

撰稿| 由课题组供稿
导读
最近,澳大利亚悉尼科技大学(UTS)的研究者通过对材料科学,化学合成和光子物理结合,运用光学物理机制实现了对低折射率 (n=1.46) 纳米颗粒的光力增强,提高为普通金纳米颗粒的三十倍,并且首次实现了该纳米颗粒在无折射率差环境中的光学捕获。该项多学科交叉的研究成果相关工作以“Optical tweezers beyond refractive indexmismatch using highly doped nanoparticles”为题,发表于最新一期的《Nature Nanotechnology》 上。

DOI: 10.1038/s41565-021-00852-0
共同第一作者:单旭晨、王帆博士
共同通讯作者:王帆博士、PeterReece博士、金大勇教授
光镊技术已经被广泛的应用于材料的组装、表征,细胞内抓取和力的测量。1997年诺贝尔物理奖就是表彰Steven Chu, Claude Cohen-Tannoudji 和 William D. Phillips用单原子光镊方法来探索原子在光学场中的共振从而对单原子限域和冷却。2018年的诺贝尔物理奖的一半奖金用于表彰Arthur Ashkin光镊来探索生物系统中的应用。
通常光镊的捕获力都是由捕获颗粒和周围介质的折射率差决定的,颗粒的折射率比周围介质越大其受到的光力就越大。此外颗粒的尺寸越小,其收到的光力效果就越小。这两个原因导致了低折射率颗粒(例如纳米颗粒,纳米药物和细胞器)的光学捕获尤为挑战。
选择高介电常数材料例如金属颗粒和半导体颗粒作为光镊的操纵探针是现阶段主要的方法。但是金属颗粒所产生的光热效果不仅会影响光镊操纵效率还会影响生物样品。现阶段半径50纳米金颗粒能提供的光力弹性系数是0.012 pNμm-1mW–1,而半径52纳米的硅颗粒能提供的光力弹性系数也只有0.022 pNμm-1mW–1.
稀土掺杂的上转换颗粒是一种可以将入射的近红外光转化为可见和近红外光的新型材料。颗粒中掺杂的给体稀土离子可以吸收长波长的红外光,将其传递给受体发光离子,从而发出短波长的可见光。悉尼科技大学金大勇教授课题组(后文简称“课题组”)前期系列工作中实现了成千上万个稀土离子在每个纳米颗粒中高浓度掺杂,从而赋予纳米颗粒绝佳的非线性光学性质,这种性质可以直接用于单颗粒光纤传感,时间维度光学编码,超分辨成像和单颗粒示踪技术等方向的应用。通过对上转换颗粒的光力研究,王帆博士以及学生单旭晨发现这类颗粒虽然具有较低的折射率但是却能产生非常大的光力。在金大勇教授和王帆博士的指导下课题组进而开发了一种利用单颗粒荧光视频追踪的方法来更准确的计算光力,解决低折射率纳米颗粒无法精确测量的问题。王帆博士和Reece 博士设想这类增强是由于纳米颗粒内镧系离子的共振效果产生的。
在确定了想法之后,课题组开始根据王帆博士的模拟结果合成以及测试材料。课题组发现当镧系(包括镱离子(Yb3+)、铒离子(Er3+)钕离子(Nd3+))掺杂纳米晶体与光镊波长匹配时会产生离子共振效果,这个效果会极大程度的提高电磁张量以及介电常数。同时选择激发波长来增强Clausius–Mossotti系数实数以增强梯度力、避开Clausius–Mossotti系数虚数部的谐振峰以减少散射力能极大程度的提高光镊的捕捉能力。这个结果让课题组非常兴奋,因为这项成果不仅使得通过光镊对低折射率纳米颗粒的高效操控变成了可能,而且这类纳米颗粒可以像染色剂一样被用于标记细胞和细胞器,可以极大程度提高细胞内部细胞器的光学操控能力。纳米荧光光镊系统为上转换纳米颗粒光力检测以及细胞内抓取提供了新的方向。
上文简述了离子谐振光镊这个课题的形成与发展,在这个工作中金大勇教授和王帆博士作为导师起到了关键的领导作用,他们用宽广的知识储备与深刻的科研理解指导了文章的逻辑和方向。博士生单旭晨在此工作中也起到了非常重要的作用,他勤恳的工作以及优秀的光学技术保证了实验的顺利进行。王帆博士基于扎实的光学功底设计并指导搭建了光镊系统,并且完成了上转换纳米颗粒光镊捕获的理论模拟。新南威尔士大学的PeterReece博士也提供了理论以及研究技术上的互补。最终通过大家接近四年多的努力,从纳米荧光光镊出发,结合上转换纳米颗粒的荧光和吸收特性,为低折射率纳米颗粒力学测量和荧光纳米颗粒追踪体统了一个解决方案,并且完成了完备的离子共振光力理论。

Fig. 1 | Comparison between optical trapping of low refractive index nanoparticles with or without doping by lanthanide ions. a). Diagram of the resonance effect for highly doped nanocrystals that up-regulates the permittivity and polarisability of a low index nanocrystal. Comparison of simulated 2D position distributions of a single nanoparticle optically trapped with b). conventional gradient force generated by refractive index mismatch and c). enhanced gradient force by lanthanide ions’ resonance effect. The power and wavelength of the trapping laser are 50 mW and 976.5 nm. The red circle indicates the spot size (1/e2 of intensity point) of an optical beam, 0.41 µm along the x-axis and 0.28 µm along the y-axis, respectively. The 2D position distributions are generated by a Monte Carlo simulation. The trap stiffnesses used to generate the distributions are simulated. The 2D distribution of experimental data with the same condition.
研究团队首先对比了在相同的尺寸与折射率下,掺杂与未掺杂镧系元素颗粒在光镊捕捉情况下的二维位置分布模拟。从模拟结果可以发现,镧系掺杂颗粒位置分布相比于未掺杂颗粒分布更密集,这是由于掺杂了镧系元素的纳米颗粒在976.5nm的捕获激光下有更高的极化率,导致梯度力增强使得光镊势阱刚度更高。

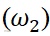
Fig. 2 | Investigation of ytterbium, erbium and neodymium doping in enhancing the optical gradient force. a). Illustration of energy levels of Yb3+ doped in NaYF4 nanocrystals. The calculated real and imaginary parts of electromagnetic susceptibility
for transitions b) E5-E1
, c) E6-E1
, and d) E7-E1
. The concentration of Yb3+ resonator ions is 1.5 nm-3. e). Simplified energy level diagrams of Yb3+, Er3+ and Nd3+ in NaYF4 nanocrystal.
are the dipole resonance angular frequencies. f). The calculated Clausius Mossotti factors (CM) for Yb3+, Er3+ and Nd3+ in NaYF4 crystal host. The real part of CM for pure NaYF4 crystals is shown as grey dash lines at a constant value of 0.064. g). The experimentally measured trap stiffness for Yb3+, Er3+ and Nd3+ doped nanocrystals at different laser wavelengths. The longest trapping wavelength is 980nm due to the limited tuning range of trapping laser. The trapping range for Nd3+ is between 795 nm and 815 nm to generate sufficient emission intensity for trap stiffness measurement. The thicker shadowing lines are the theoretical simulation results based on the physical parameters of different nanoparticles.
通过模拟可以看出镱离子(Yb3+)对于不同波长有不同的吸收曲线,铒离子(Er3+)和钕离子(Nd3+)由于能级的不同也在对应波长有不同的吸收。这一特性导致了不同波长的捕获激光会激发不同材料的极化率也不一样,导致了同一中掺杂颗粒的捕获力在波长变化时会有不同的捕获力。

Fig. 3 | Effect of oscillated ions’ concentration on optical trapping. a). rCM and iCM for different oscillator concentration. The vertical dashed line shows the oscillators’ concentration
for the trapping power 50 mW. The horizontal dashed line shows the rCM for pure NaYF4 crystal. b). Axial force (Fz) distribution and d). lateral force (Fy) distribution in the y-z plane. The position of z = 0 indicates the force zero position. c). The y = 0 cross-line at Fz and e). the z = 0 cross-line at Fy. f). Diagram of distribution and transition of the excited state Yb3+ carriers. g). The experimentally measured trap stiffness for Yb3+ doped nanoparticles, varying with doping concentration. h). The trap stiffness for different emitter (Er3+ and Tm3+) with the same sensitiser and emitter concentration. The median values of the box plot are 0.115 and 0.111 pN/μm/mW for Er3+ and Tm3+ doped nanoparticle, respectively.
通过课题组的模拟计算,可以通过镧系元素的掺杂浓度优化上转换纳米颗粒的捕获力,从而在相同尺寸的前提下提高捕获力。在对应的谐振波长下,相同的镱离子(Yb3+)掺杂浓度在相同尺寸下的捕获力基本相同,与荧光离子的浓度无关。

Fig. 4 | Trap stiffness measurements of lanthanide-doped nanoparticles at a different volume. a). TEM images of six typical batches of NaYF4: 20% Yb3+, 2% Er3+ nanoparticles with different volume. The sizes of the particles are gradually increased from No.1 to No. 6, as shown in their b) averaged values of diagonal diameters and c) heights. d). The averaged values of zeta potentials of the above nanoparticles. e). The trap stiffness values of single lanthanide-doped nanoparticles. The effective radius is calculated from
. For comparison, the lateral trap stiffness values of Gold and Silicon nanoparticles are quoted from previous reports by Oddershede’s group and Reece’s group, respectively. f). The calculated proportions of three factors contributing to the measured optical trapping force reported in e), ion-doping resonance-enhanced force (Reso force), zeta potential enhanced force (zeta force), and the classical electromagnetic force (EM force). All the experimental data has been collected by an oil immersion objective lens (Obj-Oil).
课题组还测试了相同镧系掺杂浓度下(NaYF4: 20% Yb3+, 2% Er3+)不同体积上转换纳米颗粒在相同激光下的捕获力。结果与模拟结果完全一直。课题组进而分析了在不同尺寸下不同种类的光力强度的比例,包括离子共振光力、表面电势光力和传统光力。当纳米颗粒大于17纳米时,这种新型的离子共振光力开始起主导效果。同时结果还展示出了25纳米的低折射率的上转换纳米颗粒捕获力比同体积的高折射率金纳米颗粒还要高30倍。

Fig. 5 | The escape velocity measurement to quantify the trap stiffness for Hela cells with and without lanthanide-doped nanoparticles (Ln-NPs). The ratio of the drag force by 976.5 nm laser to that by 808 nm laser (as control) shows the enhancement on the trap stiffness by lanthanide doped nanoparticles under the 976.5 nm trapping laser. The force ratio is obtained by measuring the ratio of escape velocity by 976.5 nm laser to that by 808 nm lase, as the force ratio value is equal to the ratio of escape velocity. a). The force ratios for seven randomly trapped Hela cells without nanoparticles (blue square dots) compared with the ten randomly trapped cells with nanoparticles (red circular dots). The insert figure shows one of the trapped cells without nanoparticle. b). The re-plot of force ratio of the ten nanoparticle-stained cells as a function of the upconversion emission intensity indicating the amount of nanoparticles. The insert figure shows one typical cell, by merging the bright field image and the fluorescence image excited by the 976.5 nm trapping laser. The Scale bar is 5 μm. The power of trapping laser at 976.5 nm and 800 nm are 90 mW and 88 mW, respectively. Each data point is averaged from four independent measurements.
最终研究团队将上转换纳米颗粒绑定到海拉细胞表面,并且用光镊抓取细胞在水中快速拖动观测细胞的脱离速度是否因为绑定了上转换颗粒而改变。结果表明,表面绑定了上转换颗粒的细胞脱离速度更高,捕获力更强,这一实验为上转换纳米颗粒在生物力学应用方向上提供了新思路。
与其他纳米颗粒相比,高掺杂的镧系粒子在电磁场中有很强的谐振特性导致光镊捕获力显著提升。这个技术使得纳米颗粒在较小的折射率差溶液中的抓取成为了可能,同时更高的捕获力可以提供更高精度的力学测量与应用。低折射率导致的低热量吸收也打开了高效、长期利用光镊抓取生物样品的大门。未来,结合上转换纳米颗粒独特的光学传感特性与光镊技术将可能实现细胞内部纳米级别的温度、pH和力的同时测量。本课题是课题组研究方向之一,其进展的顺利主要得益于金大勇教授提供的高水平科研平台与王帆博士的细心指导,该课题也得到了新南威尔士大学PeterReece博士的鼎力支持。
作者介绍
金大勇教授

金大勇,悉尼科技大学杰出教授和南方科技大学讲席教授。2007年博士毕业于麦考瑞大学,2015年任悉尼科技大学教授,2017 年任杰出教授,2019年任南方科技大学讲席教授。作为所长,他五年内先后组建了澳洲科研基金委资助的可集成生物医学器件与技术转化中心,中澳科学与研究基金资助的便携式体外诊断技术联合研究中心,悉尼科大-南科大生物医学材料和器件联合研究中心, 和悉尼科大生物医学材料及仪器研究所。金大勇教授已发表SCI高水平论文150余篇、其中包括Nature及其子刊25篇。他的专业领域涵盖了生物工程光学、纳米探针技术、生物医疗诊断、精密光学仪器、微流控芯片等领域。并于2015年荣获澳洲科研最高奖尤里卡奖交叉学科创新奖,2016年当选澳大利亚百名科技创新领军人物,2017年荣获澳洲科学院工程科学奖,以及2017年荣获澳大利亚总理奖 - 年度理学家奖。https://www.wxwenku.com/d/108750009
生物医学材料及仪器研究所主页:http://ibmd.uts.edu.au/
王帆博士

王帆博士于2014年在澳洲新南威尔士大学获得博士学位。博士期间,他致力于研究光镊操作纳米颗粒的研究。之后,王博士于2013年加入澳洲国立大学Prof Chennupati Jagadish (澳洲物理工程学院院士) 课题组,负责领导和管理光学方向。期间从事纳米激光,二维材料以及凝聚态物理的研究。从2015年开始,王博士开始转向生物光子学,加入了麦考瑞大学澳洲纳米光子学国家研究中心,以及金大勇课题组。期间负责领导课题组的生物光子学方向,博士生导师。同年加入悉尼科技大学金大勇教授团队,以及生物材料器件中心(IBMD), 继续担任生物光子学方向的负责人,博士生导师。并且开始帮助金大勇教授组建在悉尼科技大学的初始团队。王博士于2020年在悉尼科技大学电子工程系成立课题组进行光镊、激光制冷以及器件化超分辨成像技术的研究。王帆博士一共发表了SCI 论文62篇,其中包括Nature及其子刊13篇。
金大勇课题组以及王帆博士课题组诚招有从事生物光子学意向的优秀硕士以及博士学生。
文章链接

https://www.nature.com/articles/s41565-021-00852-0
免责声明:本文旨在传递更多科研资讯及分享,所有其他媒、网来源均注明出处,如涉及版权问题,请作者第一时间后台联系,我们将协调进行处理(按照法规支付稿费或立即删除),所有来稿文责自负,两江仅作分享平台。转载请注明出处,如原创内容转载需授权,请联系下方微信号。


