
本文构造了量子版本的卷积神经网络(quantum convolutional neural network)。作者利用量子幺正门构造了量子版本的卷积层,池化层和全连接层(convolution layers, pooling layers and fully connected layers),在对称性保护的拓扑态的判断上给予了精确的分类边界。同时,在完成相同置信度的分类时,量子卷积神经网络也给出了比弦序参量(string order parameters)更低的采样复杂度。在量子编码纠错的任务上,量子卷积神经网络超越了肖尔编码(Shor code)。同时,本文也讨论了量子神经网络理论基础及可能的实验实现方式。
原文标题:
Quantum convolutional neural networks
作者:Iris Cong, Soonwon Choi & Mikhail D. Lukin
翻译:深水鱼
来源:量子智能俱乐部
背 景
基于神经网络的机器学习已经在从图像识别到精细医疗等多个复杂的领域取得了显著的成功。然而,由于量子多体系统的指数级别的复杂度,直接将神经网络用于处理本征的量子物理问题是十分困难的。最近,量子信息处理器在实验上取得了瞩目的成功,并引领了利用量子计算机来提升传统机器学习任务表现的热潮。受到这些进展的激励,本文提出并分析了基于机器学习的量子线路模型——量子卷积神经网络,并展示了其解决量子多体问题的能力。该网络被用于实现量子态分类(quantum phase recognition)和量子纠错(quantum error correction)。
创新研究
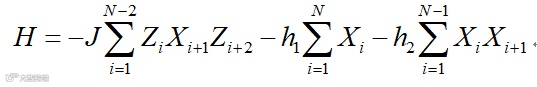
本文首先将量子卷积神经网络应用于量子态分类,用于实验的模型为一维开边界条件的自旋1/2 Haldane链,其哈密顿量为:
其中 Xi, Zi 为作用于自旋i的泡利算符, h1, h2 和 J 是哈密顿量的参数。该模型的基态在Haldane相中具有 Z2
× Z2 对称性, 这是由于:

图一:自旋1/2 Haldane链的基态相图,颜色变化代表量子卷积神经的分类结果,菱形点线代表密度矩阵重整化群(density matrix renormalization group)的数值模拟相边界。体系包含 N=45 个自旋。
利用量子卷积神经网络或弦序参量进行分类时,首先要准备多个被分类态的拷贝,之后多次测量卷积神经网络(或弦序参量测量算符)的输出,经过足够多次测量得到输出(测量值)平均值。为达到相同的分类置信度(95%),量子卷积神经网络和弦序参量需要最少的测量样本数如下图所示。
图二 所需最少的测量样本数

图二:不同参数下的采样复杂度。蓝色线条从浅到深为量子卷积层的深度d从1到4所需的采样复杂度,红色线条从浅到深为 N/2、N/3、N/5 和 N/6 的弦序参量需要的采样复杂度。灰色区域代表强有限尺寸效应的部分。模拟参数为 h1 = 0.5J, N=135。插图代表在 h2/J = 0.3918 时量子卷积神经网络减少采样复杂度的比例。
同时,本文利用量子卷积神经网络构造了量子编码-解码器来进行量子编码纠错,在存在双量子纠缠对错误时,该编码器的纠错能力高于肖尔编码,数值结果见下图。

图三:红线代表量子卷积神经网络纠错器,蓝线代表肖尔编码纠错效果,灰线代表无纠错结果。
由于肖尔编码只针对编码后的单量子比特错误进行纠正,在面对双量子比特纠缠对错误时,其纠错效果甚至低于无纠错结果。而本文的量子编码纠错器包含多量子比特纠错门,因此仍能够显著降低误码率。
模型细节
文章采取了类似于卷积神经网络的构造方式和多尺度纠缠重整化假设结构,如图所示:
图四:a图为标准卷积神经网络结构,其中C代表卷积层,P代表池化层,FC代表全连接层;b图为按列对应的量子卷积神经网络,其中U为准局域幺正矩阵,V为幺正旋转矩阵,F为幺正矩阵;c图为QCNN与MERA的对比。
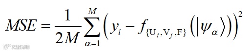
量子神经网络的优化是通过梯度更新算法最小化均方误差(mean squared error):
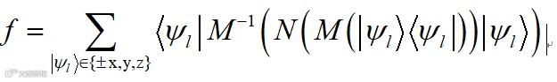
受益于量子卷积神经网络的多量子比特输入,少量子比特输出的结构,可将翻转前后的量子卷积神经网络分别作为量子解码器与编码器。利用翻转前后的两个量子卷积神经网络构造的量子编码纠错器结构如图五:
图五:最左端为输入量子态,Encoding部分为编码过程,decoding为解码部分,N为未知噪音,最右端为纠错输出。
量子编码纠错器进行梯度更新所采用的花费函数为:
本文也讨论了模型更新过程中的过拟合问题、幺正矩阵构造问题、初值问题、梯度选取办法和分层更新机制等技术细节。同时关于量子卷积神经网络的理论基础和在目前装置上的可能实现方式也在正文中讨论。更多细节可点击下方查看原文。
文献链接:
https://www.nature.com/articles/s41567-019-0648-8
文章来源:量子智能俱乐部

量子智能俱乐部
长按识别左侧二维码,关注我们吧,同时欢迎投稿。

长按二维码
关注我们吧


免责声明:本文旨在传递更多科研信息及分享,提供志同道合者的交流平台。如涉及侵权,请联系下方邮箱,我们将及时进行修改或删除。转载请注明出处,如原创内容转载需授权,请联系下方微信号。
邮箱:janechou@imeta-center.com
微信号:18305163023

