

Fig. 1 Structrual configurations and the phonon spectra.
一维铁电材料在开发小型化和高密度铁电器件中有着良好的应用前景。然而,大多数报道的一维铁电材料都是基于传统铁电材料的纳米结构,如PbTiO3和BaTiO3的纳米线或纳米管,它们可能存在去极化电场、表面重建、悬空键和大直径等问题,从而限制了它们的实际应用。本工作预测了一种可从范德瓦尔斯晶体中获取的本征一维铁电体,或可为未来一维铁电材料的探索提供新思路。来自澳大利亚昆士兰科技大学的杜爱军教授团队通过使用密度泛函理论计算和蒙特卡洛模拟,报道了一类具有天然一维几何结构的铁电纳米线,即一维NbOX3 (X=Cl、Br和I)。声子谱和分子动力学计算表明一维NbOX3具有良好的动力学和热力学稳定性。由于结合能小,一维NbOX3有望直接从实验制备的范德瓦尔斯体相中剥离出来,如同从石墨中剥离石墨烯一样。Nb和O的轨道杂化使一维NbOX3呈现出自发电极化,并且具有超低的铁电转变能垒、低矫顽电场和高居里温度,显示了其在纳米级低功耗铁电设备中应用的巨大潜力。此外,一维NbOX3的独特的双通道结构使反铁电亚稳态的出现成为可能,这为探索一维尺度下复杂铁电构型提供了理想的平台。该研究结果不仅提出了一类新型的本征一维铁电材料,并且指出了直接从范德瓦尔斯晶体探索本征一维铁电体的可行途径。我们相信这项工作也将启发更多对一维范德瓦尔斯材料中奇异而丰富的物理现象的研究。该文近期发布于npj Computational Materials 7: 135 (2021)。

Fig. 2 Energy map and NEB results.
a–b: The energy contour plot (in meV) of the 1D NbOX3 unit cell as a function of the polar displacements of two Nb ions for NbOCl3 and NbOBr3,, respectively. The energy of the PE phases is set to zero.
Editorial Summary
One-dimensional (1D) ferroelectric(FE) materials are highly sought for the development of miniaturized and high-density ferroelectric devices. However, most of the reported 1D ferroelectrics are nanostructured conventional FE materials like PbTiO3 and BaTiO3, which may suffer from depolarization electrostatic field,surface reconstruction, dangling bonds, and large diameters, thus limiting their practical applications. This work predicts a class of intrinsic 1D ferroelectric material from van der Waals crystals, which may provide new directions for future exploration of 1D ferroelectric materials.

c: The energy contour plot (in meV) of the 1D NbOX3 unit cell as a function of the polar displacements of two Nb ions for NbOI3. The energy of the PE phases is set to zero. d: Energy profiles along the NEB
pathway for the polarization switching of 1D FE NbOX3. The inset shows the structure evolution from FE to AFE states through the transition state (TS).
Here, a class of ferroelectric nanowires with inborn 1D geometry, namely 1D NbOX3 (X = Cl, Brand I), has been reported by Prof. Aijun Du's team from Queensland Universityof Technology, Australia, using density functional theory calculations and Monte Carlo simulations. 1D NbOX3 could be directly exfoliated from the experimentally fabricated van der Waals (vdW) bulk phases due to the small binding energies and possess great dynamical and thermal stabilities. The hybridization of empty Nb d orbitals and O p orbitals (d0 rule) leads to sizable spontaneous polarization with ultralow switching barriers, low coercive fields, and high Curie temperatures, promising great applications in low energy-cost FE devices. Moreover, the unique double-channel structure of 1D NbOX3 enables the emergence of antiferroelectric metastable states, offering a great platform to explore complex ferroic orders down to the 1D limit.
These results not only highlight 1D NbOX3 as a novel class of intrinsic 1D FE material showing great potential for applications in nanoscale FE devices of broad interest, but also points out a feasible route for the exploration of intrinsic 1D ferroelectricity directly from van der Waals crystals. The authors believe this work would also motivate more research efforts on the exotic and rich physics in the purely 1D limit from vdW materials. This article was recently published in npjComputational Materials 7: 135 (2021).

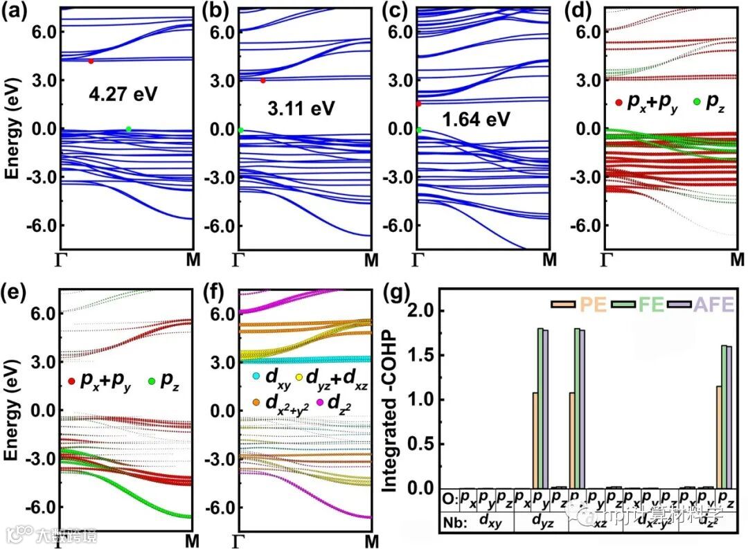
Fig. 3 Band structures and integrated -COHP.
原文Abstract及其翻译
Purely one-dimensional ferroelectricity and antiferroelectricity from vander Waals niobium oxide trihalides(范德瓦尔斯三卤化铌氧化物中的纯一维铁电性和反铁电性)
Lei Zhang, Cheng Tang, Stefano Sanvito & Aijun Du
Intrinsic one-dimensional (1D) ferroelectric materials are rarely reported but are highly sought to break the size limit of nanostructured conventional ferroelectrics. Herein, we report a class of inborn 1D ferroelectric nanowires, namely 1D NbOX3 (X = Cl, Br, and I), that can be directly obtained from experimentally realized van der Waals crystals. In addition to the sizable spontaneous polarization, 1D NbOX3 exhibits low ferroelectric switching barriers, small coercive electric fields, and high critical temperature, governed by the hybridization of the Nb empty d orbitals and the O p orbitals (d0 rule). Moreover, the double-channel structure of 1D NbOX3 also enables the emergence of 1D antiferroelectric metastable states. Our findings not only propose a class of 1D ferroelectric materials toward the development of miniaturized and high-density electronic devices, but also pave an avenue of obtaining intrinsic 1D ferroelectrics from van der Waals crystals.

Fig. 4 Double-well potential and MC simulation results.
摘要:本征的一维铁电材料可以打破纳米化传统铁电材料的尺寸限制但却鲜有报道。本研究报道了一类源于范德瓦尔斯晶体的天然铁电纳米线,即一维NbOX3(X=Cl,Br和I)。一维NbOX3的铁电性源于Nb空d轨道和O p轨道的杂化(d0规则),除了可观的自发极化外,1D NbOX3还具有低铁电转换能垒,小矫顽电场和高临界温度。此外,NbOX3纳米线的双通道结构也使一维反铁电构型可以作为亚稳态出现。本研究不仅提出了一类在小型化和高密度电子设备中具有良好应用前景的一维铁电材料,还打开了从范德瓦尔斯晶体中获得天然一维铁电材料的新机遇。
微信分享


免责声明:本文旨在传递更多科研资讯及分享,所有其他媒、网来源均注明出处,如涉及版权问题,请作者第一时间后台联系,我们将协调进行处理,所有来稿文责自负,两江仅作分享平台。转载请注明出处,如原创内容转载需授权,请联系下方微信号。


