


通讯作者:Kenji Yasuda, Pablo Jarillo-Herrero
2D铁电由于其原子层厚度的强极化效应,能够用于合成各种异质结构。在实验中构建这种异质结构具有非常大的难度,这是因为构建过程需要层状极化晶体材料。有鉴于此,麻省理工学院Pablo Jarillo-Herrero(魔角石墨烯发现者之一,曹原导师)、Kenji Yasuda等报道从非铁磁性材料中通过vdW组装构建2D铁电材料,在平行堆叠结构双层BN中实现了层间极化。这种铁电性质在室温中稳定存在,同时石墨烯的迁移率得以保持,为构建超薄非易失性存储器件提供可能性。
铁电材料由于具有电场调控极化效应,广泛应用于非易失性存储、高节点常数电解质、电动执行器、热释电传感器等领域,降低铁电材料的厚度是实现铁电材料用于密集存储、低功耗的重要方法,在室温条件中实现原子层厚度铁电材料难以实现,这是因为去极化作用目前仅仅在三种材料中发现:钙钛矿、HfO2、2D vdW材料。其中2D vdW材料具有较高应用前景,这是因为石墨烯等2D vdW材料能够很好的组装到铁电器件中的同时保持其铁电性质,因为2D vdW材料不含有悬挂键。目前人们发现具有铁电应用前景的2D vdW材料较少,包括CuInP2S6、In2Se3、MoTe2、WTe2。
通过设计2D vdW材料的异质结构,有望实现物理性质上的突破,比如当石墨烯与BN结合,或者将多层石墨烯以较小角度进行旋转,能够将石墨烯本征Dirac能带结构改变,从而为探索电子关联、拓扑能带等性质提供机会。
本文作者发现,vdW堆叠能够调控电子能带结构,同时能够改变晶体对称性,从而从本征不具有铁电性质的材料中构建铁电性质。具体的,作者在BN中展示了这种引发铁电性质的方法。正常条件中BN晶体的堆叠形式为AA′型,当改变堆叠结构,以AB或者BA形式堆叠形成亚稳态,其中N原子的pz轨道与相邻层中B原子的pz轨道交叠,导致N原子的pz轨道结构畸变,产生电偶极矩并产生面外极化现象。
作者通过垂直压电力显微镜PFM(vertical piezoelectric force microscopy)表征AB堆叠双层BN的垂直方向铁电性质,作者首先构建了0°双层BN材料,这种低对称性双层BN材料产生具有独特AB、BA交错极化现象(staggered polarization)的moiré图案结构,通过PEM测试发现双层扭角BN表现三角型图案,相邻三角形表现明显的对比度差异,对比实验发现在单层BN中不存在这种现象。
电场调控极化效应改变。作者将双层BN构建为器件,考察了其不同电场条件中极化程度的变化。作者通过在BN中加入不同电压,随后考察电阻变化情况,发现双层BN在施加偏压后,电化学正向/反向扫描的电化学变化曲线区别,产生回滞效应,验证了极化现象。
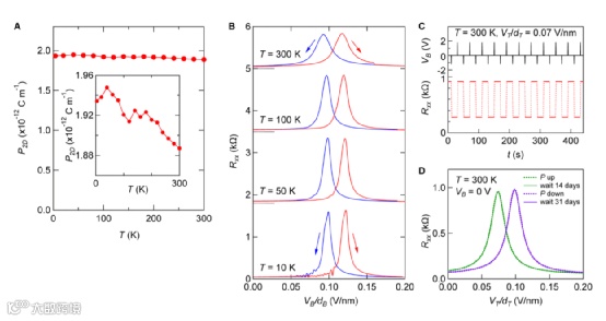
作者对双层BN材料的铁电性质进行载流子浓度(nH)研究,通过霍尔电阻测量中得到载流子密度,发现电化学扫描过程中载流子浓度发生突变,对应于铁电转变效应。正向扫描/反向扫描之间的载流子浓度区别2Δn=2.6×1011 cm-2,通过这个数据作者进一步得出双层BN的极化幅度(magnitude of the polarization)的实验结果为2.25×10-12 C m-1,这个结果与理论预测结果相符(2.08×10-12 C m-1)。
作者考察了双层BN材料器件的温度相关铁电性能。作者发现极化导致载流子变化Δnp并未随着温度变化而改变,这种与温度无关的极化现象由于双层BN材料中面外极化现象与面内剪切运动之间产生非常独特的耦合效应,这种温度不敏感性来自于层间原子之间的强共价相互作用,导致原子的面内热振动受到抑制,因此实现了对温度不敏感的铁电极化现象。
同时,作者在室温中表征了铁电效应用于存储器件,发现器件在室温条件中能够通过施加较低的电压实现注入/读取极化。在10 K、50 K、100 K、300 K不同温度中发现都表现了铁电回滞现象,电阻的峰强度并未发生改变,区别仅仅在于电阻峰发生宽化,展示了其铁电性能在温度变化过程中保持稳定的特征。在室温条件中分别测试器件的连续铁电变化性能、长时间铁电存储性能,发现室温铁电存储、转变都非常稳定。
Kenji Yasuda et al. Stacking-engineered ferroelectricity in bilayer boron nitride, Science 2021,
DOI: 10.1126/science.abd3230
https://science.sciencemag.org/content/early/2021/05/26/science.abd3230
https://arxiv.org/abs/2010.06600
免责声明:本文旨在传递更多科研资讯及分享,所有其他媒、网来源均注明出处,如涉及版权问题,请作者第一时间后台联系,我们将协调进行处理,所有来稿文责自负,两江仅作分享平台。转载请注明出处,如原创内容转载需授权,请联系下方微信号。
