文章导读
基于二维范德华异质结构的高性能红外自供电光电探测器
自供电光电探测是解决偏置电压下红外光电探测器暗电流大的有效方法。迄今为止,高性能红外自供电光电探测器(ISPDs)大多基于由二维和三维材料组成的异质结构,而基于二维/二维异质结构的ISPDs很少。通过对典型二维过渡金属二硫属化合物(TMD)构成的二维/二维范德华(vdWs)异质结构的研究,发现PdSe2/MoTe2异质结构是一种高性能的ISPD。该器件在300-1550 nm,甚至4050 nm范围内具有良好的自供电宽带探测能力,特别是在980 nm近红外照明下,其响应率和探测率分别接近395 mAW−1和1.92×1011 Jones,可与高性能的2D/3D ISPDs相媲美。
研究背景
红外光电探测器由于其穿透性好、抗干扰能力强等特点,在通信、军事等许多重要领域得到了广泛的应用。从传统的3DHgCdTe和InGaAs到最近的2D材料和各种异质结构,有许多材料被用于构建红外光电探测器。与可见光和紫外光电探测器中的材料相比,红外光电探测器中的材料都是窄带隙材料。因此,在偏置电压下红外器件中存在高暗电流。不幸的是,迄今为止大多数红外光电探测器需要外部偏置来驱动。这是最近高性能红外光电探测的一个大的内在问题。
使用自供电光电材料是解决高暗电流问题的有效方法。在某种意义上,自供电光电材料类似于太阳能电池中的材料。两者在光照下都会产生内置电场,可以作为偏置电压。因此,自供电光电探测器可以在没有外部偏压的情况下工作。通常,可以通过一些本征效应(例如体光伏效应和界面效应)来诱导内建电场,以产生和分离电荷载流子。如果红外光电探测器由自供电材料制成,它不仅避免了在外部偏置下的高暗电流,而且更加便携和节能。相应地,红外自供电光电探测器(ISPD)最近引起了广泛关注。
研究内容
图1. a)由异质结构PdSe2/MoTe2和电极制成的光电探测器的示意图; b)异质结构PdSe2/MoTe2的光学图像; c)PdSe2、PdSe2/MoTe2和MoTe2的拉曼光谱; d,e)异质结构中MoTe2和PdSe2的AFM台阶高度分布
图1展示了2D/2D异质结构PdSe2/MoTe2及其结构参数,图1a展示了光电探测器的示意图,其中异质结构PdSe2/MoTe2通过两个电极连接。PdSe2和MoTe2的原子结构如图1a。图1b展示了通过干法转移技术制备的PdSe2/MoTe2异质结构及其完整器件的光学图像。PdSe2垂直堆叠在MoTe2表面,该异质结构的两端与镀有Cr/Au(5/50 nm)的电极形成接触。图1c展示了PdSe2、PdSe2/MoTe2异质结构和MoTe2的拉曼光谱。其中,PdSe2在147.1、207.9、224.8和258.7 cm-1处呈现四个特征峰,分别对应Ag1、Ag2、B1g1和Ag3;而MoTe2的Ag1和E2g1特征峰分别位于174.3和234.1 cm-1处。这些特征峰位与已有文献报道高度吻合。在该异质结构的拉曼光谱中,可以同时观察到PdSe2和MoTe2的特征峰,这证明构建异质结构后两种材料均未发生结构变化。通过原子力显微镜(AFM)表征(图1d,e)显示,MoTe2和PdSe2的厚度分别为22 nm和56 nm。分析表明该异质结构表面均匀、界面清晰且形貌平整。
图1(b)中二维晶体堆叠是通过在精密转移平台系统(Metatest,E1系列)内采用全干转移技术制备的。
迈塔光电E1系列多功能二维材料转移实验平台可实现低维材料转移精确定点转移、多层范德华异质结制备,是研究异质结特性、空间反演对称性破缺、以及二维材料不同堆叠方式、魔角超导的有力工具。适用于石墨烯、硫化钼、黑磷等单层材料,范德华异质结,扭曲魔角异质结,纳米线/片,电极阵列等,以及5-100um的微小样品。
欢迎通过文末联系方式与我们了解更多设备详情~
图2. a)MoS2、MoSe2和MoTe2的吸收光谱; b)PdSe2、PdSe2/MoS2、PdSe2/MoSe2和PdSe2/MoTe2的吸收光谱
光学吸收能力是光电探测器的关键性能指标。我们对比了三种二维钼基材料(MoS2、MoSe2和MoTe2)的光学吸收特性(图2a)。研究发现,这些材料在长波紫外和可见光区域均表现出良好的吸收性能,但在红外区域存在显著差异:MoS₂在红外区无吸收;MoSe2在近红外区(<900 nm)具有部分吸收;而MoTe2的吸收能力最强,其吸收范围可延伸至1500 nm。因此,在这三种钼基材料中,MoTe2是最佳的红外吸收材料。这一结果与密度泛函理论(DFT)计算结果相符。图2b中的黑色曲线展示了二维PdSe2样品的光学吸收特性,其吸收范围虽可达到1500 nm,但在900 nm以上的吸收强度相对较弱。
图2b展示了PdSe2/MoS2、PdSe2/MoSe2和PdSe2/MoTe2三种异质结构的光学吸收特性。正如预期,PdSe2/MoTe2异质结构在红外区域表现出最优异的吸收性能:其吸收范围可延伸至1500 nm且吸收强度良好,这继承了MoTe2的红外吸收特性。相比之下,另外两种异质结构(PdSe2/MoS2和PdSe2/MoSe2)仅在900 nm以下波长区域表现出强吸收特征,这主要受PdSe2自身吸收能力的限制。根据图2b的吸收光谱分析可知,PdSe2/MoTe2异质结构是红外光电探测的最佳选择。
图2中的针对2D材料异质结的各个区域的进行吸收光谱测试,可以通过南京迈塔光电科技有限公司开发的 “ MStarter ABS 深紫外-近红外显微吸收光谱测试系统 ” 完成测试。
MStarter ABS 深紫外-近红外显微吸收光谱测试系统
欢迎通过文末联系方式与我们了解更多设备详情~
图3. 范德华异质结构的功函数差异与能带排列。a-c)PdSe2/MoS2、PdSe2/MoSe2和PdSe2/MoTe2的表面电势分布图。插图:各异质结构的开尔文探针力显微镜图像,其中白线表示测试路径。d)PdSe2/MoS2、PdSe2/MoSe2和PdSe2/MoTe2三种异质结构的能带排列示意图。
对于自供电光电探测器而言,需要构建内建电场,而异质结构中的内建电场取决于功函数、能带排列等因素。因此,需要通过实验手段确认这些参数。
二维材料的功函数采用紫外光电子能谱(UPS)进行测试。如图S9(支持信息)所示,测试结果表明PdSe2、MoS2、MoSe2和MoTe2的功函数分别为4.28、4.21、4.15和4.54 eV。因此,三种异质结构PdSe2/MoS2、PdSe2/MoSe2和PdSe2/MoTe2的功函数差分别约为0.07、0.13和0.26 eV。同时,利用开尔文探针力显微镜(KPFM)验证了三种异质结构的表面电势差,结果如图3a-c所示,与UPS测试结果一致。这表明PdSe2/MoTe2异质结构的功函数差最大,为形成更强的内建电场提供了天然优势。
为确定三种异质结构的能带排列,我们通过紫外光电子能谱(UPS)测量了二维材料的价带顶。图S9结果显示,PdSe2、MoS2、MoSe2和MoTe2的价带顶分别位于0.39、1.1、1.05和0.21 eV处。基于这些二维材料的价带位置、功函数及表面电势差,我们绘制了其能带结构示意图(图3d)。当这些二维材料形成异质结构时,PdSe2/MoTe2呈现II型能带排列,而PdSe2/MoS2和PdSe2/MoSe2则为I型能带排列。该实验结果与密度泛函理论(DFT)的模拟预测结果一致(参见图S10)。众所周知,II型能带排列更有利于电子-空穴对的产生与分离,从而能更有效地形成内建电场。
图4. 异质结器件PdSe/MoX2(X=S、Se和Te)的光响应随光波长的变化。a)异质结器件中的光电流(Iph)。b)异质结器件的响应度(R)。
图4a展示了PdSe2/MoS2、PdSe2/MoSe2和PdSe2/MoTe2器件在0 V偏压下的光电流(Iph)随光波长的变化,其中Iph是光照下的电流(Ilight)与黑暗中的电流(Idark)之差。可以发现,PdSe2/MoS2和PdSe2/MoSe2的光响应较弱,且它们的光响应范围也相对较窄(<1000 nm)。然而,PdSe2/MoTe2的光响应非常强,尤其是在红外区域。最大的Ilight可达20 nA。其光响应不仅在近红外区域较强,还能延伸至中红外区域(如4050 nm)。在图4b中,我们进一步对比了这三种异质结的响应度(R),其中R=Iph/(P×A)(A和P分别代表器件有效面积和光功率密度)。显然,PdSe2/MoTe2异质结具有更宽且更强的响应度,从可见光到中红外区域均有表现。在近红外波长980nm处,响应度(R)的值最大。PdSe2/MoS2、PdSe2/MoSe2和PdSe2/MoTe2器件的时间分辨光响应(Iph-T)曲线如图S11所示。
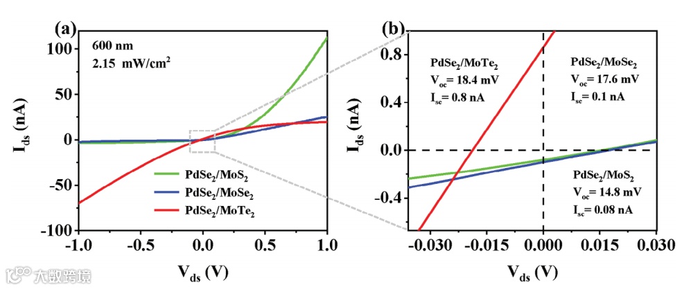
图5. a)在600 nm光照且功率密度为2.15 mWcm-2条件下,由PdSe2/MoS2、PdSe2/MoSe2和PdSe2/MoTe2制成的器件的源漏电流--源漏电压(Ids-Vds)曲线。b)为a)中≈0V处的Ids-Vds曲线放大图。
图5a中,我们对比了器件在600 nm、功率密度P=2.15 mW・cm-2光照下的源漏电流-电压(Ids-Vds)曲线。Ids和Vds分别代表器件两个电极之间的电流和偏压。器件中观察到明显的整流效应,正/负偏压下的电流远小于负/正偏压下的电流。这些表明三种异质结由于其功函数差异都存在内建电场。在图5b中,通过放大图5a中≈0V处的Ids-Vds曲线,我们对比了三种器件的开路电压(VOC)和短路电流(ISC)。可以发现,PdSe2/MoTe2的VOC大于PdSe2/MoS2和PdSe2/MoSe2的VOC,这是因为前者的功函数差异大于后两者。同时,PdSe2/MoTe2的ISC远大于另外两种器件的ISC。这可归因于PdSe2/MoTe2异质结为II型能带排列。在II型异质结中,它具有分离电子-空穴对和减少载流子复合的天然优势。此外,我们还对比了PdSe2/MoS2(110.92cm2・V-1・s-1)、PdSe2/MoSe2(115.20cm2・V-1・s-1)和PdSe2/MoTe2(134.89cm2・V-1・s-1)的载流子迁移率(详情见图S12)。因此,由PdSe2/MoTe2制成的器件在这三种器件中表现出最佳的自供能红外光响应。
图6. PdSe2/MoTe2器件在980nm光照下的光响应特性。a)不同功率密度(P)下器件的源漏电流-源漏电压(Ids-Vds)曲线。b)(a)中0V偏压附近的Ids-Vds曲线放大图。c)0V偏压下不同功率密度(P)时器件的光电流-时间(Iph-T)曲线。d)0V偏压下光电流(Iph)与功率密度(P)的关系图。e)0V偏压下器件的响应度(R)和探测率(D*)曲线。f)980nm光照下PdSe2/MoTe2器件在自供能模式下的响应时间。
图6研究了PdSe2/MoTe2在980nm处的自供能光响应,图6a呈现了器件在不同功率密度(0.35–25.10mW・cm-2)下的源漏电流-电压(Ids-Vds)曲线。Idark和Ilight都随偏压增大而增大,且Ilight随功率密度增大而增大。这意味着器件在更高的功率密度下会产生更多的载流子。图6b展示了零偏压附近Ids-Vds曲线的放大图。在0V时,存在光电流Ilight,而暗电流Idark为零,表明该器件具有光伏特性。当功率密度为25.10 mW・cm-2时,器件的开路电压(VOC)为22.3mV,短路电流(ISC)为13.9 nA。图6c显示了PdSe2/MoTe2器件在不同功率密度下的时间分辨光响应(Iph-T)曲线。Iph始终保持稳定,与功率密度无关。计算得出Iph与功率密度之间的关系为Iph正比于Pα。
图S13 (a)文献报道的红外自供电光探测器的响应性与本工作的比较。(b)自供电模式下PdSe2/MoTe2器件的电流噪声密度谱。
图S14 光电探测器的循环稳定性测试。
图6e分别展示了R和D*(D*=R√A/√(2eIdark))的变化情况。这些结果优于已报道的高性能二维/三维和二维/二维红外自供能光电探测器,如WS2/Si、MoTe2/Si、PtSe2/GaAs和T-MoSe2/GeSe/Bi2MoSe2等(见支持信息图S13a)。我们还测试了器件在自供能模式下的噪声电流谱,如S13b所示,这表明该器件具有出色的弱光信号检测能力。器件的上升时间和下降时间分别为337和267μs,如图6f所示。对器件进行的稳定性测试(见支持信息图S14)显示,经过8000次循环后,Iph仍保持稳定模式,没有任何衰减。
图7. a)在980nm光照下,器件在0V偏压时的扫描光电流分布图。b)在980nm光照下,器件在0V偏压时的能带图。c)异质结的差分电荷密度图,其中黄色和绿色区域分别代表正电荷和负电荷。
图S17 (a)在980纳米的照明下,对PdSe2/MoTe2器件在0V偏压下的扫描光电流绘图。(b)在0V偏压(980nm)下,光学功率密度为25.10mW・cm-2时,PdSe2/MoTe2器件的“JSU”图像传感结果。
图7a展示了自供能器件中光电流的空间分布。光电流几乎完全分布在两种二维材料MoTe2的重叠区域。以及PdSe处,这进一步证明了光伏效应在器件中的电子-空穴传输中起主导作用。如图7b所示,在光照条件下,光生电子-空穴对会被内建电场(Ebi)分离,随后向相反方向移动,相应地,无需外部偏压就能产生光电流。图c理论计算得出了PdSe2/MoTe2异质结的电荷密度差。
成像系统的示意图如图S17a(支持信息)所示,其中,一块掩模板(“JSU”)被放置在光源和器件之间。通过移动掩模板,我们收集每个像素对应的光电流和暗电流,然后将它们组合成一幅图像,以生成对比度映射图。图S17b展示了该器件在980nm光照下的成像效果。
该文章中的图5.6.7以及支持材料中的s13,s14和s17。对该器件进行了变波长光电流及响应率测试,转移输出测试,变光强I-T测试,功率依赖测试,暗噪声测试,循环稳定性测试,以及光电流mapping及成像测试。南京迈塔光电科技有限公司开发的 “ ScanPro Advance 高分辨高速多物理量扫描综合测试系统 ” 在一套设备上可进行以上的所有测试。
ScanPro Advance 高分辨高速多物理量扫描综合测试系统
欢迎通过文末联系方式与我们了解更多设备详情~
原文链接
High-Performance Infrared Self-Powered Photodetector Based on 2D Van der Waals Heterostructures
https://doi.org/10.1002/adfm.202421525
咨询电话:17766428931
迈塔光电售前及测试专员(微信同号)

