交研究成果,分享研究心得,共同推动食品学科的发展。本届论坛不仅为国内外食品学科领域的交流与合作提供了平台,也将为食品期刊、食品饮料企业、仪器商提供展览、展示。Food Junction:2025第三届食品科学家论坛及产学研交流大会期待与您相约“塞上江南”——银川。
点击链接进行报告/参会注册:2025第三届食品科学家论坛及产学研交流大会、2025宁夏食品科学论坛暨食品工业科技与FIA编委会会议——回执表.docx
点击链接下载邀请函:邀请函—2025第三届食品科学家论坛及产学研交流大会.pdf
食品科学家论文汇总
(点击专家姓名,查看论文)













《食品工业科技》特邀主编专栏征稿
《食品工业科技》特邀主编专栏征稿:果蔬基料制造:基础理论,新型加工、质量控制与智能制造☚
《食品工业科技》特邀主编专栏征稿:
群聊:食品工业科技作者群

温
馨
提
示

我刊正式组建微信作者群,为作者提供更多的学术与论文资讯,如需进群,请联系刘老师(微信:上方二维码,电话:87244117-8062)。

版权声明









