

撰稿| 由课题组供稿
导读
近日,南京大学固体微结构物理国家重点实验室、人工微结构科学与技术协同中心、现代工程与应用科学学院的陈延峰教授,卢明辉教授课题团队设计和实现了一种受能谷调制具有拐角选择性的高阶拓扑态,并通过构造一类二维声子晶体在实验中进行了验证。相关工作以Valley-Selective Topological Corner States in Sonic Crystals为题发表于Physical Review Letters。南京大学副研究员张秀娟,博士生刘乐为论文的共同第一作者,卢明辉教授和陈延峰教授为通讯作者。

具有无带隙边界态的拓扑物质相在无损耗动力学输运方面有革命性应用的潜力,因此自量子霍尔效应开始便一直处于相当活跃的研究领域,最近,通过打开边界态带隙,人们观察到一种具有更低维度的角(棱)态,相应地,高阶拓扑绝缘体这一概念被引入拓扑领域,有望在低维拓扑波导设计、拓扑集成等方面产生启发和应用。这类非平庸的能带拓扑指出高阶拓扑态受相应的晶体对称性保护,通常局域在固定结构的角(棱)上,缺乏调控和选择的灵活性。
本文利用高阶拓扑和能谷自由度之间的相互作用,设计和实现了具有拐角选择性的高阶拓扑态,并在二维声子晶体的实验中进行了验证。文章设计的声子晶体结构由具有各向异性的散射体的三角晶格组成,图1(a)为声子晶体的俯视图,通过调节旋转角
可打开布里渊区高对称点
上的二重简并狄拉克点。由图1(b)中
在
的色散曲线可以看到,随着简并点的打开,K点附近的两条能带发生反转,进而实现拓扑相变,相应的拓扑相图见图1(c)。高对称点处本征态的声压分布和能流方向展现出这类声子晶体特有的能谷依赖的特征。

图1.(a)谷声子晶体结构示意图;(b)能带结构和高对称点K处本征态的声压分布和能流方向;(c)拓扑相图。
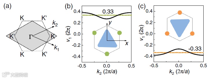
文章进一步通过极化理论对系统的高阶拓扑性质进行了表征。具体地,人们习惯使用Wannier中心(即局域Wannier函数的最大值,与系统的体极化参数息息相关)来表征拓扑边界态的存在。二维系统中体极化参数可以通过对布里渊区的贝里相位矢势的迹积分进行计算。图2中(a)表示计算中使用的布里渊区,由六边形等效变换为菱形,(b),(c)相应为上三角单元
和下三角单元
的体极化参数及其Wannier表象。非零的极化参数证明系统具有非平庸的高阶拓扑性质,支持低维拓扑角态,而两种单元中Wannier表象的区别则证明了高阶拓扑态能谷锁定的特征。

图2. (a)计算体极化参数使用的布里渊区;(b),(c)上、下三角结构中的体极化参数以及对应的Wannier表象示意图。
为了具象高阶拓扑角态的能谷锁定特征,我们构建了三角和六角的两种结构,图3(a),(b)分别表示上三角、下三角单元组成的三角结构,Wannier中心的分布决定了角态的出现与否,可以看到(a)中出现了三个角态而(b)中仅有边界态的出现。同样的几何构型,但前者表现出角态的特征而后者不具备,这正是因为受能谷调制,高阶拓扑态展现出了拐角选择性。图3(c)和(d)为对应六角构型的示意图及Wannier中心分布情况,可以看到六个几何拐角中,只有三个支持角态,而且其出现位置与散射体的旋转角度相关,亦说明了角态的选择性。对此,文章进一步进行了数值模拟和实验表征。图3(e)-(f)上部分为计算的本征谱,下部分为实验测量的透射谱和声场扫描图,可以看出实验与计算符合良好。

图3.(a),(b)三角和(c),(d)六角构型的结构示意图以及对应Wannier中心的分布,后者反映出谷声子晶体中高阶角态的能谷依赖性质;(e)-(h)模拟计算和实验测量验证高阶角态的能谷依赖和选择性。
基于本文设计的这一类具有拐角选择性的高阶拓扑态,可实现在复杂结构中对低维局域模式进行拓扑调控。作为示例,本文设计了如图4(a),(b)的复杂构型,该构型含有11个几何拐角。Wannier表象分析显示,由于受能谷调制,这些拐角上角态可通过调节散射体几何转角选择性地进行“点亮”和“熄灭”。实验上也对这一现象进行了表征,见图4(c),(d)。需要指出,本文构建的系统中高阶拓扑态的能谷依赖特征不仅仅在上述的上三角、下三角单元中出现,而且具有普适性,由其体的拓扑性质决定(如图1(c)所示)。

图4.(a),(b)上、下三角单元组成的复杂构型,包含多个几何拐角,其上角态的“点亮”和“熄灭”受能谷调制;(c),(d)对应的实验表征,包括归一化频谱测量与声场扫描。
总的来说,本文在二维声子晶体中设计和实现了谷高阶拓扑绝缘体并在实验上进行了验证。受能谷调制,拐角拓扑角态表现出有趣的能谷依赖特征,即通过旋转散射体角度,可以实现角态在不同几何拐角上的“点亮”与“熄灭”。该研究证明了高阶拓扑与能谷之间存在耦合作用,可以通过能谷控制角态的激发,这为低维谷拓扑学提供了新思路。同时本文报道的谷高阶拓扑绝缘体的原理可以拓展到光子和其他经典玻色系统中,可能对集成光子和集成声子中的拓扑调控、拓扑激光、能量收集等方面产生启发和应用。该研究得到了国家重点研发计划,国家自然科学基金,江苏省自然科学基金等相关项目的支持。
文章链接

https://journals.aps.org/prl/abstract/10.1103/PhysRevLett.126.156401
免责声明:本文旨在传递更多科研资讯及分享,所有其他媒、网来源均注明出处,如涉及版权问题,请作者第一时间后台联系,我们将协调进行处理(按照法规支付稿费或立即删除),所有来稿文责自负,两江仅作分享平台。转载请注明出处,如原创内容转载需授权,请联系下方微信号。



