

物理学的一个根本任务是探索、理解和归纳我们所处世界(宏观世界和微观世界)的物质组成及其运动和演化规律。根据现有的经验和知识,构成世界的基本物质单元是原子及其内部的质子、中子、电子、夸克等基本粒子,以及沟通和联系这些物质粒子的光子、中微子等辐射场粒子。描述和理解宏观物体运动的基本工具是牛顿力学,而描述和理解微观粒子运动的基本工具则是量子力学,两者均为人类文明史和科学史上的伟大丰碑。
量子力学是20世纪人类三大科学成就之一,在过去的100多年里,取得了巨大的成功。但是,自其诞生开始,许多基本概念一直存在着争议。二十世纪二、三十年代,以玻尔、海森堡、伯恩、泡利等为代表的哥本哈根学派阵营和以爱因斯坦、薛定谔、德布罗意等为代表的反对派阵营就量子力学的基本概念及物理基础问题展开了激烈的交锋,结果以哥本哈根学派大获全胜而告终,形成了对量子力学的哥本哈根标准诠释,作为正统而传承至今。但是,直至今天,争论仍然没有终结,有很多学者对量子力学的概念基础问题前仆后继地开展了许多艰难而执着的探索。若干代表性的成就包括三十年代爱因斯坦等提出的EPR量子纠缠粒子对概念以及薛定谔提出的“薛定谔猫”佯谬,五十年代波姆(David Bohm)提出的隐变量(hidden variables)理论,六十年代贝尔不等式(Bell’s inequality)的提出和随后几十年持续不断的实验验证,七十年代惠勒(John Wheeler)提出的“延迟选择实验”(delayed-choice experiments),八十年代Marlan Scully提出的量子擦除(quantum eraser)概念,以及最近几年国际和国内几个小组提出并实验验证的微观粒子可处于波动性和粒子性量子叠加态的概念,等等。这些艰难探索大大丰富了量子力学的概念范畴。与此同时,物理学界为了从实验上证实或者证否这些概念而发展了各种先进的实验探测技术,不断取得突破性的革新和进展。在量子物理学、量子光学、原子物理学、量子调控技术高度发达的今天,波粒二象性、互补原理等量子力学基础概念不仅是哲学问题,还是可以严格检验的科学问题。不过,虽然实验技术大踏步的进步,目前人们对微观粒子运动行为的理解仍然没有突破正统的哥本哈根诠释的范畴。
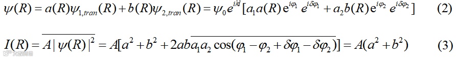
在量子力学的哥本哈根解释的概念体系中,波粒二象性原理居于中心的地位。这个原理指出,微观粒子(包括有质量的粒子,如原子、分子、电子、质子、中子等,以及无质量的粒子,如光子等)具有波粒二象性,它们有时表现为粒子性(有确定的路径,但不产生干涉条纹),有时表现为波动性(没有确定的路径,但产生干涉条纹),依赖于观察者如何去观测它们的运动行为,但是不可能同时表现出波动性和粒子性。在过去的近百年期间,波粒二象性原理一直被奉为经典,不可逾越,即原则上(不仅仅是实际上,而且是理论上)不可能找到任何方法或者技术能够同时观测到微观粒子的波动性和粒子性。确实,至今为止,没有人在实验上做到这一点。在量子力学发展的早期阶段,即爱因斯坦-玻尔大辩论的20世纪20-30年代,人们普遍认为波粒二象性由海森堡不确定性关系支配。到了20世纪80-90年代,不少学者提出了一些特别的基于量子光学和原子物理方法的原子干涉仪设计方案,它们对粒子路径和干涉条纹的探测不受海森堡不确定性关系的约束,但是两者之间的量子纠缠仍然保证微观粒子遵循波粒二象性原理。原子干涉仪里面量子纠缠概念的应用和延伸也导致量子物理学界提出了许多象“延迟选择”和“量子擦除”这样的大大违背人们直觉的物理概念,其影响也扩散到社会上,为“时空穿越”、“现在的选择决定历史的演化”等等当代科幻和玄幻小说以及穿越剧所热衷采用的时髦话题提供了科学支撑。从哲学范畴上说,这些激进的概念和思想从根本上抛弃了微观世界存在着客观实在(physical reality)这一唯物主义的哲学认识,它们的影响力不仅局限于物理学领域,还扩展到更加广泛的社会科学和哲学领域,乃至文学和艺术创作领域。
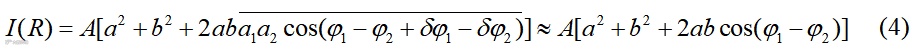
标准的量子力学理论体系涵盖两大组成部分,一个组成部分是量子力学的操作体系,包括薛定谔方程(对于光子而言,为麦克斯韦方程组),哈密顿量,波函数及其几率描述,物理作用量及其测量结果的几率平均等基本要素。这一套操作体系历经无数次的考验被证明是对微观世界运动规律的精确而卓有成效的描述,其正确性是为包括哥本哈根正统诠释的赞成派和反对派在内的所有人所公认而完全没有歧义的。另外一个组成部分是量子力学的物理基础,主要涉及波函数的物理诠释,以及波函数的几率描述是否对微观世界做出了完备而终极的描述,是否背后存在更深刻的不为人知的物理规律,而波粒二象性则是其核心物理概念。对这些基础概念问题的理解,一百年来科学界存在着重大的分歧和争议,相信这也是量子力学进一步发展最有可能获得突破的方向。
波粒二象性的检验问题是一个高度抽象的物理问题,千丝万缕,迷雾重重,很难诠释清楚,导致著名的物理学家费曼宣称它是“量子力学中一个真正的奥秘”,也因此“没有几个人能够真正地懂量子力学”。李志远教授自1999年开始对微观粒子的波粒二象性和EPR量子纠缠态等量子力学基本概念问题产生了浓厚的兴趣,20年来一直在业余时间断断续续地思考这些困难而重要的基本物理问题。最近几年,他对波粒二象性问题的思考获得了一系列的进展,对该基本的物理问题有了系统性的崭新认识。有别于传统的哲学思辨方法,李志远教授意识到要想对量子力学的基本概念基础问题做进一步的分析,正确的做法是只运用量子力学公认正确的操作规则,而不能把有争议的概念解释,如波粒二象性和互补原理等作为讨论问题的出发点。
如何将波粒二象性的检验问题放在标准的量子力学理论框架内进行定量的物理分析呢?一条简单而可行的逻辑方法是:先承认久经考验、无歧义的量子力学操作规范体系也适用于光子和原子干涉仪,然后严格求解薛定谔方程,获得波函数演化的精确解,进一步分析微观粒子的粒子信息和波动信息,定量计算路径可辨识度D和干涉条纹可见度V的数值,最后给出干涉仪的运转结果是遵循还是违背标准的波粒二象性原理。按照这样的逻辑推理、理论分析和数值计算的规则和方法,李志远教授于2014年将多年来的思考结果整理成论文,发表在Z. Y. Li, Chin. Phys. B 23, 110309(2014)上,对检验波粒二象性的杨氏双缝干涉仪和马赫-曾德双臂干涉仪做了初步的分析,为破解波粒二象性这个量子物理的概念难题找到了突破口。
2016年李志远教授继续运用量子力学操作体系对著名的Wheeler延迟选择实验进行分析和计算。图1的马赫-曾德干涉仪包含两个分束器BS1和BS2,当BS2插入光路的时候,两个探测器 X和Y可观测到随两臂光程差呈周期性变化的信号,显示了微观粒子的波动性,但是此时粒子沿干涉仪的哪个臂传输(即路径信息,反映了粒子性)完全不可知。当从光路中去除BS2时,粒子沿哪个臂传播的信息可完全确定,但是探测器的信号为恒定值,失去了粒子的波动性信息。简单的分析可看出,干涉仪的这两种构架或者只能观测到粒子的波动性,或者只能观测到粒子的粒子性,但是不能同时看到两种属性,这便是对微观粒子波粒二象性的直观解释。量子力学的激进派如Wheeler等人认为BS2的构架(插入与否)决定了微观粒子的波动性或者粒子性的命运,据此演绎出了各种违反直觉的“延迟选择”概念,即人类现在的选择可以决定甚至改变微观粒子过去业已发生的命运(运动行为)。虽然在哲学上这样的思辨和演绎是激进甚至接近于荒谬,但是在正统量子物理的语系里面有好像又是自然而合理的,因而拥趸者众多,曾经掀起过量子物理基础问题的研究热潮。
李志远教授意识到从量子力学的标准操作规则来说,波函数的演化是唯一可以根据薛定谔方程预测的事情。光子和其他微观粒子在图1所示的马赫-曾德干涉仪中运动时遵循如下的薛定谔方程:

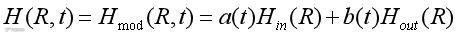
当今量子物理学界的主流观点认为,当干涉仪系统中的BS2为量子分束器时,系统的哈密顿量可简单写成
,
则体系的波函数为
。探测器X和Y的测量结果为表现为粒子性和波动性两种抽象量子态的线性叠加,此时微观粒子处于部分粒子态和部分波动态的量子叠加态上。这正是2011-2012间国际上几个有影响的理论和实验团队开展所谓“量子延迟选择实验”所获得的结论。作为对比,早期的量子物理学界观点认为,微观粒子要么处于完全的粒子态
,要么处于完全的波动态
,非此即彼。
然而,以上的分析有悖于日常经验。在实际实验中很难想象分束器BS2这个宏观物体会处于“进入状态” [
]和“出来状态”[
]的量子叠加态。为此,李志远教授在2016年的论文Z. Y. Li, Chin. Phys. Lett. 33, 080302 (2016)中提出了一个更加自然的物理解释:时间调制的哈密顿量模型。在此模型中,BS2处于“进入状态”和“出来状态”的时间调制状态中,即某一时刻处于“进入状态”,而另一时刻处于“出来状态”,两者在时间坐标上不能共同存在。数学上这样的状态可表达为
而相应的波函数为
,
即为粒子性和波动性两种抽象量子态的时间调制状态。以上两种模型的物理出发点不一样,物理图像及物理涵义也很不一样,但是,由它们计算得出的观测结果是一致的。这也验证了科学界熟知的一句话:同样的实验结果可以有不同的理论解释。更为重要的是,理论结果清晰地表明,基于这样的马赫-曾德干涉仪延迟选择实验方案是不可能同时观测到微观粒子的波动性和粒子性的,因为路径可辨识度和干涉条纹能见度满足条件
。那么有没有可能突破波粒二象性原理的局限性,使得
呢?
李志远教授进一步分析了波函数在马赫-曾德干涉仪的传播和演化过程,发现在两个粒子束的空间交叉位置,波函数将发生交叠,原则上应该产生干涉条纹。只不过这一简单的物理图像(初等的光学或者量子力学分析结果)在过去的很多年里被很多人完全忽略,视而不见。据此,他在论文Z. Y. Li, EPL 117, 50005 (2017)提出了如图2所示的新型弱测量干涉仪,将BS2用另外的一个干涉条纹弱测量装置(比如说利用弱散射技术和弱吸收技术,1%效率)予以代替,在获得高对比度的干涉条纹的同时,微观粒子可主要沿原始方向继续传播(99%的效率),被粒子探测器X和Y发现和记录。这一新型干涉仪利用两套测量仪器同时作用,互不干扰,原则上能够近乎完美地同时观测到微观粒子的波动性(
)和粒子性(
),
。这个简单的装置可应用于光子(可见光、X-ray, Gamma-ray)、电子、原子、分子,以及凝聚态物质里面的准粒子等等,关键是设计和制造出能够记录干涉条纹而同时又基本不改变粒子运动路径信息的弱测量探测器来。这个分析也进一步表明,图1的延迟选择实验原则上属于强测量干涉仪,探测粒子性的功能器件BS2对波函数产生了巨大的破坏性干扰,两套仪器互相排斥,彼此完全不兼容,因而不可能同时探测获得粒子性和波动性属性。
在这样的思想指引下,李志远教授于2018年进一步对历史上各种类型的用于检验波粒二象性的原子干涉仪做了系统性的量子力学分析,结果以21页长文发表于Z. Y. Li, Chin. Phys. B 28, 060301(2019)上。两种最为典型的原子干涉仪为杨氏双缝干涉仪和马赫-曾德干涉仪(如图3所示),它们是观测微观粒子(光子、电子、原子等)波动性的标准仪器,微观粒子通过双臂或者双缝后的波函数量子叠加,可在观测屏幕上自然地产生完美的干涉条纹。当人们进一步地当在狭缝的位置放置粒子路径探测器时,就有可能同时观测到粒子的波动性和粒子性两个属性。
历史上爱因斯坦、海森堡、费曼等分别提出的路径探测器方案直接作用于粒子的质心,受到海森堡位置-动量不确定性原理的制约,当它们观测微观粒子质心的传播路径(即通过哪个狭缝)的时候,对波函数将产生不可控制的干扰,显著破坏其相干性,使得记录屏上的干涉条纹完全消失。这些类型的路径探测器工作原理如图4(a)所示,称为强测量路径探测器,相应的原子干涉仪也称为强测量原子干涉仪。这些经典的装置完全遵守波粒二象性的限制,不能同时观测到微观粒子的波动性和粒子性。
1991年,Marlan Scully在论文Nature 351, 311(1991)中提出了一种新型的探测器----微波谐振腔(micromaser cavity)[如图4(b)],其不直接作用于原子的质心,而通过探测原子外层的电子能态(如高里德堡态
和
)之间发生跃迁时释放的微波光子而获得粒子的路径信息。同时,因为相互作用非常微弱,原子质心波函数基本不受影响。但是,Scully从波粒二象性和互补原理出发,认为干涉条纹应该消失,其根源为粒子路径探测器和干涉条纹探测器之间的量子纠缠,通过瞬间的超距信息关联维护了波粒二象性的成立。这种完全违背人类直觉的求解量子物理问题的思路直接导致了更加违背直觉的“量子擦除”概念的提出,即对路径探测器的所有操作,如信息的记录和擦除,都瞬间决定了远处干涉条纹记录屏幕上的干涉条纹出现与否,与延迟选择实验的逻辑推理有异曲同工之处。
1998年德国Rempe课题组在论文Nature 395, 33 (1998)中实验报道了利用布拉格光栅原子分束器来构造原子干涉仪,并实现所谓的量子纠缠保护的波粒二象性原理的实验验证。该实验装置的物理原理如图5所示,原子束为85Rb原子,包含三个外层电子态能级(原子内态,在文献中常常简称为原子态及原子能级),基态为近简并的两个超精细原子能级,
和
,它们之间可以通过与微波场相互作用实现特定量子叠加态的制备,另外,通过可见光波段光场和激发态
互相联系。该装置的关键部件是前后两个由一维驻波光晶格构成的原子分束器。光晶格具有周期光场
,能够对入射原子束产生有效势场
和有效作用力,从而产生有效的分束功能,同时还不破坏原子束原有的量子相干性。图5的原子干涉仪装置总体上等价于图3(b)所展示的马赫-曾德原子干涉仪。如图5(b)所示,当原子内态为
时,原子束A通过第一个光晶格分束器后,产生B和C两支原子束,再经过第二个光晶格分束器后,产生D和 E, F和 G两组四支原子束,它们两两在空间上发生重叠,产生完美的干涉条纹,同时,由于原子内态维持不变,因此无从分辨它们的路径信息。为了获得原子束的路径信息,采取如图5(c)所示的装置,前后加入两个微波束,控制原子束的内态,使得特定的内态确定性地布拉格衍射到特定的方向,这样原子传播的路径信息自动存储在原子的内态里面,使得路径信息可以辨识。但是,最终出射的原子束D和E,以及F和G分别处于在两个不同的内态
和
上。实验表明干涉条纹完全消失了。以上分析表明,图5(b)的装置可观测到原子的波动性(干涉条纹),却不能观测到原子的粒子性(路径信息), 而图5(c)的装置能观测到原子的粒子性(路径信息),却不能观测到原子的波动性(干涉条纹)。但是,无论哪种装置,都不可能同时观测到原子的粒子性和波动性,因此,很好地满足了波粒二象性原理。值得指出的是,在原子传播的过程中,无论是通过微波场,还是光晶格分束器,对原子束动量传递的无规则扰动及原子束相干性的破坏都是很小的,因此传统的海森堡不确定性原理不起作用,而路径信息与原子内态的确定性关联(被普遍地归类于量子纠缠效应)则保障了波粒二象性原理在此新型原子干涉仪上继续得以维持。
以上对历史上纷繁复杂的假想(gedanken)或真实(realistic)的原子干涉仪的构造、原理、功效及结果所做的简单介绍表明,波粒二象性原理这一处于量子力学哥本哈根正统诠释核心的物理概念似乎一切都很完美,无懈可击,是不需要探索、也不可能找到任何可能超出这一理论体系的新物理的。但是,仔细的阅读可以发现,迄今为止,量子物理学界并没有对这些原子干涉仪的全链条要素做出完整的、无缩减版的量子力学建模、计算、分析和推论。李志远教授在CPB 2019论文中试图完成这一艰巨的任务。他从薛定谔方程、哈密顿量、波函数等基本要素出发,建立合理的物理模型,进行量子力学求解。首先,确定原子干涉仪是一个量子散射或者传播问题,而不是量子本征态问题,因此必须计算求解出原子波函数的时空演化全过程,从入射波函数开始,跟踪其通过分束器、相移器、路径探测器等所有的原子光学器件所产生的变化,直至最后到达干涉条纹探测器。其次,原子是一个复合体系,包含原子质心和外层的电子,因此,必须同时考虑原子质心波函数和内部电子态的演化。再次,评价原子波粒二象性需瞄准原子质心,而不是其内部电子。因此,需分析、计算和测量原子质心的路径信息和干涉条纹,而不是内部电子的路径信息和干涉条纹,更不应该把路径探测器、干涉条纹探测器等外部器件牵扯进来。这些显而易见、公平合理的规则是不能任意改变的,也不能随心所欲地人为设定,这一点在做理论计算和实验测量的时候必须有清醒的认识,否则的话随意性太大,容易产生非物理甚至荒谬的理论和实验结果。
根据这样的物理认识,李志远教授在CPB 2019论文中根据路径探测器的构造及作用原理,划分为强测量和弱测量路径探测器,前者适用于早期的原子干涉仪,路径探测器直接作用于原子质心,以精确地获取其位置信息。引入相互作用哈密顿量
,总哈密顿量很简单,为
求解原子波函数的传播和演化,发现路径探测器对入射原子束的质心波函数的影响可通过引入随机相位偏移
予以简单而合理的描述。两条传播路径的波函数最后在干涉条纹观测屏幕上重叠,总波函数写为

这表明当路径探测器直接作用于原子的质心时,过强的相互作用导致很大的随机相移,破坏了两个路径传播波函数的量子相干叠加,使得干涉条纹完全消失。
另外一类路径探测器是弱测量探测器,包括上面介绍的微波微腔路径探测器和布拉格光栅路径探测器,它们通过与原子内部电子态的直接强测量作用[对原子质心而言是间接相互作用,用哈密顿量
描述获得确定性的路径信息。为了获得
的影响,有必要对涵盖原子-电子-探测器三者的相互作用体系进行全量子力学建模、分析和计算。对于图3(b)的微波微腔弱测量路径探测器而言,系统的哈密顿量为
,该问题可分解为两层次的量子物理问题。第一层次物理问题考虑路径探测器与原子里德堡电子态的相互作用,涉及微波光子和电子态的强耦合作用,是获得原子路径信息的关键环节,其哈密顿量为
。第二个层次物理为路径探测器的强测量对原子质心的干扰作用
计算表明,由于微波光子的能量远低于原子质心动能(5-6个数量级),则路径探测器中微波光子与电子的强测量作用对于原子质心波函数的扰动非常小,使得随机相移量
可忽略不计。则原子质心的干涉条纹表达式为

干涉条纹仍然存在。计算发现,该原子干涉仪的两个关键指标,路径可辨识度为
,条纹可见度为
,综合起来
远远超出了正统的波粒二象性原理所能允许的范围。
那么,学术界普遍认同的量子纠缠效应起什么样的作用呢?经仔细分析,这些文献采取了一个奇怪的物理模型,仅仅考虑原子通过路径探测器时原子-电子-探测器三者相互作用时的系统波函数为

将此波函数无限制、无原则地扩展,用于描述原子干涉仪系统波函数的全程时空演化。更为奇怪的是,该模型认为原子干涉条纹为
由于两个路径探测器的微波光子态
,
,互相正交,因此
,干涉条纹完全消失。因此,量子物理学界普遍相信是路径探测器与原子路径信息的量子纠缠使得干涉条纹消失,从而维持了波粒二象性原理。但是,公式(5)在实际操作上是将干涉条纹探测器信息与路径探测器信息人为地通过符合计数操作(本质上是数据分析和处理程序,而不是物理程序)予以关联。那么所得到的干涉条纹测量结果无形中已经包含了原子的路径信息了,即干涉条纹受到电子态跃迁信息或者粒子路径探测器演化信息的调制,因此,人为产生了非物理的量子纠缠和量子擦除现象。
CPB2019论文进一步对图5所示的布拉格光栅弱测量原子干涉仪进行了系统性的量子力学分析。该物理问题也分解为两个层次,第一个层次是分析路径探测器对原子内部电子态的强测量作用,第二个层次是分析强测量作用对原子质心波函数的影响和干扰,以及随机相移
的数量级。理论分析和计算结果表明,在开展实际观察和测量的实验室坐标系中,原子质心和内部电子态的波函数分别写成

在原子质心波函数演化中,已经考虑了路径测量等效应对波函数的影响,而电子波函数则考虑了电子随原子质心的外部运动以及其围绕原子质心的内部运动。如果仅仅考虑原子质心波函数在整个原子干涉仪中的演化,则其在获得确定性的路径信息(通过原子内态的辨识)时,
可以忽略不计,原子干涉条纹仍然近乎完美的存在。但是,如果不恰当地把原子干涉条纹等价于观测原子内部电子所产生的干涉条纹,则干涉条纹消失。因为路径探测器直接作用在电子上,是强测量,而对于原子质心而言是弱测量,干扰作用忽略不计。所以1998年Nature文章所宣称的量子纠缠效应是作用于原子内部电子态的波粒二象性观测上,而对于真正关心的原子波粒二象性的检验上,则不起作用。也就是说,原子内部的电子满足波粒二象性原理,而原子质心则违背了波粒二象性原理。理论分析结果表明,在此弱测量原子干涉仪装置上,只要采取正确的物理模型和分析方法,是可以近乎完美地同时观测到原子的波动性和粒子性的。
总而言之,李志远教授通过一系列的理论文章分析表明,按照目前量子光学、量子物理和原子物理测量技术的先进水平,是可能设计出包含两套正确的弱测量装置并以正确的方式协同作用,组成为弱测量光子和原子干涉仪,可同时观测到微观粒子的波动性和粒子性。这些理论分析完全基于初等量子力学的操作规则,完全没有引入额外的有争议的概念和工具。所做的是遵循客观、公正、不偏不倚的态度,对历史上若干赫赫有名的典型光子和原子干涉仪做透彻的量子力学建模、分析和推理。再老老实实按照求解量子物理问题的基本步骤:确定哈密顿量、初始条件、边界条件,求解薛定谔方程,确定波函数的最终演化形式,对包括原子、光子、电子、路径探测器、干涉条纹探测器在内的量子干涉仪全要素进行全面、客观、公正的时空量子演化行为的分析和计算,然后计算确定待观测的物理量(如表征波动性的干涉条纹对比度,表征粒子性的路径信息等)的数值。另外,理论分析也对实验研究提出了一个要求:所有的实验观测方法和步骤应该一一对照量子力学规则所给出的物理量如何正确和精确测量的理论方案,做到完全符合,才能够确保实验结果客观如实地反映物理实在。只有这样,才能够判断实验结果是否证实或者证否一个理论假说,否则的话,很容易发生差错而实验者自己并不知道。对于波粒二象性原理这样十分重要的量子力学和量子物理概念基础的问题,更加应该严格采取这样的“大胆假设,小心求证”的治学方法。希望这样的基础物理研究能够激发和促进更多的人对微观世界的量子物理规律做更加深入而细致的探索,从而对正统的量子力学理论体系是否是微观世界运动和演化规律的完备和终极描述这一基本物理问题给出新认识和新思路,进而也对微观世界是否存在着不以人的意志为转移的客观实在这一哲学命题给出崭新的认识和答案。

图1 基于马赫-曾德双臂干涉仪的延迟选择实验方案。分束器BS2可以以经典和量子可控的方式进入或者移出干涉仪的光路中,实现延迟选择的功能。

图2. 弱测量马赫-曾德光子干涉仪方案,利用弱吸收或者弱散射屏幕IS取代图1中的BS2,可在获得光子的完美干涉条纹的同时,基本上不改变光子的传播路径信息。因此,此弱测量干涉仪原则上可同时观测光子和其它粒子的波动性和粒子性属性。

图3. 用于微观粒子波粒二象性检验的(a)杨氏双缝干涉仪和(b)马赫-曾德双臂干涉仪,装置包含路径探测器和干涉条纹探测器。无数历史经验已经证明这些装置不可能同时观测到粒子的波动性和粒子性。

图4 (a)强测量路径探测器,通过与原子质心直接强耦合作用获得路径信息,作用强度过大,随机相移过大,严重破坏了原子束的相干性; (b)弱测量路径探测器,通过与原子内态强耦合作用获得路径信息,但是与质心的非直接作用强度可以很小,随机相移可忽略不计,原子束的相干性得以很好地维持。

图5. 布拉格光栅弱测量路径探测器原子干涉仪方案。光晶格布拉格光栅起到原子分束器的功能,而微波场起到制备原子特定基态、从而控制原子束布拉格衍射方向的功能。装置(b)可以观测原子的波动性,不能获得粒子性,而装置(c)可以观测原子的粒子性,不能获得波动性。
文章链接
DOI: 10.1088/1674-1056/28/6/060301
编辑推荐

长按二维码
关注我们吧

免责声明:本文旨在传递更多科研信息及分享,提供志同道合者的交流平台。如涉及侵权,请联系下方邮箱,我们将及时进行修改或删除。转载请注明出处,如原创内容转载需授权,请联系下方微信号。
邮箱:janechou@imeta-center.com
微信号:18305163023

