

撰稿|车治辕
复旦大学光子晶体课题组一直专注于光子晶体的复杂能带结构的调控机制、实验表征技术和应用开发的研究。2018年,课题组利用研发的动量空间成像光谱系统(参见两江科技评论报道:“解密光学超材料的超自然特性——动量空间光谱成像系统”
),理论上和实验上系统阐述和表征了动量空间中的偏振涡旋拓扑结构,连续谱中的束缚态(Bound states in continuum, BICs),以及偏振奇点的拓扑演化与对称性破缺之间的联系 [1,2,3]。(参见两江科技评论报道:“PRL: 光子晶体动量空间中偏振场的调控:从BICs到奇点光学”
)
在偏振涡旋和BICs的应用研究方面,课题组提出利用动量空间偏振涡旋的调控与设计,由周期性光子晶体实现几何相位调控波前的相位涡旋,产生具有轨道角动量的涡旋光束。这种涡旋光束产生机制和方案具有无需进行光学对准,高阶贝塞尔光束近乎不衍射等特性。该工作揭示了隐藏在动量空间中的偏振和相位调控自由度,为设计基于光子晶体薄膜的光学器件提供了的思路[4](参见两江科技评论报道:“Nature Photonics:从BIC和动量空间偏振场涡旋到无需光学对准的相位涡旋光束”
)
最近,复旦大学光子晶体课题组与国防科技大学刘伟教授合作,将动量空间偏振涡旋的概念引入到光子准晶体系,细致研究了光子体系在突破了晶体的旋转对称性约束后,偏振涡旋的拓扑特性以及相应的BICs是否存在等基础问题。相关成果以“Polarization Singularities of Photonic Quasicrystals in Momentum Space”为题,发表在Physical Review Letters上[5]。
为了研究光子准晶体系动量空间中的偏振涡旋奇点,首先需要对光子准晶的能带结构进行理论上的计算和研究。课题组将能带反折叠方法应用到准晶的光子能带计算中,并利用超元胞近似提供了光子准晶计算的一般性方法。图1(a)所示是八次准晶的方形超元胞,图1(b)是相应的衍射图。由超元胞计算获得的态可通过能带反折叠过程构建出准晶的光子能带,举例来说是位于超元胞布里渊区(SBZ)的态映射到准晶的赝布里渊区(PBZ),如图1(c)所示。图1(d)-(f)是三个能带反折叠的计算实例。

图 1 基于超元胞近似和能带反折叠的光子准晶能带的计算。(a)八次准晶的超元胞;(b)相应的衍射图;(c)能带反折叠过程的示意图,位于SBZ中态通过反折叠映射到到PBZ,构成光子准晶的近似能带;(d)~(f)能带反折叠的计算实例。
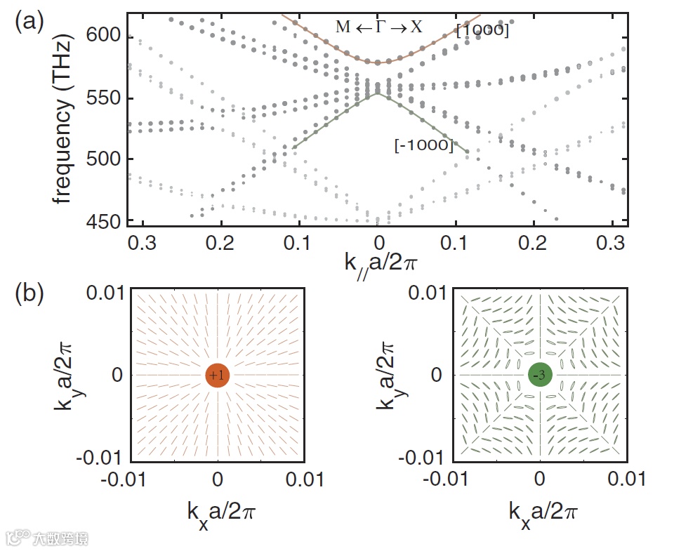
获得计算光子准晶的能带后,我们可获得任意能带上每个态的辐射远场的偏振态,将这些偏振态在x-y面内的投影映射到动量空间,可构成光子准晶的动量空间偏振分布。图2(b)是八次光子准晶平板的TM-like模式的[-1000]和[1000]带(标记在图2(a)中)的偏振结构,分别具有+1和-3的拓扑荷。

图 2 (a)八次光子准晶平板的TM-like模式的能带结构;(b)[-1000]和[1000]能带在Γ点周围的偏振场分布,表现出具有一定拓扑荷的偏振涡旋结构。
利用群对称性分析,可揭示出光子准晶偏振涡旋的拓扑特性与其对称性的关系:光子准晶的偏振涡旋受对称性保护,且因其高旋转对称性更易获得具有高阶拓扑荷的涡旋构型。另外,近场电流的多极辐射分析也证实光子准晶的非简并的偏振奇点受对称性保护。图3(a)是A1态的多极子成分,主要多极子N10沿z方向的庞加莱系数是+1,与其相应的偏振涡旋的拓扑荷一致(即图2(b)左图);图3(b)是B1态的多极子成分,对应于图2(b)右图。
通过多极子辐射的视角进一步表明,由于缺乏平移对称性,光子准晶的模式实际上有无数个辐射通道,即使所有的主要辐射通道局限在小范围内,电磁能量还是会部分地从奇点周围的通道泄漏到自由空间。因此,与周期性光子晶体相比,光子准晶在Γ点的偏振奇点是准BICs,即具有高Q的漏模。图2(c)和(d)分别是A1态和B1态对应的能带在Γ点周围的Q因子分布,在只考虑0级衍射时,偏振奇点的Q因子才会趋向于无穷大。

图 3 (a)光子准晶平板TM-like模式的A1态的多极子成分,其主要多极子N10沿z方向的庞加莱指数为+1,与对应的偏振涡旋的拓扑荷一致;(b)B1态的多极子成分,主要多极子M44对应着拓扑荷为-3的偏振涡旋;(c),(d)模拟计算的在Γ点周围的Q因子分布。
实验上,课题组设计并加工了等离激元准晶结构和光子准晶平板结构,利用研发的动量空间成像光谱系统获取角度分辨反射(透射)谱来观测这一现象。图4(a)是八次等离激元准晶结构的反射谱,能带上消失的点表明相应的态是准BICs。通过分偏振测量(图4(c)所示)的反射谱,提取出的动量空间偏振态分布(图4(d)所示)也与数值计算和理论分析相吻合。

图 4 实验验证结果。(a)表面等离激元准晶结构的角分辨反射谱,能带上消失的点是准BICS;(b)准晶结构的SEM图;(c)分偏振测量的反射谱;(d)从分偏振反射谱提取出的偏振场分布。
本工作是复旦大学光子晶体课题组围绕光子晶体动量空间偏振涡旋和BICs系列工作的扩展,首次将偏振涡旋的概念引入到准周期体系。通过对光子准晶能带结构和辐射远场偏振态的研究,融合了奇点光学、拓扑光子学和准周期光子学等光学分支中几个前沿的基本概念:偏振涡旋(偏振奇点)、BICs、拓扑和准周期。相关研究得到了科技部重点研发计划、国家自然科学基金重大科研仪器项目、上海市科委等项目的支持。国防科技大学前沿交叉学科学院刘伟教授为本工作重要的合作者。复旦大学物理系博士研究生车治辕和张彦彬分别为第一和第二作者,复旦大学物理系资剑教授和石磊教授为通讯作者。
[1] Y. Zhang, A. Chen, W. Liu, C. W. Hsu, B. Wang, F. Guan, X. Liu, L. Shi, L. Lu, and J. Zi, Observation of Polarization Vortices in Momentum Space, Phys. Rev. Lett. 120, 186103 (2018).
[2] A. Chen, W. Liu, Y. Zhang, B. Wang, X. Liu, L. Shi, L. Lu, and J. Zi, Observing vortex polarization singularities at optical band degeneracies, Phys. Rev. B 99, 180101(R) (2019).
[3] W. Liu, B. Wang, Y. Zhang, J. Wang, M. Zhao, F. Guan, X. Liu, L. Shi, and J. Zi, Circularly Polarized States Spawning from Bound States in the Continuum, Phys. Rev. Lett. 123, 116104 (2019).
[4] B. Wang, W. Liu, M. Zhao, J. Wang, Y. Zhang, A. Chen, F. Guan, X. Liu, L. Shi, and J. Zi, Generating optical vortex beams by momentum-space polarization vortices centred at bound states in the continuum, Nat. Photonics 14, 623 (2020).
[5] Z. Che, Y. Zhang, W. Liu, M. Zhao, J. Wang, W. Zhang, F. Guan, X. Liu, W. Liu, L. Shi, and J. Zi, Polarization Singularities of Photonic Quasicrystals in Momentum Space, Phys. Rev. Lett. 127, 043901.

https://doi.org/10.1103/PhysRevLett.127.043901

免责声明:本文旨在传递更多科研资讯及分享,所有其他媒、网来源均注明出处,如涉及版权问题,请作者第一时间后台联系,我们将协调进行处理,所有来稿文责自负,两江仅作分享平台。转载请注明出处,如原创内容转载需授权,请联系下方微信号。



