


论文信息:
Xiaohu Wu, Ruiyi Liu, Haiyan Yu, Biyuan Wu, Strong nonreciprocal radiation in magnetophotonic crystals, Journal of Quantitative Spectroscopy and Radiative Transfer, Pre-proof.
https://doi.org/10.1016/j.jqsrt.2021.107794
研究背景
基尔霍夫定律是热辐射领域的重要定律,它指出,物体表面的光谱方向发射率等于光谱方向吸收率,这为计算物体的发射率提供了一种简单的方法。然而,最近的研究表明,传统的基尔霍夫定律只适用于互易材料,而不适用于非互易材料,如磁光材料和I型磁性韦尔半金属材料。最近,同时适用于互易和非互易材料的广义基尔霍夫定律被提出,其广泛的普适性将在未来的应用中发挥重要作用。然而,目前为止,广义基尔霍夫定律还没有被实验所验证。为了验证非互易材料的广义基尔霍夫定律,需要直接测量发射率和吸收率,先前提出过的结构只能在大角度上获得强非互易辐射,而大角度上的辐射能较小,在热背景的存在下,大角度上的发射率不容易测量。因此,提出能在尽可能小的角度上实现强非互易辐射的结构,是实验验证非互易材料广义基尔霍夫定律的必经之路。
研究内容

图1. (a) 设计结构的示意图,包括银层顶部的MPC。外加磁场方向沿y轴。(b) 当外加磁场为3 T时,|εxz|/|εzz|随波长的变化。

图2. 当银层上只有一层InAs时,(a) 吸收率;(b) 发射率;(c) 非互易辐射随厚度d1和波长的变化。

图3. 当MPC置于银层上时,在波长16 μm处,(a) 吸收率;(b) 发射率;(c) 非互易辐射随厚度d1、d2的变化。(d) 入射角为60°时的吸收率、发射率以及非互易辐射光谱。

图4. 入射角为60°时的吸收率和发射率谱随外加磁场的变化趋势。

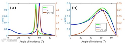
图5. 吸收率和发射率,以及非互易辐射谱随入射角的变化:(a) MPC; (b)一层InAs。

图6. 当入射角为(a) 60°和-60°;(b) 45°和-45°时,磁场沿y轴的分布。

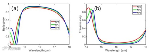
图7. 入射角为60°时,不同InAs/间隔体层数的MPC的(a) 反射率和(b) 透射率。

图8. 在(a) 45°和(b) 30°的入射角下的吸收率和发射率,以及非互易辐射光谱。当入射角为45°时,间隔层和InAs的厚度分别为4.7 μm和1.1 μm,当入射角为30°时,间隔层和InAs的厚度分别为4.53 μm和1.03 μm。
结论与展望
综上所述,我们提出了应用磁光晶体来实现小角度的强非互易辐射,在入射角为30°时,非互易辐射可以接近0.9。其机制是由于Tamm等离激元的激发,这一结论是由磁场分布所揭示的。我们相信这种磁光晶体结构在验证非互易材料基尔霍夫定律的工作中具有良好的应用前景,将发挥重要作用。
吴小虎副教授在非互易热辐射方向的成果如下:
1. Xiaohu Wu*, Ruiyi Liu, Haiyan Yu, and Biyuan Wu, Strong nonreciprocal radiation in magnetophotonic crystals, Journal of Quantitative Spectroscopy and Radiative Transfer (https://doi.org/10.1016/j.jqsrt.2021.107794).
2. Xiaohu Wu*, Zhaoxian Chen, and Feng Wu, Strong Nonreciprocal Radiation in a InAs Film by Critical Coupling with a Dielectric Grating, ES Energy & Environment (doi: 10.30919/esee8c442).
3. Xiaohu Wu, The promising structure to verify the Kirchhoff’s law for nonreciprocal materials, ES Energy & Environment 12, 46-51 (2021).
4. Zhuomin M. Zhang*, Xiaohu Wu, and Ceji Fu, Validity of Kirchhoff’s las for semitransparent films made of anisotropic materials, Journal of Quantitative Spectroscopy & Radiative Transfer 245 (2020) 106904.
-END-

免责声明:本文旨在传递更多科研资讯及分享,所有其他媒、网来源均注明出处,如涉及版权问题,请作者第一时间后台联系,我们将协调进行处理,所有来稿文责自负,两江仅作分享平台。转载请注明出处,如原创内容转载需授权,请联系下方微信号。


