
塑料废弃物污染是21世纪最为紧迫的环境问题之一,但大部分进入填埋场和海洋,严重威胁人类的生态环境和生命健康。石墨烯作为新型的二维碳材料,其制备方法主要通过剥离石墨获得,该过程需要大量的溶剂、机械剪切力和电化学处理等,产率较低,成本较高,限制了其应用。美国莱斯大学James M. Tour教授课题组通过廉价的焦耳热闪蒸技术可将任何碳源,无论是炭黑、石油沥青、煤炭、轮胎还是塑料垃圾,统统在不到100毫秒的时间内变成克级石墨烯,实现了“变废为宝”。(详细报道:突破性进展!《Nature》:此文一出,“石墨烯”秒变“白菜价”!)进一步观察了闪蒸石墨烯的形貌又在2020年9月10日发表了一篇《ACS Nano》(详细报道:《Nature》之后,观察了一下形貌,再发一篇《ACS Nano》丨“白菜价石墨烯”又有新进展)
2020年10月29日,James M. Tour教授课题组再发力,提出一种回收塑料废弃物的方法,实验室并没有像原来那样用直流电来提高碳源的温度,而是首先使塑料废料暴露于大约8秒钟的高强度交流电中,然后直流震荡,通过快速焦耳热技术将废弃物变成具有涡轮层的闪蒸石墨烯(FG)外,还会产生碳低聚物、氢等,处理每吨塑料废弃物约125美元(约848元人民币)的电力成本,同时可以获得180千克高质量石墨烯,具有明显经济优势。一举两得,同时解决了“废塑料回收难”、“石墨烯制备成本高”两大难题。相关工作以“Flash Graphene from Plastic Waste”为题发表在《ACS Nano》。
将塑料废弃物与炭黑混合后的导电碳粉装在两个电极之间的石英管中,用交流电焦耳热闪蒸(AC-FJH)处理8 s,样品释放出碳低聚物和挥发物,而在铜电极之间形成闪蒸石墨烯;图1(b)分别为2 mm、1 mm、40 μm的HDPE粉末颗粒处理的产率;图1(c)显示了由闪蒸的HDPE粉末在不同的初始电阻率下获得的交流电焦耳热闪蒸石墨烯产率,发现AC-FJH可用于由不同的热塑性塑料生产石墨烯,如聚酯、聚氯乙烯、聚丙烯、聚苯乙烯等。塑料的热稳定性越高,闪蒸石墨烯产率越高,生成的挥发性低聚物越少(图1(d))。
图1(a)120 V AC电路原理图(b)HDPE的交流电闪蒸石墨烯产率(c)HDPE/CB混合物的初始电阻率对石墨烯产率影响(d)来自不同塑料的交流电闪蒸石墨烯(e)废弃塑料照片及使用商用切割机切割后与5%CB混合后的照片
拉曼光谱发现可从多种塑料中获得高质量的涡轮层闪蒸石墨烯,较高的IG/ID峰比值表示较低的无序度和较高的石墨烯质量。图2(d)通过一个内部内置红外(IR)光谱仪给出了交流电快速焦耳热的温度分布过程采集,数据与黑体辐射曲线拟合。事实证明,快速焦耳热可有效地将塑料废弃物转化为闪蒸石墨烯,该工艺成为代替其他回收/再利用工艺所需的劳动密集型分拣步骤的理想选择。
图2(a,b)闪蒸石墨烯的特征拉曼光谱(c)从PVC中观察到的闪蒸石墨烯拉曼光谱(d)使用红外光谱仪和黑体辐射配件收集的焦耳热工艺温度曲线
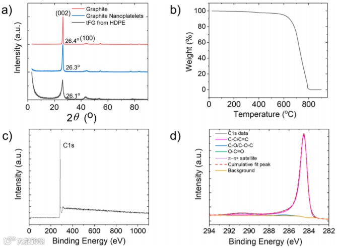
从不同的塑料废弃物中获得的石墨烯的XRD谱图在26.1(002)和45°(001)处出现两个峰,(002)峰的尾部延伸到低的2θ,这是由于涡轮层之间的旋转混乱所致,同时得到的石墨烯具有较高的热稳定性,且XPS结果中没有检测到杂原子的存在,表明快速焦耳热方法对于处理原本难以重用的塑料废弃物是有效的。得到的石墨烯平均尺寸为16 nm(图4 b),包括四个堆叠的涡轮层,TEM图像表明层层之间的间隔为3.45 Å,图4 c为交流直流电闪蒸石墨烯的形态,其平均尺寸为27 nm(图4d),比交流电闪蒸石墨烯尺寸大,表明采用交流直流电后,会促进石墨烯横向尺寸的生长。TEM图像的层间距离与XRD和拉曼数据一致,支持闪蒸石墨烯涡轮层形态的结论。
图3(a)源于废弃HDPE的石墨烯 的 XRD(b)TGA和(c)XPS(d)高分辨率C 1s XPS光谱
图4(a)源于HDPE的交流电石墨烯的TEM图像和(b)颗粒数(n = 100)(c)源于HDPE 的交流直流电石墨烯的TEM图像和(d)颗粒计数(n = 100)
为了计算将混合的塑料废弃物转换为石墨烯所需的能量,观察样品的电阻率随时间变化,如图5a所示。交流电闪蒸石墨烯过程消耗的能量约为21 kJ/g,直流电闪蒸石墨烯所需的能量约为13 kJ/g,总共需要23 kJ的能量才能将1.0 g的混合塑料废弃物转换为0.18 g的高质量石墨烯。这意味着将1吨塑料废弃物转换为180千克高质量石墨烯加挥发物的电力成本为124美元,与传统的物理和化学回收技术相比,这使该技术的塑料回收成本具有竞争力。
图5(a)源于HDPE的交流电石墨烯电阻率值和功耗(c)源于HDPE交流直流电石墨烯和商用石墨烯的拉曼光谱(d)抗压强度水泥/石墨烯复合材料
收集交流电石墨烯制备过程中形成的蜡质物质,并通过傅里叶变换红外分析发现生成的蜡是具有红外指纹性的低聚物,类似于具有低氧化度的母体塑料,如图6所示。这些低聚物可与石油烃流混合以加工成纯塑料,或可用于生产洗涤剂复合材料的添加剂。低聚物的产率<10%,表明闪蒸的塑料废弃物约60%转化为气态产物,检测发现有氢气产生,可以考虑在燃料电池中使用氢气为焦耳热过程产生清洁的补充电能使用。
使用少量电能将塑料废弃物转换为高价值的材料,大规模使用快速焦耳热技术处理塑料废弃物可以潜在地减少温室气体的排放,从而提高塑料的使用周期。据报道,生产1克纯PET需要38.8 kJ的能量,而使用快速焦耳热方法处理仅消耗23 kJ的能量。因此,应将塑料废弃物的快速焦耳热方法作为循环利用塑料垃圾的一种方法纳入考虑中。
https://doi.org/10.1021/acsnano.0c06328
来源:高分子科学前沿

免责声明:本文旨在传递更多科研资讯及分享,所有其他媒、网来源均注明出处,如涉及版权问题,请作者第一时间后台联系,我们将协调进行处理(按照法规支付稿费或立即删除),所有来稿文责自负,两江仅作分享平台。转载请注明出处,如原创内容转载需授权,请联系下方微信号。
