

导读
近日,上海理工大学光电学院庄松林院士团队、刘一教授课题组联合马德里技术大学,法国巴黎综合理工大学,利用时间分辨的光致荧光损耗方法,澄清了飞秒激光激发氮气分子荧光的物理机制,为氮气分子空气激光的优化提供了思路,成果以“Formation Dynamics of Excited Neutral Nitrogen Molecules inside Femtosecond Laser Filaments”为题发表在物理学顶级刊物Physical Review Letters。

作者:Danylo Rostyslav, 张翔,范政权,周冬杰,卢琦,周彬,梁青青,庄松林(上海理工大学);Aurelien Houard, Andre Mysyrowicz(法国巴黎综合理工大学);Eduardo Oliva(西班牙马德里技术大学);刘一(上海理工大学)
空气激光是近几年来超快光学领域的一个前沿热点课题。其利用空气作为激光增益介质,能够在远程大气中形成虚拟激光器,有望为光学远程探测提供全新概念的光源。该新概念光学有可能为大气污染探测,远程电磁场辐射测量,战场痕量气体检测等方面带来突破性提高。
在诸多空气激光方案中,基于氮气分子的空气激光在前向与背向均能够发射相干辐射,受到了研究人员的重视。然而,氮气分子如何被泵浦到受激辐射的上能级一直是个备受争议的问题。研究人员先后提出了解离复合机制,碰撞辅助的系间窜跃机制,以及电子碰撞机制等不同的解释。对于该物理机制理解的缺乏,限制了研究人员进一步提升和优化该方案的思路。
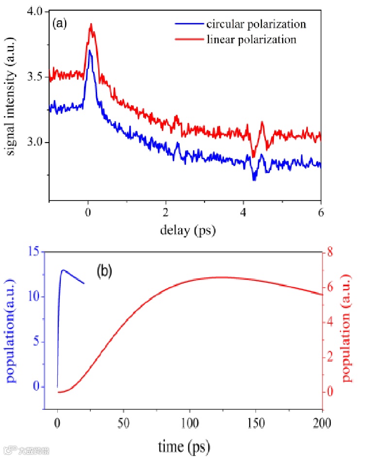
基于不同机制在时间维度的显著差异,刘一和其指导的博士生提出时间分辨的激光诱导荧光损耗方法(time-resolved laser induced fluorescence depletion)。该方法能够以飞秒时间分辨率对激发态氮气分子的形成和衰减过程进行实时观测,从而为判明该受激辐射的物理机制提供直接证据。实验中,利用一束波长为400 nm的探测光和波长800 nm的泵浦光共同作用于氮气分子(图1),研究人员监测氮气分子侧向荧光随泵浦-探测光延时的变化。在泵浦光的作用下,氮气等离子体发出明亮的荧光(图2(a))。注入探测光,氮气分子的荧光强度显著下降(图2(b)),这证实了探测光能够电离激发态氮气分子,从而为实现激发态分子浓度的时间分辨测量提供了基础。

图1. 时间分辨的受激荧光损耗方法。
随着泵浦-探测光延时的增加,研究组发现氮气分子波长为337.1 nm的荧光信号迅速下降,在5 ps时间尺度上到达极小值(图3(a))。该观测说明在大气条件下,激发态氮气分子在5 ps时间尺度上已经达到其浓度最大值。这一超快时间尺度的形成过程,利用解离复合机制和碰撞辅助的系间窜跃机制是无法解释的(图3(b)红色曲线)。基于电子碰撞机制的速率方程,则可以很好地复现该超快形成过程(图3(b)蓝色曲线)。课题组进一步对不同的泵浦激光偏振态,以及气压的作用进行了系统性测量。这些实验结果更加确认了该机制的主导作用。该研究成果澄清了飞秒激光激发空气等离子荧光的形成机制,不仅为这个长期以来备受争议的物理机制问题提供了清晰可靠的答案,也为空气激光性能的提升指明了可能的方向。

图2.飞秒激光在空气中形成的等离子体(上图)。在探测激光的作用下,氮气分子荧光强度受到损耗(下图)。

图3.(a)氮气分子337 nm荧光信号随泵浦-探测脉冲延时的变化。(b)基于速率方程的数值模拟结果。
上海理工大学光电学院乌克兰籍留学博士生Rostyslav Danylo和博士生张翔为该文的共同第一作者,刘一教授和西班牙马德里技术大学Eduardo Oliva教授为该文的共同通讯作者。该项研究得到了上海市教委高水平地方大学建设“超快非线性光学”重点团队建设计划,国家自然科学基金,上海市教委科研创新重大项目等的资助。
文章链接

https://journals.aps.org/prl/abstract/10.1103/PhysRevLett.123.243203
长按二维码
关注我们吧
免责声明:本文旨在传递更多科研信息及分享,如涉及侵权,请联系下方邮箱,我们将及时进行修改或删除。转载请注明出处,如原创内容转载需授权,请联系下方微信号。
邮箱:janechou@imeta-center.com
微信号:18305163023

