
撰稿 | OSANJU 刘扬
近日,来自俄罗斯斯科尔科沃科学技术研究院的Dmitry A. Gorin教授,在国际顶尖学术期刊《Light: Science & Applications》发表了题为“Multispectral sensing of biological liquids with hollow-core microstructured optical fibers”的高水平论文。Dmitry A. Gorin教授研究团队通过光纤内多光谱光学传感(IMOS)方法来实现高灵敏度检测的同时,测量生物样品的折射率,并通过实验测量了牛血清蛋白的浓度和折射率色散,显示出满足临床需求的准确性。该研究目前已得到了得到了俄罗斯基础研究基金会和以色列科学技术部的支持与资助。
随着生物传感技术的不断发展和医学需求的不断提高,现代社会对适用于实时诊断的生物传感技术的需求也在日益增加。在各种可用的传感设备中,传统的生物传感器表现出对环境折射率(RI)变化的高灵敏度,其核心技术是通过使用谐振腔(例如表面等离子体激元共振、回音壁模式等)以及在电介质和等离子体纳米结构中传播本征模来提高RI灵敏度。
传统光学生物传感器有折光仪和椭偏仪等,其中,折光仪不仅设备价格昂贵,还具有测量可用的波长数量受到限制(通常小于10个)、无法并行执行多个波长的实时测量的缺点;而椭偏仪虽然能够测量超宽光谱带中的折射率,但是每次测量都需要进行校准,无法轻松集成到任何光流体或其他传感系统中以确保实时测量,并且同样成本高。
除此之外,中空微结构光纤(HC-MOF)也是一种常用的生物传感技术,它可以通过监视透射率的变化来感测液体分析物,并且具有较大体积的光-分析物相互作用优势,与基于谐振腔的方法相比,可提高RI灵敏度。

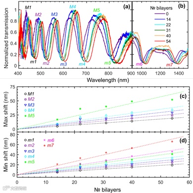
Dmitry A. Gorin教授研究团队提出了用于静态和实时模式下检测液体生物样品的中空微结构光纤多光谱光学传感技术(IMOS),该技术的主要原理为:当液体生物分析物通过专门设计的液体腔室流过中空微结构光纤时,检测中空微结构光纤传输光谱中最大值和最小值的光谱位移。这些共振特征与核心毛细管壁中的共振相关,并且其光谱位置与生物分析物的折射率明确相关。与仅在单个波长下工作的常规光学生物传感器相比,通过IMOS技术来测量42个波长下的折射率,允许同时在可见光和近红外光谱域中的多个波长下同时测量折射率,每个折射率单位(RIU)的灵敏度(RIS)高达3000nm,同时,在可见光和近红外光谱范围内的品质因数(FOM)高达99RIU-1。

为了验证该技术的实际性能,研究人员通过实验测量了静态和动态模式下通过溶解在水和磷酸盐缓冲盐水(PBS)溶液中的牛血清白蛋白(BSA)的浓度,证明了IMOS可以测量静态和动态状态下溶解于水和PBS缓冲液中的BSA的光学色散和浓度,并显示出满足临床需求的准确性。此外,Dmitry A. Gorin课题组首次提取了纯的牛血清白蛋白在400–850nm宽波长范围内的折射率色散。



与许多其他光学生物传感器相比,IMOS的重要优势在于其简单性和成本效益高,并且设置非常紧凑且易于复制,这是因为它不需要任何外部空腔或干涉仪,并且功能化的HC-MOF的生产既简单又便宜。此外,IMOS可以在宽光谱域内实时进行折射率测量,这对于其他替代方法而言仍然是一个具有挑战性的问题。此外,IMOS能够准确检索各种蛋白质及其复合物的折射率色散,这对于可靠地模拟生物过程非常重要。
https://www.nature.com/articles/s41377-020-00410-8
本文来源:中科院长春光机所 Light学术出版中心


