
声子玻尔兹曼输运方程可以模拟多尺度热输运现象,但由于其高维度等特征,想要高效地求解该方程十分困难。该研究提出了一种新颖的机器学习模型,这一方法可以准确高效地计算求解大温度梯度下的稳态声子玻尔兹曼方程,从而模拟多尺度非平衡态声子输运。

Fig. 1 A schematic of the PINN framework for solving stationary phonon BTE with arbitrary temperature differences.
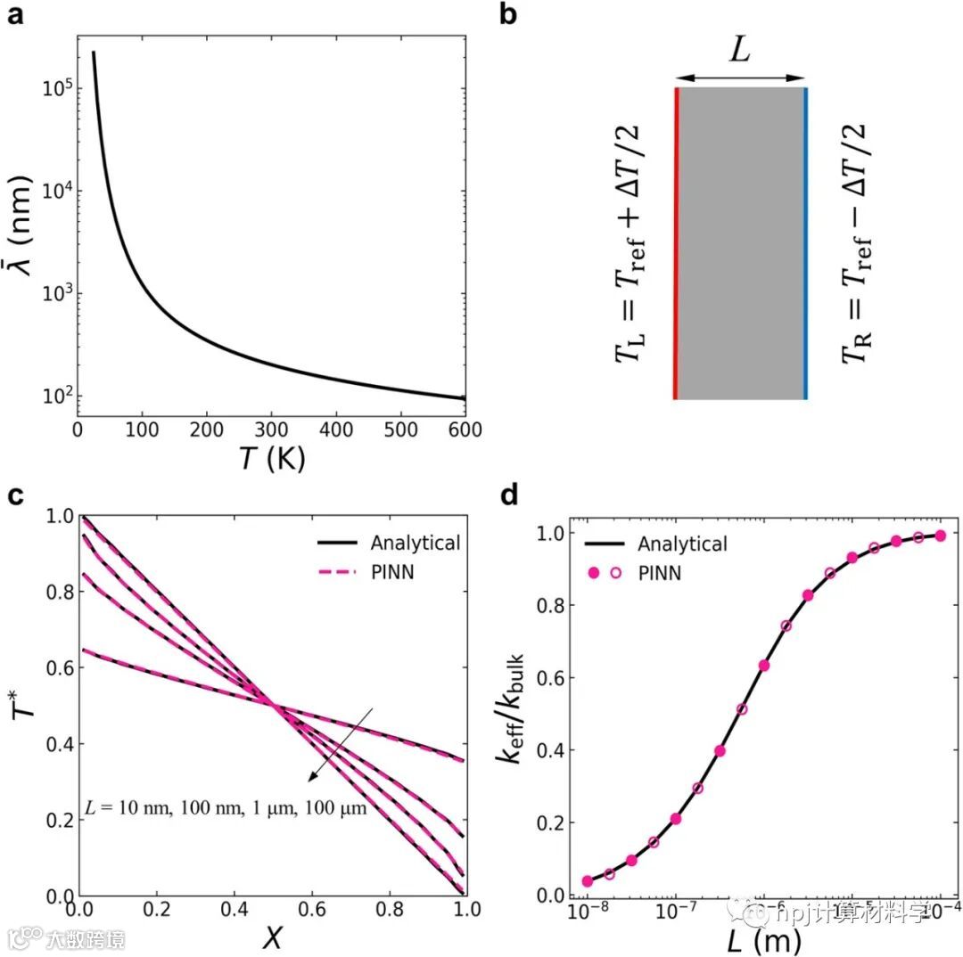
来自美国圣母大学航空和机械工程系的博士生李睿杨,罗腾飞教授以及合作者们,设计并测试了一种基于物理定律的神经网络模型。该模型通过训练使物理方程和边界条件的残差最小化来近似满足玻尔兹曼方程的声子分布,并且无需任何标记数据。该方法为了考虑不同温度梯度下非平衡的影响,采用了与温度相关的声子弛豫时间,并且通过将体系参数(如结构尺寸和温度梯度)作为网络输入,成功得到了参数空间中的方程解。

Fig. 2 Results of 1D cross-plane phonon transport with small temperature differences.
作者利用此模型对多尺寸晶体硅中的传热进行了模拟,测试表明物理信息深度学习可以高效准确地预测任意温度梯度下的声子输运(从一维系统到三维系统)。该研究提出的深度学习模型有效地利用了物理规律,有望被用于模拟器件级声子热传导,并且进一步用于电子器件的热设计。该文近期发布于npj Computational Materials 8: 29(2022)。

Fig. 3 Results of 1D cross-plane phonon transport in the ballistic and diffusive limits with arbitrary temperature differences.
Editorial Summary
Physics-informed deep learning: Efficient simulation of multiscale thermal transport
Phonon Boltzmann transport equation (BTE) can be used to model multiscale phonon transport, but due to its high dimensionality solving BTE is very challenging. This study proposes a novel machine learning-based model that can accurately and efficiently solve the steady-state mode-resolved phonon BTE under large temperature non-equilibrium.

Fig. 4 Results of 1D cross-plane phonon transport at Tref=100 K.
A team led by Prof. Tengfei Luo from the Department of Aerospace and Mechanical Engineering, University of Notre Dame, USA, developed and validated a physics-informed neural network model (PINN) that learns the BTE solution by training to minimize the residuals of the governing equation and boundary conditions, without the need of any labeled data. In order to take into account the non-equilibrium effects under different temperature gradients, this method adopts temperature-dependent phonon relaxation times, and by taking system parameters (such as system size and temperature gradient) as input parameters, the solutions in the parameterized space can be obtained.

Fig. 5 Results of 2D in-plane phonon transport (ΔT ¼ 2 K).
Using this scheme the researchers simulated heat transfer in crystalline silicon systems, and the numerical tests showed that PINN can efficiently and accurately predict phonon transport under arbitrary temperature gradients (from 1D to 3D). The deep learning-based method proposed in their work effectively utilizes physical information and can be potentially used to simulate device-level phonon thermal transport and further be used for thermal design of electronic devices. This article was recently published in npj Computational Materials 2022, 8: 29.

Fig. 6 Results of 2D rectangle phonon transport.
原文Abstract及其翻译
Physics-informed deep learning for solving phonon Boltzmann transportequation with large temperature non-equilibrium (基于物理定律的深度学习求解非平衡声子玻尔兹曼输运方程)
Ruiyang Li, Jian-Xun Wang, Eungkyu Lee & Tengfei Luo
Abstract Phonon Boltzmann transport equation (BTE) is a key tool for modeling multiscale phonon transport, which is critical to the thermal management of miniaturized integrated circuits, but assumptions about the system temperatures (i.e., small temperature gradients) are usually made to ensure that it is computationally tractable. To include the effects of large temperature non-equilibrium, we demonstrate a data-free deep learning scheme, physics-informed neural network (PINN), for solving stationary, mode-resolved phonon BTE with arbitrary temperature gradients. This scheme uses the temperature-dependent phonon relaxation times and learns the solutions in parameterized spaces with both length scale and temperature gradient treated as input variables. Numerical experiments suggest that the proposed PINN can accurately predict phonon transport (from 1D to 3D) under arbitrary temperature gradients. Moreover, the proposed scheme shows great promise in simulating device-level phonon heat conduction efficiently and can be potentially used for thermal design.

Fig. 7 Results of 3D cuboid phonon transport.
摘要 多尺度声子输运对于小型集成电路的热管理至关重要。声子玻尔兹曼输运方程 (Phonon BTE) 是模拟多尺度声子输运的重要工具,对于它的求解通常假设体系温度梯度极小以确保其计算量可控。为了考虑大温度梯度下非平衡的影响,我们提出了一种无需数据集的深度学习方案,即物理定律限制下的神经网络 (PINN),用于求解任意温度梯度下的稳态声子玻尔兹曼输运方程。该模型采用与温度相关的声子弛豫时间,并能够学习参数空间中的方程解。其中结构尺寸和温度梯度都可以被视为输入参数变量。数值实验表明,我们所提出的模型可以准确地预测任意温度梯度下的声子输运(从一维系统到三维系统)。此方法有望被用于高效模拟器件级声子热传导,并且进一步用于电子器件热设计。
来源:
免责声明:本文旨在传递更多科研资讯及分享,所有其他媒、网来源均注明出处,如涉及版权问题,请作者第一时间后台联系,我们将协调进行处理,所有来稿文责自负,两江仅作分享平台。转载请注明出处,如原创内容转载需授权,请联系下方微信号


