

导 读
近日,葡萄牙里斯本大学Mário G. Silveirinha副教授证明了光子陈数可以理解为光子绝缘体腔中的光角动量的量化。对于比较大的腔体,当离散谱可以近似为连续谱时,热涨落所引起的角动量在体态的带隙中被精确地量化。光角动量的非平庸期望值是由于封闭轨道中的热能循环引起的。这一结果可以扩展到非拓扑分类的系统,且在这种情况下,角动量密度的“量子化”是由腔壁所支持的单向边界态的陈数所确定。研究成果以“Quantized angular momentum in topological optical systems”为题,发表在近期的《Nature Communication》上。
近年来,拓扑物质和拓扑效应分别在电子学、光子学和声学等领域引起了人们极大的研究兴趣。拓扑材料可以实现波的传播免受传播路径的变形、尖角或缺陷所引起的背向反射的影响。因此,拓扑系统可以实现更有效的光传输,并避免由于背向反射造成不必要的反馈和损耗。目前,人们已经在理论与实验上证实了Sb2Te3、Bi2Se3 和Bi2Te3等拓扑绝缘体材料,但只有时间反演对称性破缺的光学系统才能提供鲁棒的拓扑保护。在这样的系统中,陈数表征为非互易光子系统的拓扑相。但与电子系统不同的是,光子的陈数没有明确的物理意义,只不过它决定了在镜向对称平庸界面上可传播的单向边界态的个数。
研究人员证明了在具有非透明型边界的通用光子绝缘子腔中,热涨落所引起的角动量在光子带隙中具有量子化的角动量。量子化的谱密度取决于腔壁单向边界态的净个数,以每单位面积的
,
coth
为单位量子化。通过将环绕空腔壁的光耦合到定向耦合器,并检测耦合器不同的臂所感知到的能量之间的不平衡量,可以在实验上验证非平庸波动所引起的角动量。研究人员认为将陈数解释为角动量谱密度的量子化,可以帮助人们更加深入地理解拓扑在光子系统中的作用。
图1 通用“光子绝缘体”腔的几何形状

封闭的电磁波谐振腔在某些光谱范围内不支持体态(“光子绝缘体”)。 侧壁最终可以使边界态电磁波在边界处传播。 热涨落所引起的光通常具有非平庸角动量L的特征,对于足够大的空腔,其带隙中具有量子化的谱密度。
图二 体态和边界态的色散

图三 拓扑腔的边界模式

a)第一个(低频)带隙中的模式l = 8(沿逆时针方向传播)和(b)第二(高频)带隙中的模式l = -5(沿顺时针方向传播)。
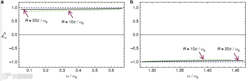
图四 角动量谱密度与频率的函数关系图

归一化角动量谱密度
描绘为圆柱形腔的(a)第一带隙和(b)第二带隙。 当R→∞时,角动量密度变得量子化(蓝色虚线)。
图五 波动引起的角动量
与温度的函数关系图

圆柱形腔的半径R >> c/ωp,等离子体频率为(a)ωp /2π = 1 THz,(b)ωp /2π= 10 THz。 回旋频率为ωc = 0.8ωp; 蓝色实线:第1(低频)带隙的贡献; 点划线绿线:第二(高频)带隙的贡献; 虚线黑线:两个带隙的综合贡献。
图六 微波频率下的实验装置

拓扑光子晶体填充金属腔(由磁棒形成的光子晶体),并通过顶部金属板上的多个孔连接到波导耦合器。定向耦合器可设计如下,对于逆时针(顺时针)的热能流,耦合信号主要传输到端口B(端口A)。未示出腔的前壁和定向耦合器的前壁以便结构内部的可视化。
文章链接
http://advances.sciencemag.org/content/5/1/eaat1451
编辑推荐

长按二维码
关注我们吧
精彩回顾
两江科技评论编辑部

免责声明:本文旨在传递更多科研信息及分享,提供志同道合者的交流平台。如涉及侵权,请联系下方邮箱,我们将及时进行修改或删除。转载请注明出处,如原创内容转载需授权,请联系下方微信号。
邮箱:janechou@imeta-center.com
微信号:Jessica_2313 、18796017560

