
本文针对某型光电跟踪测量吊舱设计实现了一整套高速影像采集存储系统。该系统光学镜头针对飞行试验典型目标设计,具有很好的目标辨识能力,同时根据图像质量的反馈实现了自动调焦功能。针对前端相机产生的高速数据流设计实现了对应的实时存储系统。
作者信息:谷东格,男,工程师,中国飞行试验研究院,主要研究方向为光电测试技术。
航空基金项目:2015ZD30002 单光电经纬仪六维外部参数测量方法研究
由于高速摄影可以瞬间采集大量的目标图像(每秒采集图像数百帧甚至数千帧),这样目标在短时间内的运动或变化可以通过这些采集到的图像展现在人们面前,以便研究分析。因此高速影像采集系统在众多领域得到了广泛的应用,如爆破过程观测【1】、流体动力学观测【2】以及风沙颗粒移动观测【3】等。本文描述的高速影像采集存储系统是针对某型光电跟踪测量吊舱观测空中高机动目标设计的。文中首先详细介绍了该系统的组成与工作过程,随后针对图像采集系统的关键部件-光学镜头设计进行了系统介绍。最后设计实现了针对高速图像流的高速存储组件。
1
系统组成及其工作流程

高速成像系统主要由高速机芯组件、连续变焦光学镜头及电路板组件组成,系统组成见图1。
高速机芯组件具有高分辨率、高帧频、高灵敏度、体积小、重量轻等特点,最高输出帧频可达到285fps。
设计10倍连续变焦光学镜头,可根据目标距离和大小调节合适的视场进行观测。具有调节光圈和焦距的功能,可根据场景调节光圈大小,控制焦距保证成像清晰。高速摄像头可通过Camera link口的CC1、CC2管脚命令完成外触发工作,时间延迟小于1s。
存储组件可通过曝光算法对图像进行判断,在曝光不足或过度的情况下选择调节电子快门时间和镜头光圈。光圈调节信号通过通讯控制组件转发给镜头控制板,光圈和CCD电子快门配合完成照度自适应功能;同时实时存储前端高速相机产生的高速图像数据流。
自动调焦控制板接收摄像机视频信号,与通讯控制板完成通讯,进而通过电源控制板控制镜头的直流电机完成变倍和调焦;电源控制板对机上电源进行处理。调焦分为电动调焦和自动调焦两种模式。在使用过程中,操作人员可随时根据图像效果进行人在环路中的电动调焦。当目标场景变化较大时或进行采集存储前,可选择一键式自动调焦,使图像自动达到清晰状态。自动调焦控制板接收自动调焦命令的同时接收视频信号,通过自动调焦算法处理图像信息,发出相应的调焦命令控制调焦电机,根据返回的图像质量判断调焦效果,反复迭代,在6s内完成调焦。通过控制前组镜头调节范围,可实现物距在200m~∞可调;自动调焦控制板判断图像清晰度,实现自动调焦,自动调焦时间≤6s;
镜头具有上电自检功能,也能通过接收通讯板指令完成自检功能。
2
光学镜头的设计
光学镜头是高速摄像机的重要部件,设计结果直接影响成像质量以及对典型目标的识别能力。
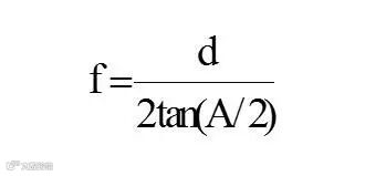
视场 根据指标要求,光学镜头的焦距为50mm~500mm,对选定的摄像头,其像面尺寸为13.57mm×13.68mm,则根据下式:
(1)
其中d为靶面尺寸,A为视场。计算得出视场变化范围为15.46°×15.58°~1.55°×1.57°。
全视场21.8°~2.2°。
目标识别能力 像素大小为8μm,最长焦距为500mm,则其最小空间分辨率为0.016mrad,满足目标飞机识别要求。
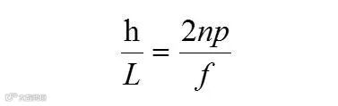
典型应用分析 跟踪拍摄高机动目标时主要选用高速摄像机。根据公式2
(2)
其中h为目标尺寸,L为目标距离,n为像元数,p为像元大小,f为光学镜头焦距。
观察弹射座椅大小为(1.5m×1m),不同距离下成像大小见表1(此处假定为焦距500mm)。
表1弹射座椅与镜头实际距离与成像大小的关系

观察导弹(4m×0.2m),不同距离下成像大小见表2。
表2导弹与镜头实际距离与成像大小的关系

(3)镜头设计高速相机成像系统设计结果如表3所示:

3
高速存储部件设计与实现
高速图像采集存储组件主要用于实时采集、存储前端高速摄像机输出的8位黑白数字图像数据,同时为后端的视频图像跟踪组件提供高速原始数据流,并接收、解析通讯控制组件发送的指令及执行相应的操作。
高速存储组件原理框图如图2所示。高速存储组件主要由主控板和固态存储卡两部分组成。主控板主要实现高速数据的采集、存储管理、通讯控制、数据输出、千兆以太网下载等功能,固态存储卡实现大容量存储。

高速存储组件主要由主控板和固态存储卡两部分组成。主控板主要实现高速数据的采集、存储管理、通讯控制、数据输出、千兆以太网下载等功能,固态存储卡实现大容量存储。
高速摄像机采用Camera Link接口输出8位黑白图像数据。主控板通过Camera Link接口芯片接收高速摄像机输出的图像数据,并通过缓存将原始图像数据分为二路,一路通过Camera Link接口输出给后端的视频图像跟踪组件,一路经存储管理模块(FPGA、DSP、SDRAM联合构成)送到SATA控制器中,通过SATA接口写入固态存储卡。
通讯控制组件发送的飞行参数、平台参数等信息经过RS422传输至主控板,主控板将接收到的信息以文件形式存入SDRAM中。同步脉冲信号用于实现高速图像采集存储组件与其他组件之间的高精度同步工作,也便于图像数据存储与飞行参数存储之间建立对应关系。在飞行任务完成后分析数据时,固态存储卡上的数据通过千兆以太网模块(FPGA、MCU联合构成)下载到地面PC机
数据缓冲设计 高速数据采集具有数据吞吐率高的特点,要求系统在短时间内能够传输并存储采集结果。因此,采集数据的快速存储能力和容量是制约系统速度和容许采集时间的主要因素之一。选择大容量SDRAM作为采集数据存储器可以提高缓存容量和适配高输入速度。外扩大容量SDRAM实现了FPGA内部乒乓FIFO的逻辑功能,保证输入数据不被丢弃。图3为FPGA内部实现数据输入缓冲功能的逻辑框图。
FPGA内部集成了输入数据处理模块、输出数据处理模块和3个内部构建的FIFO。其中,2个FIFO组成乒乓输入数据缓存器,另一个FIFO作为数据输出缓存器。当输入数据处理模块接收到高速数据后,在DSP的控制下FIFO_A、FIFO_B以乒乓切换的方式写入数据,并且在向其中一个FIFO写数据时,将另一个FIFO的数据经DSP写入SDRAM进行缓存。当DSP接到向FIFO_C写数据命令时,DSP把SDRAM中的数据读出并写入输出FIFO_C缓存器,经输出数据处理模块传输至SATA控制器。DSP通过中断信号实现各FIFO之间的切换。

固态存储卡设计 固态存储卡主要由FPGA和NAND FLASH阵列构成。FPGA是控制核心,负责完成复杂的时序逻辑设计,其内置存储RAM可以缓存一定量的数据;NAND FLASH阵列用来存储图像数据(本系统存储速率与存储容量的需求如下)。
存储速率:分辨率帧频位数=128010242008bit=250MB/s
为了避免系统始终工作在极限速率的情况下,在设计时按最大速率300MB/s来考虑。
存储容量:存储速度存储时间=300MB/s6020360GB
本系统选用的NAND FLASH芯片持续写入速度可达20 MB/s。
本系统采用一个固态存储卡上排列16片FLASH芯片并行工作的方式。即FLASH芯片的持续写入速度仅有18.75MB/s,固态存储卡的存储速度就达到300MB/s,总容量为512GB。存储速度与存储容量上均有富裕,满足系统要求。
千兆以太网下载 在吊舱完成飞行之后,对飞行过程中记录的各种数据要进行分析、处理,此时需将固态存储卡上的数据下载到PC机。
本系统采用单片机与FPGA联合完成千兆以太网数据传输下载。单片机负责实现uIP协议的成功移植,FPGA负责控制传输图像数据,传输流程见图4。

在进行数据传输时,先由MCU(单片机微处理器)将基于uIP协议栈制作好的的TCP/IP协议包头数据传给FPGA,FPGA再将从前端读取的图像数据和TCP/IP协议包头数据按照规定好的数据格式在其内部指定的缓存空间整合成一帧完整的网络数据包并交给MAC(网络传输控制器),MAC的主要功能是在两个相邻终端间的线路上实现无差错地传输网络数据包,MAC按照RGMII(简化的千兆以太网独立接口)协议将数据包传给PHY(物理接口收发器),最后经网口RJ45完成一帧图像数据的下载。
接收上位机下载指令时,指令传输过程经网口、PHY和MAC到FPGA,由FPGA中转到MCU解包,然后由MCU执行指令或将数据交给FPGA执行相应指令。
本方案设计的有效下载速率可达400Mbps,对于大约150GB的存储数据,下载时间约为1小时。
4
结语
本文设计实现了一套完整的高速图像采集存储系统,该系统安装于某光电跟踪测量吊舱,在实际飞行试验中已经得到了很好的验证,取得了较好的摄影测量效果。


《中国科技信息》杂志公众号推出“科创百人”封面人物,报道对科技创新与科技转化做出显著贡献企业创新家、发明家、科研工作者、投资家,传播他们的个人事迹或品牌故事,引起社会广泛关注,营造科技创新氛围,塑造科技领军人物。

人物推荐、咨询合作事宜请联系
电话:13699204203或微信id:liangdianshenghuo
1元精品微课推荐
《做一颗有品牌的土豆》
点击识别下图中二维码,直接进入课程在线聆听


长按二维码,关注我们!
《中国科技信息》杂志社 主管单位:中国科学技术协会 主办单位:中国科技新闻学会 国内统一刊号:CN11-2739/N 邮发代号:82-415 在线投稿平台:www.cnkjxx.com 投稿电话:010-68003056/57/58
投稿、寻求报道、内容合作,请联系微信:liangdianshenghuo
杂志收录情况:
《中国知网》
《中国期刊核心期刊(遴选)数据库》
《中国学术期刊综合评价数据库(CAJCED)统计源期刊》《中国期刊全文数据库(CJFD)》
《中国科协、中国图书馆学会(解读科学发展观推荐书目)》

