
近期,北京量子信息科学研究院和清华大学联合团队魏世杰博士、李行博士和龙桂鲁教授的全量子本征求解器(Full Quantum Eigensolver,FQE)工作,以 “A Full Quantum Eigensolver for Quantum Chemistry Simulations” 为题发表在Research(Research 2020, DOI: 10.34133/2020/1486935)上。经过发展和完善,FQE将有望成为普遍使用的通用量子化学计算平台。
量子计算
引领未来
研究背景
过去20年
过去的20多年里,我们多次听到“量子计算机研制成功了”的报道,但总是失望的看到只是几个量子比特的原理演示装置,做不了有实际价值的计算。
2016-2019
现在这种声音又传来,不同的是这次没有令人失望,从2016年IBM推出5比特量子云计算平台开始,一个新的时代已经开始,国际大公司加入了研制量子计算机的竞赛。2019年,谷歌完成了量子霸权,在一个特定的问题里展示了量子计算机具有超越现在世界上最强大计算机的能力,在53比特的量子计算机中用200秒演示了一个随机分布的计算,而如果使用世界第一号超强计算机,需要1万年。这个里程碑事件预示着有噪中规量子(noisy-intermediate-scale-quantum,NISQ)计算时代已经到来。我们简称这种量子计算机为有噪量子计算机。利用有噪量子计算机解决实际问题将成为现实,并且成为今后持续的研究热点和应用方向。
2020年
能够应用于材料合成与生物制药的量子化学模拟,是近期最有可能在应用层面实现量子优势的领域。经典计算中的化学模拟的计算复杂度非常高,随着电子轨道数目呈指数级增长,经典计算机无法精确计算。量子计算机则可使用多项式量级的计算复杂度实现大分子的模拟。高效的量子化学模拟将在生物制药、新材料与能源、高温超导等领域发挥重要作用。而构造高效的量子算法,是完成高效量子模拟的关键所在。
2020年2月23日,Research以 “A Full Quantum Eigensolver for Quantum Chemistry Simulations” (Research, 2020, 1486935, DOI: 10.34133/2020/1486935)为题报道了北京量子信息科学研究院和清华大学联合团队魏世杰博士、李行博士和龙桂鲁教授的全量子本征求解器(Full Quantum Eigensolver,FQE)工作。这个全量子本征求解器的量子算法,在量子计算机上计算分子基态能级和对应的电子结构,特别是它不仅可以在现在的IBM和谷歌等的有噪量子计算机上工作,而且可以直接自然过渡,在以后的大型容错量子计算机上工作。
研究现状与展望
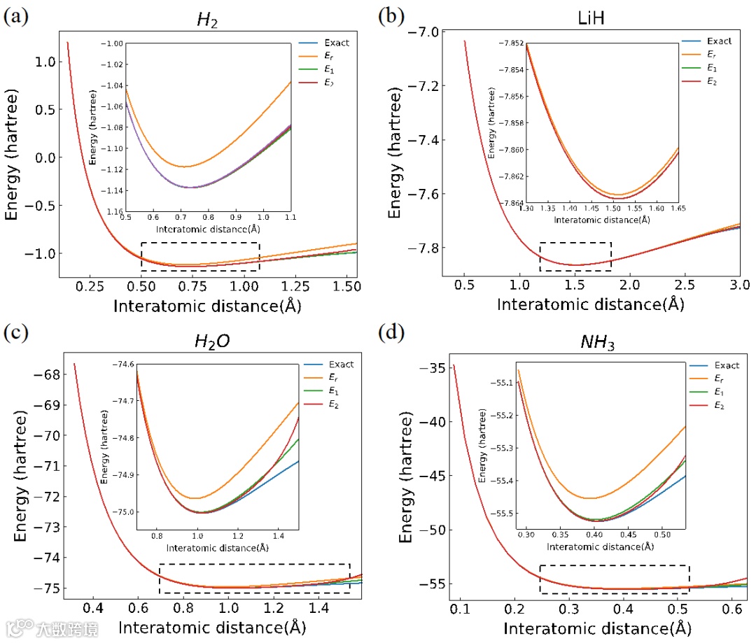
北京量子信息科学研究院和清华大学魏世杰博士、李行博士和龙桂鲁教授的全量子本征求解器采用量子化的梯度下降算法。他们把二次量子化的费米哈密顿量映射到希尔伯特空间的比特形式哈密顿量,应用量子梯度下降算法求得哈密顿量的基态能量和基态波函数。具体而言,在一个量子计算系统中,首先设定一个合适的量子初态,通过构造的量子算法给出量子线路实现对应的动力学演化,通过迭代收敛到基态,最后测量量子态得到需要的信息。图1是求解分子基态能级的过程示意,经过前期处理,相关软件计算得到分子在希尔伯特空间的哈密顿量,将特定的初态作为输入态,利用分子哈密顿量进行对应的量子逻辑门操作进行计算,最终通过测量得到分子基态能量和波函数。寻找最稳定结构在量子化学中是非常困难的工作,需要大量的计算,FQE已经可以计算,它通过变化分子中原子间的距离,找到能量最低状态,得到分子的最稳定结构。图2中展示了求解几种分子稳定结构的过程。
图1 全量子本征求解器计算分子基态能量的过程
全量子本征求解器的“全”字意味着FQE的全部计算都是在量子计算机上完成的,而其他的本征求解器则需要在量子计算机和经典计算机之间不停的转换来实现。FQE之所以能够在量子计算机上全部完成计算是因为它采用了龙桂鲁教授在2002年提出的酉算子线性组合(LCU)(Gui-Lu Long. "General quantum interference principle and duality computer." Comm Theor Phys 45(5) (2006): 825;SPIE conference on “Fluctuations and Noise in Photonics and Quantum Optics” in 2002.)。LCU可以实现酉算子的加减乘除四则运算,而之前Benioff、Feynman和Deutsch的量子计算模型中只允许酉算子的乘除运算。龙桂鲁提出的LCU突破了这种限制,为量子算法设计提供了新的途径。这一方法还被强晓刚、周晓琪、王剑威等中-英-澳联合团队采用,以LCU作为量子计算机的体系结构,研制了国际上首个通用集成光量子计算芯片[Qiang X, Zhou X, Wang J, et al. Large-scale silicon quantum photonics implementing arbitrary two-qubit processing. Nature Photonics, 2018, 12(9): 534-539]。
有噪量子计算时代已经到来,这标志着量子计算应用的开始。随着量子计算机硬件的不断发展,计算的规模、精度和速度都会不断改进,量子计算应用研究将成为常态。目前,FQE的作者正在将FQE用常见的量子计算语言如IBM的QISKIT和华为的HiQ等进行编程,将FQE嵌入到量子编程语言中,整合成一个可以实现从输入化学分子信息到量子处理器计算,将计算结果反馈给操作者的一体化通用量子计算平台。FQE全部在量子计算机上进行,不仅可以在现在的53比特的IBM和谷歌的有噪量子计算机上计算,而且可在今后大型的容错量子计算机上计算。经过发展和完善,FQE将有望成为普遍使用的通用量子化学计算平台,就像现在在经典计算机中广泛使用的高斯程序那样。
图2 以(a)氢气,(b)氢化锂,(c)水分子,(d)氨气分子为例,通过变化原子间的距离,求解分子最稳定的结构
作者简介
龙桂鲁教授:清华大学教授,美国、英国物理学会会士,从事量子通信和计算研究。他提出了量子安全直接通信,是国际上三个最主要的量子保密通信理论之一;他提出了使用酉算子线性组合的对偶量子计算方法,突破了酉算子乘积限制,为构造量子算法中提供新途径;他提出了量子精确搜索算法,得到量子计算创始人Benioff和量子搜索算法创始人Grover的肯定,被国内外学者称为Grover-龙算法。2013他的量子通信和算法的项目获得国家自然科学奖二等奖。
魏世杰博士:获得清华大学物理系博士学位,现在北京量子信息科学研究院从事博士后研究工作。他利用LCU方法构造了开放量子系统的高效模拟算法,并给出了HHL算法的对偶量子计算形式。他的研究方向主要为量子计算的理论,专注于新算法的构造。
文献链接:
https://spj.sciencemag.org/research/2020/1486935/
文章来源: Research科学研究

免责声明:本文旨在传递更多科研资讯及分享,所有其他媒、网来源均注明出处,如涉及版权问题,请作者第一时间后台联系,我们将协调进行处理(按照法规支付稿费或立即删除)。转载请注明出处,如原创内容转载需授权,请联系下方微信号。



