
水凝胶是一类能保持大量水分且具生物相容性的三维结构凝胶,部分水凝胶还可对pH值、温度、电场和光有独特响应并产生物理化学结构的变化,从而在智能传感器、生物工程和软体机器人等领域广泛应用。近年来,水凝胶也开始应用于太阳能驱动的水蒸发、脱盐、水净化和消毒以及太阳能驱动的水-电-氢发电等领域。有报道指出,通过调节聚合物网络与水分子之间的相互作用,水凝胶太阳能蒸发器(SVG)可在一个阳光下(光强度约1000Wm-2)达到相当高的水蒸发速率。由于蒸发发生在水凝胶界面,合理设计蒸发材料表面微结构对于太阳能水蒸发尤为重要。为了制造出复杂三维结构的水凝胶功能器件,基于立体光刻的微型 3D 打印方法越来越受欢迎。
近期,哈利法大学的张铁军教授团队提出了一种新型的三维功能化水凝胶器件制备方法。该团队利用新型微立体光刻技术(nanoArch S130,摩方精密)实现了水凝胶的高精度3D打印,并将金属盐离子引入到水凝胶单体混合物p(NIPAm-co-PEGDA)中,最终获得具有高吸光性能的含氧化铁纳米颗粒 (Fe3O4NPs)水凝胶太阳能蒸发器。该制备方法成功解决了3D打印复合材料中的多重问题,例如不均匀的颗粒分布、团聚、固化光的散射及其带来的打印质量和分辨率恶化。利用该方法制成的复合水凝胶结构表现出了优异的光吸收性能和快速毛细力水传输性能,在非聚光情况下实现了5.12kgm-2h-1的超高水蒸发率。相关成果以“Direct solar vapor generation with micro-3D printed hydrogel device”为题发表在《EcoMat》期刊上。
图1. (a)基于3D打印的含金属纳米颗粒水凝胶NPH复合材料的 SVG 装置示意图。(b)在水凝胶PEGDA泡沫和互连的微通道网络内毛细力驱动的水输运。(c) 用Fe3O4纳米颗粒加强SVG蒸发表面的光吸收能力。
该研究中,含金属纳米颗粒的水凝胶(NPH)太阳能水蒸发器装置如图 1(a) 所示,它包含两个主要组件:(i)3D打印的NPH各向异性结构,蒸发表面具有 Fe3O4纳米颗粒,用以增强太阳能吸收,而底部层则嵌入了使用NPH打印的互连微通道; (ii)作为毛细材料的超亲水PEGDA泡沫和微通道网络(微通道宽为250µm)。团队成员使用面投影微立体光刻技术(nanoArch S130, 摩方精密)完成器件的制备。为了通过微型 3D 打印技术制造NPH太阳能水蒸发器,该团队制备了两种打印材料配方。基础配方是一种光固化/温度响应型NPH水凝胶。一旦固化后,单体会交联产生一个微型多孔表面(孔径为 5±0.8µm),如图 2 中的扫描电子显微镜(SEM) 图像所示。为了将Fe3O4纳米颗粒混入水凝胶交联网络中,团队首先将金属盐Fe(NO3)3和FeCl2混入水凝胶打印材料的基础配方中,打印完成后,将器件置入碱性条件下,Fe3+ 和 Fe2+会共沉淀形成Fe3O4纳米颗粒。由此,最终制备的NPH器件表面呈漆黑色,反映了薄膜较强的光吸收能力。
在日常阳光照射下,该NPH器件的水蒸发速率约为5.12kgm-2h-1。这种超高的蒸汽生成率与Fe3O4纳米颗粒诱导的水凝胶网络内的润湿性转换和水活化能力有关。为了进一步研究该装置的整体稳定性,该团队还在不同强度的太阳辐射和盐水(3.5 wt% NaCl溶液)下进行了一系列实验。与最初的实验结果一致,3D打印的NPH水凝胶装置在500、1000和1500Wm-2的模拟太阳强度照射下表现出了显著的蒸发速率,分别为3.96、5.12和6.48kgm-2h-1,分别如图3所示。与先前报道的基于水凝胶的材料相比,该工作提出的NPH蒸发器表现出超高效的太阳能水蒸发能力,在太阳能污水处理和海水淡化方面具有巨大应用潜力。
图2 3D打印的NPH水凝胶的微观形貌表征。(a-b)NPH水凝胶和Fe3O4纳米颗粒的低倍和高倍SEM图像。 (c)纯NPH水凝胶和具有Fe3O4纳米颗粒的NPH水凝胶的FTIR光谱。(d)NPH水凝胶内Fe3O4纳米颗粒的XRD谱。
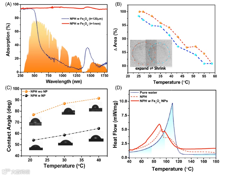
图3. (a)在120µm和1mm的薄膜厚度下,含Fe3O4颗粒的NPH水凝胶的UV-Vis-NIR吸收光谱。(b)当水凝胶周围的水被加热时,用光学显微镜捕获的3D打印的NPH水凝胶的温度响应。(c)纯NPH水凝胶和含Fe3O4颗粒的NPH水凝胶的接触角及其温度的影响。(d) 水在含Fe3O4颗粒的NPH水凝胶内的DSC热流信号
图4. 3D打印的NPH水凝胶器件的太阳能水蒸发性能。(a-b)在非聚光情况下,3D打印的NPH水凝胶装置的水蒸发速率。(c)3D打印的NPH水凝胶装置在不同太阳强度照射下的水蒸发速率。插图为相应的红外图像,显示了太阳能吸收表面的温度分布。(d)3D打印的NPH水凝胶器件的性能稳定性实验。(e)3D打印的NPH水凝胶器件用于太阳能海水(3.5wt%NaCl水溶液)蒸发时的蒸发速率。(f)NPH水凝胶器件的蒸发速率与已有文献报道的数值比较。
原文链接:
https://onlinelibrary.wiley.com/doi/full/10.1002/eom2.12157
最受关注文章 TOP 5
Science:仿南洋杉3D毛细锯齿结构表面流体自主择向
《Science Advances》:仿松针多级非对称结构超疏水表面多尺度液滴定向输运
中国制造业企业首次 丨 重庆摩方精密获全球光电行业最高奖荣誉— Prism Awards(棱镜奖)



