

随着通信技术的快速发展,近些年的通信容量实现了快速增长,传统的光纤通信网络已经难以满足当前高速通信的需求。增大通信网络的容量和提高通信速度的一种方法是开发太赫兹(Terahertz, THz)波段的光纤通信空间维度。太赫兹波是介于微波和红外光之间的一种电磁波,频率介于0.1THz到10THz之间,由于它带宽大和传输速度快以及可以提供点对点的网络拓扑结构而备受关注。而在空间维度资源中,基于轨道角动量(Orbital Angular Momentum,OAM)的模分复用技术由于携带不同拓朴荷数的相互正交的轨道角动量模式成为扩大通信容量的一种非常有潜力的方案。轨道角动量具有全新的电磁波自由度特性,具有轨道角动量特性的电磁波可以在常用的信息传输方式,如波分复用(Wave Division Multiplexing,WDM)、偏振复用(Polarization Multiplexin,PM)、时分复用(Time Division Multiplexing,TDM)等信息传输方式上成倍的提高信息传输容量。
近日,中国计量大学严德贤课题组提出了基于太赫兹波段的负曲率轨道角动量光纤。该光纤以重庆摩方精密科技有限公司提供的HTL聚合物材料(耐高温树脂)为基底,采用两层倾斜椭圆管的结构设计,通过引入环芯区域在0.4-0.8THz波段成功产生50-52个OAM模式,且在所研究的波段内获得了高模式纯度、低限制损耗和低波导色散等传输特性,相关研究成果以“Design of negative curvature fiber carrying multiorbital angular momentum modes forterahertz wave transmission”为题发表在《Results in Physics》。

图1.3D打印负曲率轨道角动量光纤结构图
图1展示了基于摩方精密nanoArch S140打印技术的3D打印光纤样品图。光纤整体尺寸为6.57mm,靠近纤芯区域的第二层倾斜椭圆管结构最小尺寸为0.051mm。光纤结构设计完成后,在Comsol Multiphysics有限元仿真软件中选取光纤结构的任一截面进行仿真研究。在研究频段内给定相应的太赫兹频率后,可以获得相应的模场分布,针对相应的模式进行数据收集和处理可以得出所需传输特性。
在光纤中产生OAM模式的前提条件是有效生成HE和EH模式,且HEl+1,1与EHl-1,1有效模式折射率差异高于10-4。光纤中的OAM模式合成规则可由公式1表述:



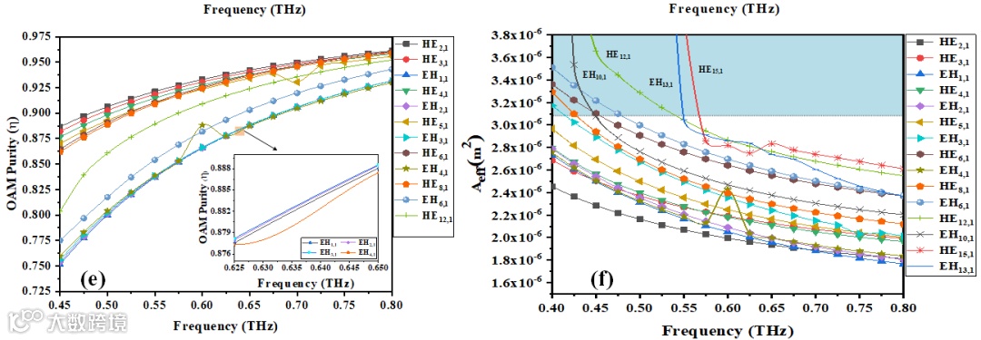
图3是OAM光纤各种传输特性随频率的变化趋势。由图3(a)和(b)可知,光纤产生的所有HEl+1,1与EHl-1,1之间的折射率差异均高于10-4,表明HE和EH模式均可以有效合成OAM模式。图3(c)是光纤的限制损耗特性,限制损耗与光纤的有效传输距离密切相关,由图可知光纤的限制损耗在0.55-0.8THz区间最低可以达到10-15(dB/cm)量级。图3(d)表示了OAM光纤的低平坦色散趋势,在0.4-0.8THz区间有近零的波导色散参数,有利于太赫兹波在光纤内部的快速传输。OAM模式的高模式纯度特性表明了光纤可以有效携带信息进行传输,由图3(e)所示结果,在0.55-0.8THz区间光纤的OAM模式纯度均高于80%。图3(f)是OAM光纤的有效模场面积特性,一般来说具有较高的有效模场面积可以产生较小的非线性特性,可以进一步提高信息的传输质量。



图3.(a)有效模式折射率,(b)有效模式折射率差异,(c)限制损耗,(d)波导色散,(e)OAM模式纯度,(f)有效模场面积随频率的变化趋势
文章链接:
https://doi.org/10.1016/j.rinp.2021.104766
最受关注文章 TOP 5
Science:仿南洋杉3D毛细锯齿结构表面流体自主择向
《Science Advances》:仿松针多级非对称结构超疏水表面多尺度液滴定向输运
中国制造业企业首次 丨 重庆摩方精密获全球光电行业最高奖荣誉— Prism Awards(棱镜奖)



