

有机无机钙钛矿具有非常优异的光电性质,如载流子迁移率高,发光强,光吸收系数高等,因此在太阳能电池、LED显示、低阈值激光器等领域有广泛的应用前景。钙钛矿的光电性质普遍被认为与其本身具有的高缺陷容忍率有关。在半导体中,缺陷形成的束缚激子、电子空穴形成的自由激子、以及晶格振动形成的声子,这些准粒子之间存在复杂的相互作用。这些相互作用的研究对理解钙钛矿的缺陷容忍率并提高其光电性质有重要意义。目前钙钛矿材料中准粒子的研究主要集中在自由激子及其与声子的相互作用,而束缚激子则只有一些简单的观测结果,其与声子、自由激子之间的相互作用机制尚未有深入的研究。

图1 (a) NH3CH3PbBr3纳米线结构示意图 (b)激子能级示意图 (c)纳米线的SEM形貌图 (d)不同功率下的多声子荧光光谱,自由激子、束缚激子及其声子伴线都能清晰的分辨出来 (e) 纳米线荧光光谱的偏振响应。
近日,中国科学院物理研究所许秀来课题组与金奎娟研究员及北京理工大学钟海政教授等合作,在Laser & Photonics Reviews上发表文章(DOI: 10.1002/lpor.201900267),介绍了在钙钛矿中束缚激子与声子的相互作用,及其对该材料缺陷容忍率的重要影响。

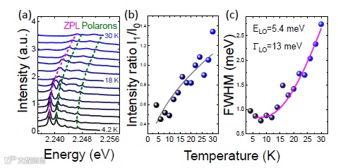
图2 (a)纳米线荧光光谱的温度响应 (b)零声子线与高能声子伴线的强度比随温度的变化 (c)零声子线的线宽随温度的响应。
钙钛矿材料由于本身具有[PbBr6]八面体的亚晶格,声子的振动模式包含了有机阳离子CH3NH3+的振动、[PbBr6] 八面体、以及CH3NH3+和 [PbBr6] 八面体之间的相互振动等不同的声子模式。为了研究这些声子与束缚激子的相互作用,他们选择了尺寸较小、合成质量高的钙钛矿纳米线,测量其4.2 K下该的荧光光谱,找到了具有窄线宽的束缚激子,其线宽最窄达0.226 meV,为迄今为止的最小值,对钙钛矿体系在量子光源方面的应用提供了新的途径。更重要的是,他们还观测到了束缚激子高能方向的热极化子,最高有13个声子参与。通常高能方向的声子伴线只能通过吸收光谱测量,这是首次通过发光光谱在半导体材料激子的高能方向观测到多声子伴线,证明了束缚激子与声子之间很大的耦合强度。通过对荧光光谱(图1)和磁光光谱的分析,证明了热极化子的来源为束缚激子与TO声子的相互作用。最后通过测量变温光谱的研究其中的激子声子耦合作用(图2),得到了在钙钛矿材料中缺陷束缚激子更倾向于与TO声子耦合,而其与LO声子的耦合较弱的结论。实验结果印证了钙钛矿中自由激子与束缚激子具有不同的声子振动模式,因此自由激子与缺陷无法通过声子辅助进行耦合或散射,为钙钛矿材料高缺陷容忍率提供了进一步的物理机制。
文献链接: https://doi.org/10.1002/lpor.201900267
文章来源: Lab Motif

长按二维码
关注我们吧


免责声明:本文旨在传递更多科研信息及分享,如涉及侵权,请联系下方邮箱,我们将及时进行修改或删除。转载请注明出处,如原创内容转载需授权,请联系下方微信号。
邮箱:janechou@imeta-center.com
微信号:18305163023

