
撰稿 | OSANJU 刘扬
导读
近日,来自美国德克萨斯A&M大学卡塔尔分校的Stelios Tzortzakis教授研究团队在国际顶尖学术期刊《Light: Science & Applications》发表了题为“Powerful terahertz waves from long-wavelength infrared laser filaments”的高水平综述论文。Vladimir Yu. Fedorov博士为本文的第一作者,Stelios Tzortzakis教授为本文的通讯作者。Stelios Tzortzakis教授团队回顾了与中远红外超短激光脉冲的光物质相互作用的微观物理过程,以及此类激光场的非线性传播的理论、数值仿真和实验演示。总结了实现具有极强场强的亚周期太赫兹脉冲的最有前途的方法。该研究目前已得到了卡塔尔国家研究基金会,以及由希腊和欧盟共同资助的H2020 Laserlab-Europe(EC-GA 871124),H2020 MIR-BOSE(EC-GA 737017)计划的支持与资助。
研究背景
太赫兹波是频率在0.1到10THz范围(波长在0.03到3mm范围)的电磁波,它在长波段与毫米波(亚毫米波)相重合,而在短波段与红外线相重合,在电磁波频谱中占有很特殊的位置,频谱的THz部分被压缩在高频电子学和光子学领域之间。太赫兹具有许多优点,如光子能量低,不会对生物组织产生有害的光致电离、很多有机分子在该波段都有很强的吸收和色散等。所以可以广泛的应用在医学、生物学、工业质量控制、食品检查等领域中。
尽管目前需要强大的THz辐射,但用来产生高强度的太赫兹场的方法却十分有限。当前,传统的太赫兹产生方法主要有以下几种:
(1)光电导天线法,通过载流子振荡辐射出电磁波,本质是电子的运动。
(2)电光晶体中的光整流法,在通过光学整流产生太赫兹时,具有超二阶非线性的晶体被超短激光脉冲泵浦。宽脉冲频谱中各种频谱成分的不同频率混合会产生跳动极化,这会导致在THz频谱区域发射辐射。
(3)双色激光脉冲诱导空气等离子体辐射太赫兹波法,是基于由基波辐射及其二次谐波组成的超短激光脉冲对介质进行电离而产生的。然后,产生的等离子体的自由电子驱动激光场中振荡并发射电磁波。
在已有的研究成果中,上述的技术都存在一定的不足,光整流法可以产生更高能量的THz脉冲,THz转换效率更高,但高激光强度不可避免地会损坏非线性晶体,同时产生的太赫兹脉冲很窄带;具有近红外激光脉冲的常见双色激光脉冲法可以产生毫微秒级的超短单周期太赫兹脉冲,提供了较低的太赫兹辐射和较低的THz转换效率,尽管能量较低,这种太赫兹脉冲仍可以具有很高的强度。此外,该方法还使远程产生太赫兹辐射成为可能,从而避免了诸如大气水蒸气对太赫兹波的高吸收等挑战,但是常见的近红外激光器的波长较小,从而限制了激光源产生的光电流的大小,导致该方法无法产生更强的太赫兹THz辐射。
图1 通过双色激光脉冲诱导空气等离子体辐射太赫兹波的原理示意图。电子速度v(t)(蓝线)是在不同时刻释放的几个电子的电子速度,其接近驱动场E(t)的峰值(红线)。(a)单色激光场E(t)=A(t)cos(ω0t)。(b)和(c)双色激光场E(t)=A(t)cos(ω0t)+[A(t)/2]cos(2ω0t+φ),其中(b)φ=0且(c)φ=π/2。幅度A(t)=exp(-t2/τ02),其中τ0= 5fs。中心频率ω0对应于800nm波长。
随着新一代光学参量啁啾脉冲放大器(OPCPA)的出现,对气体中激光丝化的研究已扩展到中红外和远红外光谱范围,从而使得通过双色激光脉冲产生更强的太赫兹辐射,该放大器能够在3.9µm的中心波长下发出高峰值功率低于100fs的脉冲。

图2 不同激光波长下束缚电子和自由电子的辐射幅度比较。强度为110TW/cm2的激光脉冲(紫色虚线)的束缚态和自由电子(a)、(b)及其光谱(c)、(d)的时间分辨辐射幅度abb(蓝色)和aff(红色)。其中,(a)和(c)对应的波长为0.8μm,(b)和(d)为4µm。使用半经典模型对自由电子的计算结果以绿线给出。
因此,Stelios Tzortzakis教授团队回顾了在双色激光脉冲背景下长波长激光辐射与气体相互作用的最新实验和理论进展,为产生高强度太赫兹波提供了新的思路与指导。
创新研究
Stelios Tzortzakis教授团队从与中远红外超短激光脉冲的光物质相互作用的微观物理过程出发,总结了实现具有极强场强的亚周期太赫兹脉冲的几种具有优势的方法,仔细分析了双色激光脉冲(中红外和远红外超短激光脉冲)的非线性传播过程以及高强度太赫兹波的产生机理,阐明了气态介质对中红外和远红外辐射的复杂非线性光学响应及其如何影响太赫兹的产生过程,并建立了产生高强度太赫兹场的先决条件。这种太赫兹场的强度使极端的非线性光学和相对论物理学成为可能。

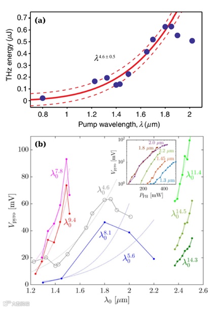
图3 激光波长下太赫兹能量的缩放比例(a)Clerici等人针对12种不同的泵浦波长(实心圆)测量的太赫兹能量。红色实线表示幂律拟合λ4.6±0.5以及65%的置信区间(红色虚线)。(b)热电探测器信号的波长依赖性,表明Nguyen等人在实验中获得了太赫兹能量。不同的点集对应于不同的OPA和输入脉冲能量。虚线曲线提供了λ拟合。灰色圆圈重复了Clerici等人的数据。

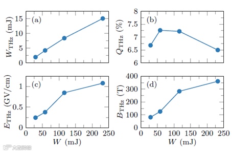
图4 中红外灯丝产生的太赫兹辐射的各种参数(a)太赫兹脉冲能量WTHz,(b)太赫兹转换效率QTHz,(c)估计的峰值电ETHz,以及(d)聚焦太赫兹脉冲的磁场BTHz,与3.9 µm两色激光脉冲的输入能量W间的关系。

图5 各种THz参数对激光波长的依赖性(a)产生的THz脉冲WTHz的能量,(b)THz转换效率QTHz,(c)峰值THz电场ETHz,以及(d)THz发射角θTHz与波长的关系基本激光脉冲的λ0。
总而言之,研究人员从理论研究、仿真验证、实验演示等方面回顾了迄今为止开发高峰值功率太赫兹源的最有前途的方法。由超短中红外和远红外双色激光脉冲驱动的太赫兹光源显示出前所未有的转换效率,可以达到5–7%的水平。
从基本的微观物理机理出发,阐明了双色激光脉冲非线性传播的过程,并解释了背后的物理原理。文章表明,如果仔细地解释该理论所涉及的复杂时空现象,则理论和实验之间可以得到定量的一致性。即使所涉及的基本过程的某些方面(如多体效应的作用)仍未得到充分阐明,但这并未对太赫兹源建模产生重大影响。高强度太赫兹源的发展为太赫兹非线性科学开辟了新的视野。

图6 3.9µm两色激光脉冲产生的太赫兹脉冲的能量、时间和频谱特性。(a)太赫兹能量WTHz和相应的太赫兹转换效率QTHz取决于输入激光能量Win。(b)通过电光采样(插图,蓝色)和迈克尔逊干涉仪(红色)测量的THz信号ETHz。(c)通过上述技术获得的太赫兹功率谱STHz(实线)以及每种技术的噪声水平(虚线)。
预计在不久的将来,由中红外和远红外激光脉冲驱动的太赫兹源,每个脉冲将提供数毫焦的能量,峰值电场和磁场分别可以达到千兆伏/厘米和千千瓦的水平。在这种强度下的准静态超短电磁脉冲将使自由空间能够实现极端的非线性和相对论科学,从而能够为尚未探索的基础科学问题提供一定的条件,还可以为要求苛刻的应用(例如紧凑型带电粒子加速器)提供独特的解决方案。
该研究成果以"Powerful terahertz waves from long-wavelength infrared laser filaments"为题在线发表在Light: Science & Applications。
文章来源:中科院长春光机所 Light学术出版中心
免责声明:本文旨在传递更多科研资讯及分享,所有其他媒、网来源均注明出处,如涉及版权问题,请作者第一时间后台联系,我们将协调进行处理(按照法规支付稿费或立即删除)。转载请注明出处,如原创内容转载需授权,请联系下方微信号。



