

撰稿|由课题组供稿

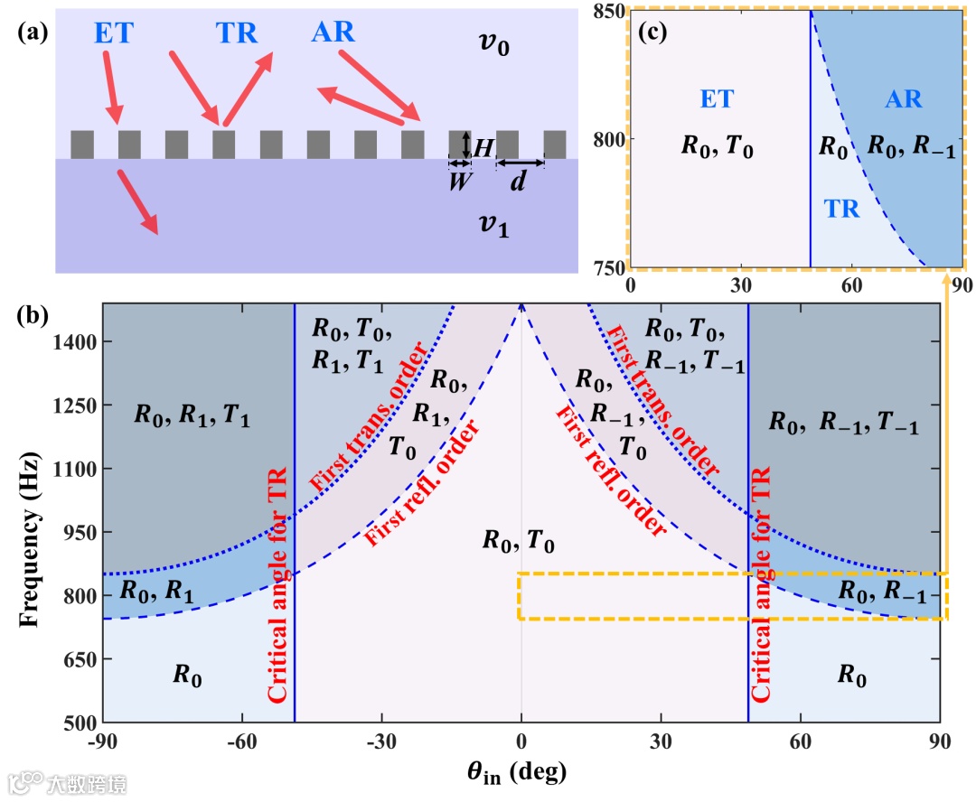
波长尺寸的水中声学超格栅在人体健康监测和海洋勘探等领域中具有广泛的应用前景。此外,在实际应用场景中,研究人员也迫切希望将多种声场操控功能集成在同一个格栅结构中。近日,华南理工大学的梅军教授课题组提出了一种结构简单的多功能水中声学超格栅(Multifunctional Waterborne Acoustic Metagratings),单个格栅即可实现不同的波场操控功能,如异常透射 (ET)、全反射 (TR) 、异常反射 (AR)等,且各种功能之间是可以互相切换的。该研究不仅为多功能平面声学器件的设计提供了一个范例,而且为水下集成声学器件的开发提供了一个可行的解决方案。该研究成果以“Multifunctional Waterborne Acoustic Metagratings: From Extraordinary Transmission to Total Reflection and Abnormal Reflection”为题发表在《Physical Review Applied》杂志上。梅军教授为该工作的通讯作者,博士生凡利娟为论文第一作者,华南理工大学为论文第一署名单位。
近些年,超格栅(Metagrating)对声波波前的操控引起广泛的注意,包括异常反射和透射、隐形斗篷、声涡旋等在内的多种功能先后得以实现。目前大部分的研究工作都是基于空气传播的声波,相对而言,基于水中传播声波的研究工作较少。一方面,由于水的声学阻抗远大于空气,那么水与固体材料的界面不能认为是刚性界面,因此固体材料内部的弹性振动模式不可避免地参与到与入射水声的相互作用中,从而对散射波的传播方向和衍射效率产生重要影响。这不仅增大水声超格栅设计的复杂度,而且带来了更丰富的物理现象和规律。另一方面,在声学海洋学、人类健康监测和海洋勘探等各种水下应用中,人们期望对水声进行高效操纵,这些应用是空气声研究无法直接替代的。更为重要的是,在很多应用场合下,人们期待多种不同的声场操控功能可以集成在同一个格栅结构中。因此,水中多功能声学超格栅的研究具有重要的科学意义与实用价值。
为了同时高效率地控制反射波和透射波,声学介质的折射率至关重要,但是自然界没有提供具有适当折射率的声学材料给我们选用。为此,该课题组利用有效介质理论(Effective Medium Theory)构建人工流体材料,其声学折射率经过有意设计,从而实现对反射波和透射波的同时高效控制。这种基于有效折射率的设计方案,与以往的声学超格栅研究有着很大的不同。该课题组利用这种新颖的思路,将波动衍射分析、有效介质理论,和智能优化算法完美结合起来,成功地展示了数种水下多功能超格栅,每种声场操控功能,无论是是异常透射(ET)、全反射(TR),还是异常反射(AR),都具有近乎百分之百的效率。更有趣的是,通过将多个目标功能编码到不同的工作频率和入射角度上,在同一个栅格结构上,可以通过简单地改变操作频率或改变入射角,就能实现不同功能之间的切换。由于声格栅的厚度在波长量级,该工作不仅提出了一种高效率的设计方法来实现多用途的声波波前操控,也为水下应用可集成平面声学器件的开发提供了可行的解决方案。该项工作得到了国家自然科学基金和广东省基础与应用基础研究基金的支持。







图4 平面波从下方入射到超格栅时的衍射效率和总场图。

https://journals.aps.org/prapplied/abstract/10.1103/PhysRevApplied.16.044029
免责声明:本文旨在传递更多科研资讯及分享,所有其他媒、网来源均注明出处,如涉及版权问题,请作者第一时间后台联系,我们将协调进行处理,所有来稿文责自负,两江仅作分享平台。转载请注明出处,如原创内容转载需授权,请联系下方微信号。


