

图片来源:Light: Science & Applications
撰稿 | 季亚楠
导读
工作于近红外(NIR)I区和NIR II区的多波段窄带光电探测器(PDs)在生物分析、多色生物成像/传感、加密通信等领域具有重要的应用价值,成为一种高端的探测技术。目前,针对多波段窄谱带的NIR光电探测技术的研究,主要集中于集成多个不同带隙并且对NIR具有不同响应能力的红外半导体材料。这无疑会增加器件设计与使用的复杂性、稳定性以及制备成本。最近的一些研究表明,具有双光子或多光子泵浦特征的稀土上转换材料,可以将NIR光子转换为可见或紫外光子,并为较宽带隙的半导体所吸收,制备出性能优异的上转换PDs。而迄今为止,具有波长选择性的多波长窄带上转换PDs还没有实现。另外,由于稀土离子4fn-4fn跃迁的吸收截面较小,荧光量子效率较低,所以实现可探测到的上转换发光(UCL)需要相对较高的泵浦阈值。因此,对于弱NIR检测的上转换PDs的实现仍然存在挑战。
近日,吉林大学集成光电子国家重点实验室宋宏伟&徐文课题组与瑞典皇家理工大学刘海春博士合作,提出一种结合介电光学微结构(MLAs)的超透镜光汇聚效应与贵金属纳米结构的局域表面等离子共振(LSPR)效应的级联光场调控策略,使得UCL显著增强超过4个数量级。得益于UCL的显著增强,突破了基于UCNCs的光电探测器件的技术瓶颈,构建了具有高响应灵敏度和探测能力的近红外PDs。此外,作者利用不同镧系离子掺杂的核-壳结构的巧妙设计,合成了可分别在808 nm、980 nm、以及1540 nm的NIR激发下发射可见光的多波长响应核-壳-壳结构(CSS)的UCNCs,并基于该材料构建了多光谱窄带近红外PDs。考虑到每个独立的上转换纳米颗粒构成了一个信息丰富的发光动力学系统,不同激发波长的时间域和频率域对光信号具有不同特征,因而该课题组设计并开发了可分离多波段光检测通道的PDs,以实现对NIR的选择性检测,并证明了调制激发光频率可以很好地区分检测波长。此外,通过调控镧系离子的掺杂浓度,可优化UCNCs的荧光动力学,从而实现了80-120 ms的光响应时间。
研究背景
为解决UCNCs作为光活性吸收材料用于PDs的荧光效率低、泵浦阈值高的难题, 该项工作中,作者设计开发了UCNCs结合钙钛矿薄膜的NIR PDs,并通过新颖的级联光场调控策略使UCL得到超过四个数量级的有效增强;在此基础上,利用核壳结构材料中Nd3+, Yb3+,Er3+离子的多波长吸收和离子间能量传递诱导的UCL以及与MAPbI3的结合,实现了多波长光电检测。这一工作为多谱段的NIR弱光检测提供了一种崭新的研究思路。
在这项工作中,作者采用溶剂热法合成了NaYF4: Yb3+, Er3+@NaYF4@NaYF4: Yb3+, Nd3+, Tm3+(CSS)UCNCs,该CSS UCNCs对808 nm,980 nm和1540 nm的NIR激发光均有响应,并且可分别呈现出紫色、黄色、绿色的可见光发射。在对单个CSS UCNCs作元素映射和线扫描中发现,外层元素(Nd3+和Tm3+)与内层元素(Er3+)在同一个宽度约45 nm的CSS UCNCs中元素分布清晰可见。由此可证明CSS UCNCs在包覆过程中并未出现各层的稀土离子间的相互掺杂。

图1 (a)NaYF4: Yb3+, Er3+@NaYF4@NaYF4: Yb3+, Nd3+, Tm3+ UCNCs 分别在808 nm、980 nm和1540 nm的激发光照射下的光谱图,插图为UCNCs的可见光发射的照片。(b)对单个UCNCs中Yb、Nd、Er和Tm离子的元素含量线扫描图
作者将MLAs的超透镜效应与Au NRs的LSPR效应耦合,对光场级联放大以增强UCNCs的UCL,整个过程如图2a所示。这种级联放大策略的可行性是基于如下的考虑:MLAs可以有效地将远场传播的入射光限制在微米尺度的高度局域热点上,而Au NRs可以在纳米尺度上再次更加精准地调整光场。实验结果表明,相同直径的MLAs的高度不同,对UCL的增强效果也不同。高度越高对UCL的增强效果越好,其中约5.5 μm的MLA-1对UCNCs的在三种不同激光泵浦下分别达到6300倍、6400倍和4500倍。以808 nm、980 nm和1540 nm的激光泵浦UCNCs样品,优化后的MLAs-1/Au NRs/CSS UCNCs样品比单纯的UCNCs的UCL分别增强了2.4×104倍、2.2×104倍和1.6×104倍。

图2 (a)基于MLAs/Au NRs/CSS UCNCs复合结构的级联放大效应示意图。(b)在相同激发光功率密度下(2mW/cm2),MLAs/Au NRs/CSS UCNCs样品分别受808 nm、980 nm、1540 nm激发时的UCL增强因子。(c)Au NRs/CSS UCNCs样品、MLA-1/CSS UCNCs、MLA-1/Au NRs/CSS UCNCs样品分别在三种不同激发光泵浦下的UCL增强因子。
CSS UCNCs中的Nd3+、Yb3+、Er3+离子可以分别吸收入射的NIR光子,其吸收峰值在808 nm、980 nm、1540 nm附近,并通过光子上转换过程将其转化为400-700 nm光谱范围内的可见光。随后发射的可见光被具有窄禁带(约800 nm)的钙钛矿MAPbI3层有效吸收,进而产生光电流(图3a-b)。在三种NIR激发光泵浦下,MLA/Au NRs/MAPbI3 PDs的光响应电流分别为 12 μA、9 μA和4.6 μA,相比于CSS/MAPbI3 PDs的光响应电流分别放大410倍、390倍和460倍。从PDs与波长相关的光响应曲线来看,在近红外I区和II区,存在半峰宽为20~30 nm的窄带吸收,对应于稀土离子的Nd3+的4F7/2→4F3/2,Yb3+的2F7/2→2F5/2,以及Er3+的4I15/2→4I13/2的4f-4f跃迁。这种可对几个不同入射波长响应的超窄带选择性光检测在其他类型的光敏材料中几乎无法实现,因此这可能为高度加密通信开辟一条新的途径。该PDs在对808 nm、980 nm和1540 nm的光检测中,表现出30.73、23.15、12.20 A/W的高响应度,以及5.36×1011、3.45×1011、1.92×1011 Jones的高探测率的性能。

图3 (a)NIR PDs原理图。(b)钙钛矿MAPbI3层、Nd3+、Yb3+、Er3+的吸收光谱,以及CSS UCNCs的1D2→3F4、1G4→3H6、2H11/2,4S3/2→2I15/2、4F9/2→4I15/2的发射光谱图。(c)在功率密度为2 mW/cm2,分别在808 nm、980 nm以及1540 nm照射下,CSS/MAPbI3、Au NRs/MAPbI3、MLA/MAPbI3、MLA/Au NRs/MAPbI3 PDs的on-off光电流-时间的响应曲线。(d)MLA/Au NRs/MAPbI3 PDs在808 nm、980 nm以及1540 nm照射下的光电流响应。
创新内容
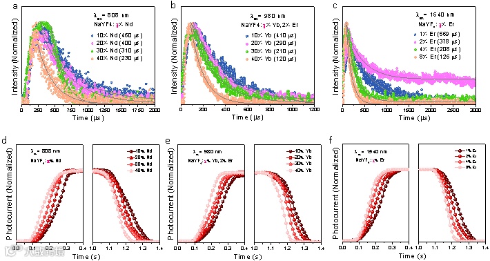
合成不同稀土离子掺杂比的CSS UCNCs,以及制备基于各种掺杂比例CSS UCNCs所集成的MLA/Au NRs/UCNCs/MAPbI3 PDs。调控稀土离子掺杂比例的策略可以在很大程度上改变UCL的荧光动力学,随着Nd3+、Yb3+、Er3+掺杂比例的增多,CSS UCNCs的荧光寿命逐渐缩短。这种寿命的缩短直接影响到基于UCNCs集成的PDs在光电流响应时间上的变化,包括光电流的上升和衰减时间,最高可缩短50%。

图1 FICS现象的发现和可能的能级模型
图4 (a-c)掺杂离子浓度与时间的依赖关系。Nd3+浓度的变化范围为10%~40%(a),Yb3+浓度的变化范围为10%~40%(b),Er3+浓度的变化范围为1%~8%(c)。(d-f)MLA/Au NRs/UCNCs/MAPbI3 PDs的I-t曲线分别随Nd3+浓度、Yb3+浓度、Er3+浓度的增加而变化。
对于可多波段探测的NIR PDs来说,能够准确地分辨入射光的波长至关重要。每一个单独的上转换纳米颗粒由许多发光中心(Ln3+)耦合组成,整体构成一个动态的光学系统,这些发光中心受特定的光激发(如激发波长、激发强度和激发频率调制)可产生特异性响应。考虑到CSS UCNCs对不同的激发波长有不同的响应速度,基于光子上转换路径的不同,我们利用UCNCs对激发调制频率的响应,在对时间的傅里叶变换中,实现了分离不同激发波长的可能性。在相同功率密度的三种激发光照射下,UCL的强度均有着明显的降低,且强度随不同频率的入射光的下降速率的变化幅度差别很大,由此利用这种巨大的差异可区分入射光波长。值得注意的是,在较宽的功率密度范围内(0.46-55.2 mW/cm2),所有入射波长的变化趋势与激发光功率密度无关。

图5 (a)选择性多光谱光电探测的频率调制光电流响应示意图。选择性探测的UCL发射强度依赖于泵浦频率。(b)改变泵浦频率、泵浦功率密度后,UCL相对强度变化。
展望
该工作通过对UCNCs的核壳结构设计与激发光频率调制,可以巧妙地识别入射光波长, 实现多波长的NIR光电检测。提出的局域光场级联调制新概念解决了UCNCs的激发阈值过高的难题,成功实现了NIR弱光检测。该方法亦可适用于基于上转换纳米技术的其他应用上,如生物成像技术、太阳能电池等。
本文第一作者为吉林大学博士生季亚楠(现就职于大连民族大学物理与材料工程学院),通讯作者为吉林大学宋宏伟教授、徐文副教授,瑞典皇家理工大学刘海春博士。合作者包括瑞典皇家理工大学的Hans Ågren教授和Jerker Widengren教授。
该研究成果以" Huge upconversion luminescence enhancement by a cascade optical field modulation strategy facilitating selectively multispectral narrow-band near-infrared photodetection" 为题在线发表在Light: Science & Applications。
https://www.nature.com/articles/s41377-020-00418-0
本文来源:中科院长春光机所 Light学术出版中心
免责声明:本文旨在传递更多科研资讯及分享,所有其他媒、网来源均注明出处,如涉及版权问题,请作者第一时间后台联系,我们将协调进行处理(按照法规支付稿费或立即删除)。转载请注明出处,如原创内容转载需授权,请联系下方微信号。



