

撰稿| 由课题组供稿
导读
能带理论在探索固体和光子系统的物理过程中起着至关重要的作用。迄今为止,已有的与能带相关的实验研究都是基于稳态的、与时间无关的能带,而允许能带随时间演化将会带来更多丰富的物理现象,例如时间反演、超布洛赫振荡、动态聚焦等。因此,实验上研究并测量能带的动态演化显得尤为重要。近日,上海交通大学物理与天文学院袁璐琦课题组、陈险峰课题组及斯坦福大学Shanhui Fan课题组在动态能带领域取得新进展,首次报道了在人工合成空间中实现动态能带的测量,相关成果以“Dynamic band structure measurement in the synthetic space” 为题于2021年1月8日发表在Science Advances。


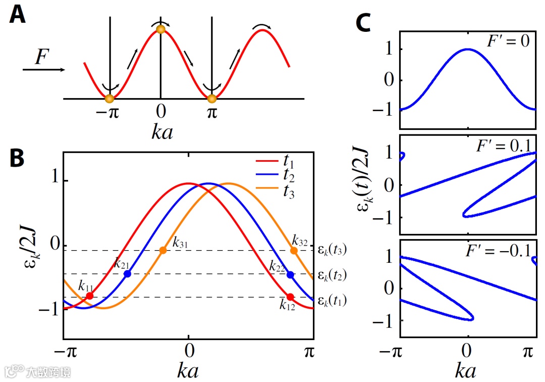
图1(A)固体晶格中电子在外力F作用下的运动;(B)动态能带的物理图像;(C)不同有效外力
作用下的动态能带理论计算结果。


图2 实验光路图。SOA:半导体光放大器,EOM:电光相位调制器,AWG:任意信号发生器,DWDM:密集波分复用器,PC:偏振控制器,PD:光电探测器。
实验上在谐振腔的共振频率附近给入射光施加一个三角波信号,用来线性调制入射光的频率。按照光波传输一圈所需要的时间(
)对输出端的透过率信号进行切分,拆分后的每一小段透过率的范围内近似认为是一个频率。将拆分后的每一小段透过率进行堆叠,即可得到系统的能带图。通过改变调制频率,可以测得不同的能带样式,如图3所示。当调制频率等于谐振频率时(图3D),没有有效的外力产生,因此系统表征为静态能带。当调制频率不等于谐振频率时,系统将产生有效的外力,引起能带的演化。频率失谐量越大,产生的有效的外力也越大,导致光子在一个周期内振荡的次数越多,从而使能带分裂的越厉害。实验上测得的不同调制频率下能带的演化,与一维固体系统在不同外力作用下的能带理论计算结果相吻合。因此,通过测量合成频率空间中光学能带的动态演化,可以来对应的表征固体系统中电子在外力作用下的运动规律。该研究成果不仅为从合成维度的角度探索固体和光子系统的动力学提供了新的视角,还为光子系统中的能带操控提供了广阔的前景。

图3 (A-E)光纤环谐振腔中不同调制频率下的能带实验测量结果;(F-J) 一维固体系统中不同外力作用下的能带理论计算结果;(K-O)动态调制的谐振腔在频率失谐条件下的能带数值模拟结果。
文章链接

https://advances.sciencemag.org/content/7/2/eabe4335
免责声明:本文旨在传递更多科研资讯及分享,所有其他媒、网来源均注明出处,如涉及版权问题,请作者第一时间后台联系,我们将协调进行处理(按照法规支付稿费或立即删除),所有来稿文责自负,两江仅作分享平台。转载请注明出处,如原创内容转载需授权,请联系下方微信号。

好看你就
点点
我

