
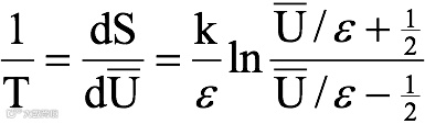
普朗克是二十世纪最伟大的物理学家,连爱因斯坦对他也是恭敬有加。普朗克对热力学、相对论、量子力学和统计物理有全面的贡献,是他最先写出了相对论标志性方程E=mc2和统计物理标志性方程 S=k ㏒W。将热力学方程 dU=TdS-pdV 改写成
的形式,从而将熵 S 放到了主角的地位,这是普朗克得出正确的黑体辐射谱分布公式、引入辐射能量量子化 hν 的关键,也是热力学过渡到统计物理的关键。在1900年以后的十多年里,普朗克除了操心相对论动力学以外,思考熵、黑体辐射和能量量子化之间的内在不协调构成了他的“绝望行动”。1912年,普朗克再次发表了一篇关于黑体辐射的论文 (全文翻译将发表在《物理》杂志上) ,在一个新的振子辐射机制假设的基础上,不仅又得到了一种黑体辐射谱分布公式的推导方式,还捎带着第一次引入了对应原理以及零点能的概念。黑体辐射、对应原理和零点能,普朗克老师在这个层面上的一箭三雕,真正诠释了什么是“前无古人、后无来者”。
所有学物理的人,按说都知道柏林大学教热力学的普朗克老师 (Max Planck, 1858-1947) 。普朗克老师上大学时学物理不是为了将来有什么成就,他说他就是想学懂物理,结果他还真做到了——经典力学、电动力学和热力学,普朗克老师是全吃透了其精髓。普朗克老师学习物理肯定是下了狠功夫的,学物理掉头发的梗可能就是来自他老人家 (图1) 。普朗克老师是相对论的奠基人,是热力学的拓展者,是统计力学的反对者和拥护者。
普朗克老师是相对论的奠基人,在于他1906年就跟上了相对论研究,第一个写出了质能方程 E=mc2,培养了第一个相对论专业的博士。此外,他还是第一个派助手劳厄 (Max von Laue,1879-1960. 劳厄也是相对论奠基人之一) 去看望那个穷困潦倒的年轻人爱因斯坦的,普朗克因此有爱因斯坦学术监护人的说法,后来还和爱因斯坦于1929年共同获得了第一届普朗克奖 (获得用自己名字命名的大奖,不亦乐呵呵乎!😄 😊 😊) (图2)。
普朗克是热力学的拓展者,他是克劳修斯的学生,对熵有比别人更深刻的理解。将 dU=TdS-pdV 改写成
的形式,这么做的重大意义,愚以为是将熵放到了主角的位置上,所以这个方程叫作普朗克方程。由此方程得到的关系式
是推导黑体辐射公式的关键一步。
普朗克是统计力学的反对者和拥护者,他很难接受将严谨的、代数形式的热力学转化成由可能性统治的统计学问。在反对玻尔兹曼统计理论的人中,跳得最高的就数普朗克的助手策梅洛 (Ernst Zermelo, 1871-1953) 。然而,普朗克偏偏又是最熟悉统计物理的,熵公式 S=k ㏒W 也是他写出来的,在推导黑体辐射的过程中他娴熟地使用了气体运动论和统计物理知识,那个玻尔兹曼常数k就是普朗克在1901年的文章 [M. Planck, Über das Gesetz der Energieverteilung im Normalspektrum (标准谱能量分布律),Annalen der Physik 4(3), 553(1901)] 中捎带着引入的。
图1. 青年普朗克与普朗克老师

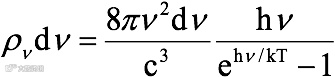
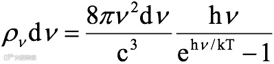
普朗克是量子论的先驱,但似乎不能算是量子力学的奠基人。在1900年的文章 [M. Planck, Zur Theorie des Gesetzes der Energieverteilung im Normalspectrum (标准谱能量分布律理论),Verhandlungen der Deutschen Physikalischen Gesellschaft 2,237–245(1900)] 中,普朗克用能量量子假设 ε=hν 再次得到了他在此前一篇文章 [M. Planck, Über eine Verbesserung der Wien'schen Spectralgleichung (维恩谱方程的改进), Verhandlungen der Deutschen Physikalischen Gesellschaft 2, 202–204(1900)] 中得到的黑体辐射谱分布公式,即所谓的普朗克分布公式,
。
普朗克的这篇文章被当作量子论的开端,愚以为这与科学史的事实不符——玻尔兹曼1877年就引入了动能量子化得到了气体的麦克斯韦分布公式,而量子化说到底还是回到了1854年黎曼引入quanta一词时的本义,即几何量子化。后来普朗克在其1913年的热力学教程第二版中阐述了这一点,结果被印度青年玻色给读懂了。在此后十余年的时间里,普朗克对待能量量子的态度同爱因斯坦等人的态度截然相反,可以说他并不期待一个所谓的量子理论而只是希望在新的物理理论中,作用量子h,普朗克嘴里的Wirkungsquantum,危害小点儿就好。当然了,普朗克本人是一直在思考量子与黑体辐射问题的,他称自己那些年里的所作所为是绝望行动 (Akt der Verzweiflung) 。
然而,在1911年底,普朗克提交了当前的这篇论文 [Max Planck, Über die Begründung des Gesetzes der schwarzen Strahlumg, Annalen der Physik 37, 642-656(1912). 译文全文“黑体辐射定律的依据”将发表在《物理》杂志2020年第6期上] ,在一个新的振子发射机理的基础上,普朗克再次得到了黑体辐射公式,这是普朗克自己的第三种黑体辐射公式推导方式,也是继爱因斯坦在1906年, 1907年和1910年,洛伦兹在1908年,德拜在1910年,艾伦菲斯特在1911年各种花式推导黑体辐射公式后的新尝试。这篇文章绝对是物理学史上里程碑式的存在。在这篇文章中,普朗克不仅再次如愿以偿地得到了黑体辐射公式,关键是他还第一次使用了对应原理 (这是后来构建量子理论时会频繁用到的一种方法,比如狄拉克就成功地用这个原理导出了量子化条件
) ,还第一次导出了振子的零点能,½hν。也就是说,普朗克老师在这篇文章中完成了物理学概念层面上的一箭三雕。就笔者所知,这应该算是绝无仅有的了,我不知道物理史上还有哪个单篇有如此高的成就。
如果要推举近代物理史上前三个重要概念,我估计结果会是没结果,众说纷纭是必然的。但如果说黑体辐射、对应原理与零点能都是近代物理中重要的基础概念,恐怕有异议的人不多。虽然,中文关于黑体辐射的介绍常常是热力学、统计力学、光学或者量子力学教科书中的三言两语,这反映的是作者的轻蔑而丝毫不影响黑体辐射是近代物理摇篮的地位,其博大精深是鲜有其匹的。黑体辐射的推导除了前述几种推导以外,后来还有爱因斯坦1917年,泡利1923年,玻色1924年以及基于广义相对论的多种推导,导出了受激辐射、散射理论、量子统计等概念甚至崭新的物理领域 [参见曹则贤,黑体辐射公式的多种推导以及在近代物理构建中的意义,待发表] 。现在,让我们仔细学习普朗克老师的这篇论文,看看他是如何做到一箭三雕的。普朗克在这篇文章中的各种惊艳操作是否合理、妙处何在,读者诸君请自行体会。
普朗克老师首先指出,普朗克公式
此前的推导中有一个非常敏感的缺陷,即为了确定辐射强度对温度的依赖关系,振子的能量一方面同空间中自由传播的波动辐射强度联系起来,另一方面又被用作计算此种振子所构成体系之熵的基础 (公式右侧第二项) 。这前一个方面是电动力学的,第二个方面是统计的,而普朗克现在要做的,是找到将电动力学的处理方式与统计的处理方式统一起来的辐射公式推导。普朗克现在考察的还是一个充满稳恒黑体辐射、由静止的反射壁所围成的真空腔体,其中存在一个由许多具有特定共同本征振动的线性、独立的振子所构成的系统,这些振子吸收和发射能量,但仅以电磁波辐射的形式。关于振子吸收能量过程的描述,普朗克用的就是简单的受迫振动模型。运动方程为
,其中f是振子的偶极矩,Ez是偶极子轴方向上光场之电场强度的分量。注意,此方程不包含任何阻尼项。这样的方程所描写的振荡,振子在从静止状态的 t=0 时刻算起,其振幅,因此其能量,是随时间逐步增加的。这方面的具体计算不重要,略。
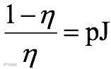
本文的神奇之处在于对具有一定能量的振子如何发射电磁辐射的假设。普朗克假设,振子只在其能量达到能量单元 ε=hν 的整数倍 nhν 时才会发射辐射,具体的因果性发射机制不知道,但发射以随机的方式进行:发射的概率为 η,不发射而后继续吸收能量的几率为1-η。也就是说,每一次当振子的能量 U 为 U=nhν 时,其将全部能量 U 发射出去的事件就可能发生,概率为 η,发射后振子回到静止状态开始下一轮的能量积聚。普朗克进一步地制定了振子的发射规则,其不发射的概率相对于发射的概率之比正比于激励振子的那个外部振动的强度,J, 即
(1)
那么,等式(1)里的比例因子p该如何确定呢?普朗克认为,对于大的激励振动强度J的值,振子的平均能量
应过渡到经典电动力学所要求的值。你看,就这么不经意间,对应原理出场了。
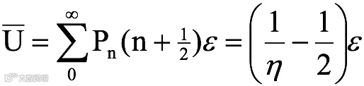
下面给出在稳恒辐射场中振子的平均能量
。在N个完全发射了其能量的振子中,Nη是在达到第一个能量量子时发射的,N(1-η)η是在达到第二个能量量子时发射的,依此类推,N(1-η)n-1η是在达到第n个能量量子时发射的。由此可见,在稳恒辐射场中同时随机挑出来的N个振子中,有Nη=NP0 个能量是在 0 到 ε 之间;N(1-η)η=NP1个能量是在ε到2ε之间;依此类推,有N(1-η)n-1η=NPn-1个能量是在 (n-1)ε 到 nε 之间,这里
Pn=(1-η)nη (2)
是振子能量在nε 到 (n+1)ε 之间的概率。这样,振子的平均能量
由如下方程给出
(3)
其中的 ½ε 是在有第一次发射机会前振子的平均能量,(n+½)ε 是经历了n次发射机会但从未发射的振子的平均能量。注意,这里的这个½是作为从0到1的均匀分布 (等测度) 之平均值的面目出现的。这个½,相较于后来人们恣意发挥的、怪力乱神式的零点能概念,非常好理解,也容易接受。
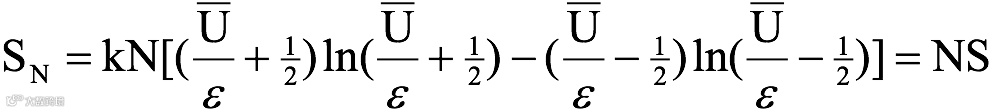
如上,在给定强度的稳恒辐射场中的N个相同振子组成之系统的能量分布,就这样唯一地决定了。接下来,就能以熟知的方式计算系统的熵和温度了。首先,系统的熵为
, (4)
注意这里普朗克使用了新的熵表达式
,p是概率,一般教科书称之为Gibbs 熵。根据(2)式, 得
. (5)
或者考虑到 (3)式,(5)式可改写为
(6)
那么,由此可得出温度 (注意,这里是熵对平均能量的微分。这一时期的文献还有写成熵对能量微分的。其总体思想都是去凑热力学中内能、熵与温度三者之间的关系
)
(7)
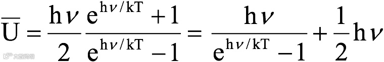
带入ε=hν ,得
. (8)
于是有 T=0 时,
。绝对温度接近0 K时,振子的平均能量不为0——咋,振子没有被冻结,惊讶不?
这个 ½hν 怎么解释呢?普朗克老师说,这个与温度无关的能量属于“潜能 (latente Energie) ”,其对比热容没有贡献但是对惯性 (以及有重量的) 质量有贡献,它也构成放射性作用的源泉。嗯,这种归于“潜能”的一通瞎扯,是老把戏啦。1903年De Pretto 就是把以太动能 ½mc2 当成原子放射性才揭露出来的潜能。
按照普朗克老师对待 h 的态度,我估计他接下来怎么也要想办法“掰扯掰扯”这个莫名其妙的 hν。然而,没等他来得及摆脱或者至少再论这个½,爱因斯坦和Otto Stern (Stern-Gerlach实验中的那位) 在1913年就拿这个零点能的概念迅速解释了氢低温比热的实验结果 [A. Einstein and O. Stern, Einige Argumente für die Annahme einer molecular Agitation beim absoluten Nullpunkt (关于绝对零点下分子激励假设的讨论), Ann. Phys.(4) 40, 551 (1913)] 。注意,爱因斯坦的这个零点,Nullpunkt,指的是那个永远达不到的绝对温度的零点。奇怪的是,爱因斯坦的原文中不仅有振子能量为
,还有
(图3),肿么肥子事?容笔者有空时再考校。

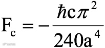
零点能后来的命运,远超普朗克这位真物理学家的想象,也远超爱因斯坦这位真物理学家的想象。零点能后来变成了真空能,那个普朗克的讨论中需要的虚的振子,那个爱因斯坦讨论中需要的实的氢分子,统统都没了踪影。据说,真空里就有这么个零点能,但因为没有实体,那个 ½hν (天知道这时候这个ν该怎么确定) 有人说有无穷多个——真空里有无穷多的零点能。零点能也变成了真空能、基态能,人们已经忘了Nullpunkt指的是绝对温度了。进一步地,由真空能有人又推导出了平行板间的量子吸引力,所谓的Casimir 力,
,推导过程中用到了平面波及其边界条件带来的量子化,算是让 ½hν 的 ν 有了安魂处。至于后来有人说用 AFM 针尖的振荡测出 (算出) 了Casimir 力,那除了恭喜,笔者实在也说不出啥来。
多啰嗦一句关于物理稍微深刻一点的内容。考察量子力学版的谐振子的零点能问题,如果把谐振子的哈密顿量表示为
,引入变换
,
,以及量子化条件
,可得
。这里的零点能是来自量子化的 ½ћω,好的物理要为这个h (ћ=h/2π) 和ω安魂。可是,若就将哈密顿量通过无量纲化,以及令 ћ=1,简单地表示为二次型的形式
,引入变换
和
,加上量子化条件
,这样得
,则零点能为½。这个推导过程丢掉了h和ω。把物理全丢了,那就可以谱写狂想曲了。其实,这个将x和p 变换到算符对 a+ 和 a 的变换可不是那么简单。在表达式
中,p和q都是实数,但当你做了变换
时,在物理上是q-p连接成了一体,在数学上它还意味着从实数域到复数域的拓展—数域的扩展,如果你严肃对待代数的话,它带来的东西就多喽。有些物理,且不论真假,是在看不见的、称为数学的地方溜进来的。扯远了,打住。
普朗克老师这样一箭三雕的推导,怕是再也不会有了。
文章来源:返朴
免责声明:本文旨在传递更多科研资讯及分享,所有其他媒、网来源均注明出处,如涉及版权问题,请作者第一时间后台联系,我们将协调进行处理(按照法规支付稿费或立即删除)。转载请注明出处,如原创内容转载需授权,请联系下方微信号。



