灵魂1问:为什么做这个事
二氧化碳还原(CO2R)是一种重要的电合成反应,可以将CO2转化为高价值的燃料和化学品,同时促进可再生能源存储和减少CO2排放。
然而,CO2R的工业化面临以下挑战:CO2捕获成本高且效率低;CO2在碱性电解液中的利用率低,导致大量CO2损失;电解液回收和产品分离成本高昂;现有的CO2R系统需要高浓度碱性电解液,导致CO2吸收效率低且容易发生CO2交叉污染。这些问题限制了CO2R的工业化应用,因此需要一种系统性的解决方案来优化成本和提高效率。
灵魂2问:前人如何解决
为了解决上述问题,前人进行了以下尝试:
CO2捕获:传统的湿化学吸收法(如使用sp3胺)存在高能耗、腐蚀和吸收剂降解等问题;电化学介导的碳捕获(如使用醌类化合物)缺乏可靠的吸收剂。
CO2利用效率:连续流电解槽(如零间隙膜电极组件)虽然可以实现高电流密度,但由于碱性电解液中OH⁻离子浓度高,导致CO2利用率低。
电解液回收和产品分离:传统的酸碱中和法不仅需要大量酸,还面临严重的腐蚀问题,且无法直接回收电解液。然而,这些方法的共同问题是:缺乏一个集成系统来同时解决CO2捕获、电解液回收和产品分离的问题。未能实现CO2的高效利用和闭环循环,导致成本高且难以工业化。
灵魂3问:创新思路
本文提出了一种集成的电化学回收与分离系统(ERSS),通过在水电解系统的阳极和阴极之间插入一个离子分离模块(ISM),实现了以下功能:利用电解水产生的质子酸化CO2R流出的电解液,释放高纯度CO2。通过离子交换膜回收KOH电解液,同时分离CO2R产物。将回收的KOH用于空气或烟气中的CO2捕获,或直接作为CO2R电解液,实现CO2捕获、转化和利用的闭环循环。
灵魂4问:新思路的难点
本文提出的ERSS系统面临以下难点:离子选择性:需要确保离子交换膜能够高效分离不同离子(如K⁺、OH⁻、CO3²⁻等),同时防止小分子(如醇类和羧酸类)的渗透。系统稳定性:需要在长时间运行中保持离子交换膜的性能和系统的稳定性。成本和能耗:需要在实现功能的同时,降低系统的运行成本和能耗,以提高经济性。
灵魂4问:新思路的难点
本文提出的ERSS系统面临以下难点:离子选择性:需要确保离子交换膜能够高效分离不同离子(如K⁺、OH⁻、CO3²⁻等),同时防止小分子(如醇类和羧酸类)的渗透。系统稳定性:需要在长时间运行中保持离子交换膜的性能和系统的稳定性。成本和能耗:需要在实现功能的同时,降低系统的运行成本和能耗,以提高经济性。
灵魂5问:如何应对新难点
作者通过以下方式应对上述难点:
材料选择与设计:使用了高性能的离子交换膜(如Nafion 117),并通过实验验证了其对不同离子和小分子的选择性。
系统优化:通过调整操作条件(如电压、流速等)和优化系统设计,提高了系统的稳定性和效率。
实验验证:通过模拟实验和实际应用测试,验证了ERSS系统的有效性。结果显示:KOH回收率达到94.0%,CO2R产物分离效率达到86.2%。与传统酸碱中和法相比,ERSS系统每回收1吨KOH可节省$119.76。系统能够稳定运行100小时以上,且在实际应用中表现出良好的性能。此外,作者还提出了将ERSS系统与电化学合成系统(ECS)集成的概念,进一步扩展了其应用范围和经济性。
图 碱性CO2R电解槽与ERSS系统耦合示意图
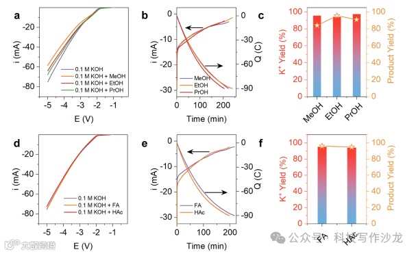
图 ERSS 用于 KOH 回收和有机分子分离的概念验证
图 ERSS 在 KOH 回收、CO2 捕获以及碳酸盐/碳酸氢盐电解质中有机分子分离方面的概念验证
图 ERSS 在 KOH 回收、CO2 捕集和实用碱性 CO2R 产品分离方面的性能评估
图 拟议的 ECS 和 ERSS 集成以及技术经济和能源成本分析

