导 读
近日,南京大学现代工程与应用科学学院夏可宇肖敏与日本理化学所Franco Nori 教授开展紧密国际合作,理论揭示了手性非线性光学可以突破动态互易限制实现光隔离。相关成果以“Cavity-free optical isolators and circulators using a chiral cross-kerr nonlinearity”为题,于2018年11月14日正式发表在《Physical Review Letters》期刊上【PRL 121, 203602(2018)】。
麦克斯韦方程描述光的互易传输。从其导出的洛伦兹互易定理决定了普通光学介质和系统中光的传播是可逆的。光非互易传输指光沿一个方向通过光学系统或者介质后的特性与其反方向通过后的特性不同。光非互易传输既有基础科学意义,又在光通信、光学系统稳定和光信息处理领域有重要应用,是光隔离器的物理基础。光隔离器是一种只允许光单向通过的光器件,作用是将反射光与入射光通路隔离开。传统光隔离器主要利用法拉第旋光效应,通过在磁光介质中施加强磁场改变其中传输的光的偏振来实现,其尺寸大,需要强磁场而难以集成。探索无磁光隔离新原理和新技术是光非互易研究的前沿,可以用于集成光路。很多方案往往需要工作在极低温环境。光学非线性一度被作为可以用于实现可集成的光隔离,但是最近研究发现非线性光隔离存在动态互易限制,即不能给隔离弱信号。
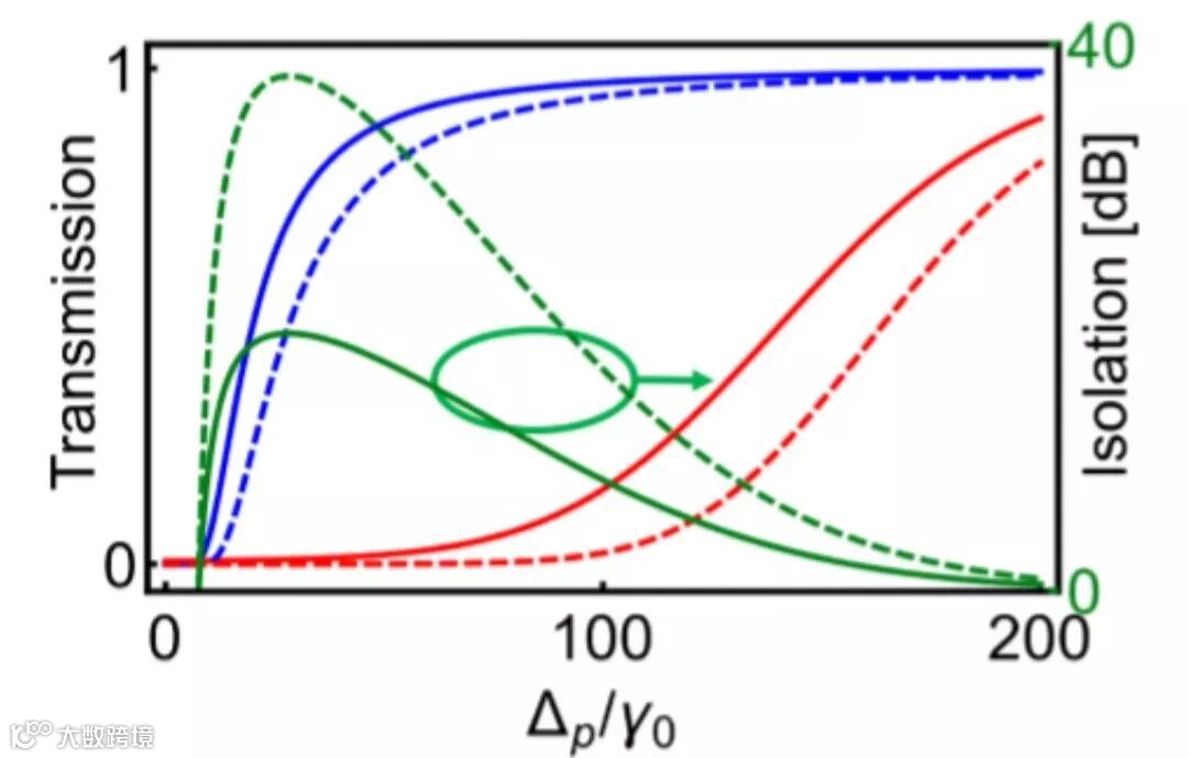
在这项工作中,夏可宇教授等创造性地提出构建手性非线性光波导实现光非互易和光隔离,突破了非线性光隔离中动态互易限制。在一个空心光波导如空心光子晶体光纤中充入常温铷原子气体,利用一束控制激光诱导弱信号光手性克尔非线性。铷原子气体在一维光波导中存在随机热运动,当信号光与控制光同向传输时感受到相同多普勒效应,当它们反向时感受到相反的多普勒效应。结果,弱信号光在原子中传播时控制场对信号光的交叉非线性调制与其传播方向有关,即光学非线性是手性的。信号光沿两个相反方向通过光波导后的吸收和相位都可以相差很大。只用一根这样的非线性波导,光可以从左往右透过波导但是从右往左传播的光被几乎完全吸收,从而构成了一个光隔离器,透过率可在60MHz范围相差1000倍。如果把这根非线性光波导与一根普通光波导组合成一个马赫——曾德干涉仪,就可以利用手性相位调制实现光环形器,理论预测保真度可达90%同时附加损耗低于1.6dB。基于此原理设计的光隔离器将能够工作在常温,结构简单,易于集成,不需要高品质光学微腔,并适用于单光子隔离器和环形器。

(a)光学隔离器和环形器结构示意图;
(b)用于诱导手性克尔非线性的N型原子能级图。


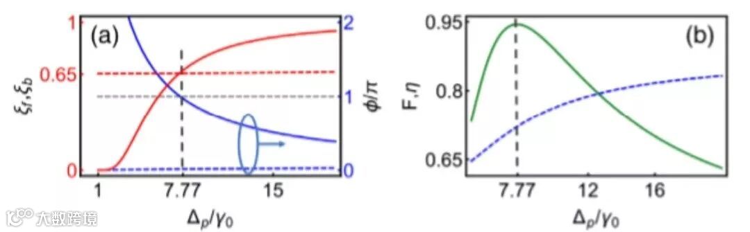
(a)相移和透射幅度;
(b)保真度和附加损耗。

文章链接
https://journals.aps.org/prl/pdf/10.1103/PhysRevLett.121.203602
(doi:10.1103/PhysRevLett.121.203602)
友情提示:点击下面“阅读原文”即可转到原文地址查看原文
编辑推荐


两江科技评论
精彩回顾
3. 威斯康星大学-麦迪逊分校和斯坦福大学研发新型光电探测器
4. 南大Nat. Photonics:激光“雕刻”3D非线性光子晶体
5. 科技快讯 |非互易光隔离器件:利用高速旋转的谐振腔实现光的不可逆传输
两江科技评论编辑部

免责声明:本文旨在传递更多科研信息及分享,提供志同道合者的交流平台。如涉及侵权,请联系下方邮箱,我们将及时进行修改或删除。转载请注明出处,如原创内容转载需授权,请联系下方微信号。
邮箱:zunzun@imeta-center.com
微信号:18796017560


