
|作者:陈晓松† 樊京芳
(北京师范大学系统科学学院)
本文选自《物理》2022年第1期
摘要 2021年诺贝尔物理学奖授予三位科学家(图1),以表彰他们“对我们理解复杂物理系统的开创性贡献”。美籍日裔科学家真锅淑郎(Syukuro Manabe)、德国科学家克劳斯·哈塞尔曼(Klaus Hasselmann)因为“地球气候的物理建模,量化可变性并可靠地预测全球变暖”的研究共享了诺贝尔物理学奖的一半奖金;意大利科学家乔治·帕里西(Giorgio Parisi)因为“发现了从原子尺度到行星尺度物理系统中的无序和涨落的相互作用”而获得了诺贝尔物理学奖的另一半奖金。今年诺贝尔物理学奖授予复杂性科学领域,既说明该领域的研究已经获得学术界的重视,同时也为复杂系统研究的发展带来了新机遇。
关键词 诺贝尔物理学奖,气候变化,地球系统科学,无序系统,自旋玻璃

图1 2021年诺贝尔物理学奖获得者:真锅淑郎、克劳斯·哈塞尔曼和乔治·帕里西(图片来源:https://www.nobelprize.org/prizes/physics/2021/summary/)
复杂系统由大量个体构成,由于个体之间的相互作用,复杂系统不是个体性质的简单之和,而呈现关联、合作、涌现等集体行为。正如诺贝尔物理学奖获得者安德森(Philip W. Anderson)1972年在标题为“More is different”的Science文章[1]所表述的那样,复杂系统的每一个层次会呈现全新的性质,研究和理解此类新行为,就其基础性而言,与其他研究相比毫不逊色。
复杂系统普遍存在于自然界和人类社会中,除了包含着气候系统的复杂物理系统,还有生物系统、生态系统、网络系统、社会经济系统等。大脑作为感知和分析信息的中枢系统,由海量的神经元组成,被称为宇宙最复杂的系统[2]。在人类认知与教育过程中,也涉及各类复杂性,教育已经被作为复杂系统进行研究[3]。
复杂性科学(complexity science),兴起于20世纪80年代,研究复杂系统的结构与功能关系,以及演化和调控规律,是一门新兴的交叉性、综合性学科,也是当代科学发展的前沿领域之一。复杂系统科学的发展,不仅能带来自然科学的变革,弥补人类对自己所处宏观尺度科学规律认识的不足,而且可以渗透到社会复杂系统及社会科学的研究。2000年,英国著名理论物理学家霍金曾表示:“21世纪是复杂性科学的世纪”。复杂性科学以不同领域的复杂系统为研究对象,从系统和整体的角度,探索复杂系统的性质和演化规律,目的是揭示各种系统的共性及演化过程遵循的共同规律,发展优化和调控系统的方法,为复杂性科学在物理系统、地球系统、社会经济系统、生物系统及医学等领域的应用提供理论依据,以应对当前自然和社会各方面的巨大挑战。
地球气候系统是一个典型的复杂自适应系统,从组成结构上来看主要包括:大气圈、水圈、冰冻圈、岩石圈和生物圈5大圈层。同时各个圈层之间和内部具有高度的非线性物理、化学、生物过程和反馈回路[4]。图2展示了一个地球气候复杂系统的示意图。当前研究地球气候系统主要有两种技术手段:(1)基于观测数据;(2)基于气候模式(climate models)。观测数据通常是指通过仪器(包括气象站或卫星)获得的数据、再分析(包括ECMWF、NCEP-NCAR和JRA)数据以及代理数据(包括珊瑚记录、树木年轮和冰芯记录等)。气候模式是试图模拟产生气候的5大圈层之间的物理、化学和生物过程,目前是理解和预测这些过程和相互作用的基本方法,被广泛应用于天气预报、理解气候、预测气候变化等方面。一般的气候模式建立包含复杂的动力及热力学过程和物理化学过程的数学模型,并基于历史或当前观测数据来模拟和预测气候系统的演化,不仅可以用来分析和理解一些气候现象及整个地球气候系统的物理学机制,还可以模拟和预测在气候变化背景下,气候系统的演化方向等。气候模式的开发通常依赖于经典物理学、计算数学、计算机和大气动力学的逐步发展和持续积累。真锅淑郎(Syukuro Manabe)和克劳斯·哈塞尔曼(Klaus Hasselmann)就是因“对地球气候的物理建模、量化可变性和可靠地预测全球变暖”而共同获得2021年诺贝尔物理学奖金的一半(图1)。

图2 地球复杂系统最基本的组成元素以及相互作用过程。图片来自于政府间气候变化专门委员会(IPCC)第四次评估报告[4]
计算机尤其是高性能计算机的出现,对气候科学的发展和演变产生了巨大的影响。在计算机发明之前,人们通常使用铅笔和纸来解释观察到的现象或是进行预测,推动科学的进展,其中包括气候科学[5]。随着计算机发明并在气候科学的广泛应用,目前气候科学研究范式已发展为两个分支:一支是气候模式,它使用大气和/或海洋的大尺度环流模型;另一支是理想化(数理)模型,受到物理学家的钟爱,通常是为了理解气候系统演化行为中的某个关键物理现象[6]。从物理上来看,气候模式对气候或者天气系统进行了大量的粗粒化处理,然后由所有已知物理参数和过程近似计算输出全球气候的结果。相比之下,理想化模型则更加侧重于气候的各个子系统,例如,厄尔尼诺现象[7]或者北极海冰[8]等。以这种方式将问题进行分解,有助于对所涉及的动力学过程及其观测结果进行深层次的数学分析。事实上,无论在概念上还是时空尺度上,气候模式和理想化模型都存在着巨大的鸿沟。试图调和这个鸿沟,将不得不关注尺度问题,这是一项非常适合物理学家的任务,已经取得巨大进展。例如,凝聚态物理和粒子物理中尺度分离的挑战导致了重整化群的发展,将以前不同领域的概念进行了统一[9]。重整化群的概念和方法已成功应用于流体动力学问题[10,11],这也是气候动力学的核心基础。
气候科学也催生了数学最深远的分支之一:混沌理论。1961年,美国气象学家洛伦茨(Edward Lorenz)在开发热对流的理想化模型时发现了混沌理论[12]。60年后的今天,几乎每个物理学家都听说过混沌,混沌的思想和概念延伸到了许多其他科学领域[13]。此外,人们也采用统计系综及统计物理研究地球物理系统,如行星运动、降雨和海冰厚度等[14—16]。
大数据分析是主流物理学和气候科学互有裨益的另一个重要方向。例如,实验高能物理学家是在大量数据中定位小信号以便正确解释粒子碰撞事件的专家[17]。分析沉积物或冰芯数据的气候科学家能否从粒子物理学家使用的理论和数据分析方法中有所收获?反过来,物理学家是否可以从气候研究使用的理论和方法中有所感悟?在物理学的发展历程中,直接基于实验数据发展唯象理论起到了非常关键和重要的作用。借鉴这些成功经验,可以基于地球观测数据发展地球系统唯象理论。
气候模式是研究气候的主要理论体系,根据研究的实际需要,陆续产生了大量不同种类的模式,主要有能量平衡模式(energy-balance models)、辐射对流模式(radiative-convective models)、统计动力模式(statistical-dynamical models)和一般环流模式(general circulation models)四大类。而依据复杂程度的不同,可分为3类[18]:(1)简单概念性气候模式(SCMs);(2)耦合气候系统模式(CGCMs);(3)复杂程度介于前两类之间的中等复杂程度的地球系统模式(EMICs)。
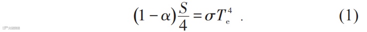
能量平衡模式分为零维模式和一维模式,前者是最简单的能量平衡模式。把地球看成空间的一点。若S为太阳常数,R为地球半径,单位时间内地球接收的太阳辐射能为πR2S。考虑到地球总面积为4πR2,单位时间单位面积上的能量接收率为S/4,由于地球反射,实际得到的能量为(1-α)S/4,这里α代表的是反射率。同时,地球以有效平均温度Te向外辐射能量σTe4,σ 为Stefen—Boltzman常数。在全球能量平衡条件下,得到

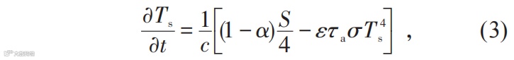
(1)式没有考虑大气中的辐射过程,如果考虑大气成分(如CO2)不仅吸收辐射能,而且发射长波辐射,会使气温增加,地球表面的气温Ts应该比有效辐射温度高。即

如果进入大气的辐射和射出大气的辐射量不平衡,那么地球气温将发生变化,变化率∂Ts可以表示为

其中c为地球的比热容,τa为大气红外传输率,ε为比例参数。一维能量均衡模式不再将地球视为一点,而是考虑温度在纬度上的差别。在一维模型中,每个纬度带可由以下方程来描述:

其中,α(ϕ)是对应的反照率,当T<-10℃时α=0.62,否则α=0.3;c指的是水平传热系数(3.81 W·m-2·℃-1),Ts(ϕ)是地表温度,
代表的是全球平均地表温度;A和B是控制长波辐射损耗的参数(A=204.0 W·m-2,B=2.17 W·m-2·℃-1)。值得注意的是,在一些更为复杂的能量平衡模型中还会考虑大气和海洋之间的能量转移。
辐射对流模式把大气简化为一个铅直的大气柱,详细考虑大气内的辐射过程,考虑一维的温度垂直分布,常作为更复杂的模式的一部分,主要研究不同辐射过程的相互作用。此模式建立在以下两个原理之上:(1)在任何高度上的太阳辐射和长波辐射通量与对流热通量保持平衡;(2)因辐射差异引起的温度垂直分布的不稳定由对流调整而使其达到平衡。考虑最简单的无对流调整的辐射平衡模式,其温度变化方程为

式中右边第一项、第二项分别代表长波辐射和短波辐射引起的温度变化。对于有对流调整的辐射平衡模式,方程右边需要添加对流调整项
。在满足对流层质量守恒条件和地表热量平衡条件下,可以得到垂直温度廓线。
统计动力模式考虑纬圈平均,对大型涡旋输送参数化,用来研究不同物理因子如二氧化碳、太阳常数等的作用。一般是对运动方程中的涡旋输送量进行参数化,基于经向温度梯度可以驱动大气斜压波的概念,涡旋热通量为

涡旋动量通量为

式中,KT和Km分别为热量和动量传输系数,可认为是常数或为温度梯度的函数,纬向平均量用
表示。
一般环流模型是最为完善的气候模式,通常需要求解一组如下的微分方程和理想气体方程:
(1)动量守恒方程

(2)质量守恒方程

(3)能量守恒方程

(4)理想气体方程

这组方程描述了大气压力、密度和温度的时空变化,这就是著名的纳维—斯托克斯方程。为了将这些方程式转化为数值形式,我们通常将连续的大气流体运动离散化并且将地球空间划分为经向、纬向和垂向的三维网格结构,进而采用数值积分方式对上面的偏微分方程组在连续的时间步长中进行求解。这样就可以得到每个网格上的气候参数(如温度、风)的数值。在气候模拟中,运行成本随着其复杂性、分辨率(即网格的大小)的增加而增加。此外,使用气候模式进行模拟时需要考虑两种类型的输入数据:初始状态和外强迫。目前主要的外强迫因子有:温室气体浓度、气溶胶浓度,以及植被分布、火山爆发和在大气顶部接收的太阳能。
真锅淑郎出生于1931年,1958年获得东京大学理学博士学位。毕业后到美国地球物理流体动力学实验室(GFDL)工作,目前在普林斯顿大学担任高级气象学家。真锅淑郎毕生致力于研究和开发基于计算机的气候模式,因建立了真锅模型并使预测全球变暖成为可能而闻名。1967年,真锅淑郎和Wetherald第一次开发出了一维辐射对流模式[19]。为理解二氧化碳水平增加如何导致气温升高,真锅淑郎把空气团因对流而产生的垂直输送以及水蒸气的潜热纳入其中。使用该模型,他们发现,为了响应大气中二氧化碳浓度的变化,地球表面和对流层的温度随着二氧化碳浓度升高而升高,而平流层的温度则降低。进一步他们发现,氧和氮对地表温度的影响可忽略不计,而二氧化碳的影响则很明显:当二氧化碳水平翻倍,全球温度上升超过2℃。根据他们的模拟,二氧化碳若增加一倍(由300 ppm增加至600 ppm),全球平均温度将上升2.36℃[20]。气候模式结果如图3所示。这一结论为日后的政府间气候变化专门委员会(IPCC)第一次评估报告提供了重要论据。1969年真锅淑郎和Bryan开发了第一个海洋—大气耦合环流模式对气候进行模拟,该模式可以用来研究十年到百年时间尺度的气候演化[21]。20世纪90年代,真锅淑郎的研究小组使用耦合大气海洋模式来研究气候对大气中温室气体浓度变化的时间依赖性响应。他们还将该模式应用于过去气候变化的研究,包括在古气候记录中揭示北大西洋的淡水注入如何影响气候突变[22]。

图3 真锅气候模式揭示了大气温度、高度和二氧化碳浓度的关系。二氧化碳含量的增加导致低层大气温度升高,而高层大气变得更冷。真锅因此证实温度的变化是由于二氧化碳水平的增加造成的;如果是由太阳辐射增加引起的,那么整个大气应该变暖。图中放大部分预言,在地表二氧化碳浓度翻倍,温度将升高2.36 ℃[19]
克劳斯·哈塞尔曼是德国海洋学家、气候学家,汉堡大学名誉教授和马克斯·普朗克气象研究所前所长。1931年出生于德国汉堡,后赴英国生活居住,1948年回到德国,1955年哈塞尔曼获汉堡大学物理学与数学学士学位,1957年在哥廷根大学和马克斯·普朗克流体动力学研究所获得物理学博士学位。1964年至1975年担任汉堡大学地球物理研究所所长兼理论地球物理学全职教授。1975年2月至1999年12月,任汉堡马克斯·普朗克气象研究所创始所长。1988年1月至1999年11月,任德国气候计算中心的科学主任。哈塞尔曼的兴趣广泛,研究课题包括气候动力学、随机过程、海浪、遥感和综合评估研究。他后期的研究兴趣主要集中在量子场论。
哈塞尔曼最知名的贡献是开发了气候变率的哈塞尔曼模型[23],其中考虑一个具有长记忆力的系统(如海洋)并整合了随机强迫因素(如大气),从而将白噪声信号转换为红噪声信号,进一步解释了在气候系统中看到的无处不在的红噪声信号,例如,涌浪(swell waves)的发展。
在哈塞尔曼模型中,他将宏观的气候因素(如海洋)y和介观的天气变化(如大气)x之间的相互影响简化成如下方程:

其中所有xi 的特征演化时间尺度远短于yi 的特征演化时间尺度,后者表征“缓慢”的大尺度气候观测值的演化。这样一种时间尺度可分离的耦合系统,可以通过投影算符和泰勒展开的方法进行简化,比如快变量看作是随机白噪声,这样就可以主要关注y 的变化规律[24]:

这个方程叫朗之万方程。对于气候系统,通过朗之万方程推导出福克尔—普朗克方程,从而帮助我们进一步研究一个系统在给定时间处于给定状态的概率。此外,求解上述朗之万方程可得到一个重要的关系
,即涨落耗散关系。这意味着我们可以通过天气的噪声强度计算出宏观气候的涨落。
通过随机气候模式,哈塞尔曼还开发出可识别人类对气候系统影响的方法,分离出了自然噪声和人类活动噪声的影响。他发现气候模型以及观测和理论考量,均包含了有关噪音和信号特性的充分信息。例如,太阳辐射、火山爆发或温室气体水平的变化会留下独特的信号和印记,可被分离出来。图4展示了哈塞尔曼随机气候模式可以用来识别气候变化中人类活动的指纹,进一步从科学上证实由人为原因导致的二氧化碳排放导致了全球变暖的结论。

图4 哈塞尔曼开发出了可以用来识别气候变化中人类活动的指纹[24]
关于哈塞尔曼,还有一件有趣的故事。他在加利福尼亚从事海洋研究的时候认识了查理斯·大卫·基林(Charles David Keeling),而且哈塞尔曼夫妇与他一起创办了一个宗教合唱团。值得注意的是,早在1958年,基林就在夏威夷的莫纳罗亚天文台开始了到目前为止时间最长的大气二氧化碳测量,基林因此而闻名。哈塞尔曼那时还不知道,他后来的工作中会经常使用显示二氧化碳水平变化的“基林曲线”。
对大量个体组成系统的研究可以追溯到18世纪瑞士科学家伯努利的流体动力学,他将气体看作由大量快速运动的小粒子组成,气体的热就是粒子运动的动能。德国物理学家克劳修斯在1857和1858年分别发表了一篇气体动力学理论的奠基性文章,首次将概率概念引入物理系统,将力学量的统计平均与气体压强联系起来。英国物理学家麦克斯韦在阅读了克劳修斯的文章之后,1859年提出了分子速度的统计分布。5年之后的1864年,当时还是学生的奥地利物理学家玻尔兹曼偶遇麦克斯韦的文章,他受到如此的激励,从此一直在这个方面继续开展研究工作,发展了分子动力学理论,将系统的熵与概率联系起来,阐明了热力学第二定律的统计性质,被公认为统计力学的奠基者。但是,统计力学这个术语实际是由美国物理学家吉布斯在1884年创造,他于20世纪初提出的系综理论,成为了统计力学后来发展的基础。
吉布斯的系综理论将系统某个时刻所有个体的物理状态用一个高维矢量表示,称为系统的一个微观态(microstate)。高维矢量所在的高维空间被称为相空间(phase space),一个微观态对应相空间中一个点,所有微观态的集合在相空间形成一个系综。由于系综包含数量巨大的微观态,系综一般用微观态密度分布函数来描述。利用吉布斯熵与微观态密度分布函数的关系及平衡态的熵为极大值,可获得平衡态的密度分布函数。对于粒子数N、体积V、能量E固定的系统,得到微正则系综,该系综的微观态密度分布为常数。对于粒子数N、体积V、温度T 固定的系统,可得到正则系综,该系综的微观态密度分布函数正比于exp(-E/kBT)。对于体积V、温度T、化学势μ固定的系统,可获得巨正则系综,该系综的微观态密度分布函数正比于exp(-E/kBT+μN/kBT)。原则上,由此能够计算各种不同系统的平衡态热力学性质。其中,不同条件下系统会呈现出不同的相,例如,简单原子、分子组成的系统在不同温度、压强下,会形成气、液、固等不同的相。某些特殊的原子、分子会产生铁磁、铁电、超导、超流相等。系统从一个相到另一个相的转变被称为相变,其相关研究非常重要、引人入胜。相变研究的特征量是序参量,1937年由著名物理学家朗道引入,序参量在相变点的连续或不连续变化分别对应连续相变(临界现象)和不连续相变。
对于大量亟需研究的复杂系统来说,上述的研究基础并不存在。我们对许多复杂系统并不能定义其能量函数,系统没有处在平衡态、微观态密度分布函数未知,系统相变涉及到系统的局域特性及各种宏观要素,序参量非常复杂,事先无法确定,这些都是研究复杂系统及其相变与临界现象中的挑战与瓶颈。无序系统就是其中的一个重要例子,其中包括自旋玻璃。
物理系统中的无序,不但可以出现在微观粒子的排列中,也可以出现在相互作用中。例如,1970年代早期提出,用来描述无序磁性系统的自旋玻璃。在介绍自旋玻璃的书中,帕里西写道,研究自旋玻璃就像观看莎士比亚戏剧中的人类悲剧。如果你想同时与两个人交朋友,但他们彼此讨厌,那可能会令人沮丧[25]。这可以体现在长程相互作用随机伊辛(Ising)模型能量的数学描述:

其中si为系统的自旋构型,Jij 是随机变量,其概率分布为P[Jij],服从高斯分布。Jij可正可负,系统中同时存在铁磁和反铁磁相互作用,阻挫(令人沮丧)就会出现,这时系统将存在大量的亚稳态,如图5所示。如果Jij是一个常数,Jij=J,(14)式对应著名的伊辛模型,由Wilhelm Lenz于1920年提出,他的学生伊辛(Ising)于1924年对一维情况进行了研究。1944年,美国物理学家拉斯·昂萨格(Lars Onsager)得到了二维伊辛模型无外磁场时的解析解,严格描述了其连续相变,对相变与临界现象研究的发展起到了关键和里程碑式的作用。

图5 自旋玻璃模型示意图[24]。自旋玻璃是一种金属合金,例如,铁原子随机混合到铜原子网格。每个铁原子的行为就像一个小磁铁或自旋,受周围其他磁铁的影响。然而,在自旋玻璃中,它们感到沮丧并且难以选择指向哪个方向。帕里西利用他对自旋玻璃的研究,开发了一种涵盖许多其他复杂系统的无序和随机现象的理论
(14)式是1975年由Edwards和Anderson提出的自旋玻璃模型(EA模型)[26]。在该模型中,自旋相互作用网络是规则的晶格,而且只有近邻自旋之间才有相互作用。如果自旋之间的相互作用是无限长程,即每个自旋与其他N-1个自旋都有相互作用,那么(14)式就成为平均场自旋玻璃模型(SK模型)[27]。
帕里西的重要贡献之一是基于统计物理的方法(复本理论,replica theory)精确求解了SK模型[25],得到了H 的极小值为H= - 0.7633 N3/2。
乔治·帕里西,意大利理论物理学家,1948年出生于罗马,1970年在尼古拉·卡比博教授的指导下取得罗马大学物理学博士学位。帕里西是意大利猞猁之眼国家科学院院士、法国科学院的外籍院士和美国国家科学院院士,研究领域为量子场论、统计力学和复杂系统。由于帕里西在物理学多个领域的重要贡献,2021年获诺贝尔物理学奖之前,他曾获得包括1992年玻尔兹曼奖、1999年狄拉克奖章、2002年费米奖、2005年海涅曼数学物理奖、2011年普朗克奖章、2016年昂萨格奖、2021年沃尔夫奖在内的重要奖项。
帕里西教授在中国改革开放之初就与中国结缘。1980年春季,帕里西在中国科学院理论物理研究所担任客座访问教授,与当时在理论物理研究所工作的吴咏时教授合作,用统计物理来做量子场论,理解量子化和量子涨落。而且,帕里西当时坚持要将合作论文发表在中国的学术期刊。当时国内只有《中国科学》可以发表英文稿件,因而该合作论文最终发表在《中国科学》[28]。这篇论文发表后,在国际粒子物理学界引起了重大反响,被同行命名为随机量子化。
根据朗道的相变理论,相变由序参量表征。基于Edwards和Anderson提出的复本技巧(replicatrick)[23],帕里西对自旋玻璃模型((14)式)引入了一个新的序参量,即纯态α和β交叠序参量(overlap order parameter)[29]:

其中
表示第α个复本中第i 个自旋的局域磁化强度。如果α=β,(15)式就给出了Edwards—Anderson序参量qEA[23]。
一般情况下,qαβ是一个n×n的矩阵,称为交叠矩阵(overlap matrix)。为了计算自由能,采用鞍点方法(saddle-point method),需要找到一个qαβ矩阵使得自由能函数取极值(一阶导数为零)。这意味着需要求解n×(n-1)/2个方程(qαβ矩阵是对称的)。直接解析求解这么多方程基本是不可能的,必须理论上假设qαβ的形式来简化计算。最简单的假设就是复本对称(replica symmetry),即交换复本不会改变qαβ矩阵。在复本对称假设下,只有一个独立序参量,即

帕里西对于自旋玻璃模式严格求解的理论和思维已被广泛地应用在很多无序体系,包括玻璃化转变、物种的进化、人脑的建模、机器学习模型等,可以帮助我们整体地理解复杂系统中无序和涨落的作用。
上述自旋玻璃系统的能量函数和微观态分布是已知的,只是相互作用的无序与热涨落共同作用造就了序参量的复杂性。对于许多当前亟需研究的复杂系统,遇到的挑战更大,这些系统的能量函数和微观态分布都是未知的。为应对这些挑战,最近发展了统计系综的本征微观态理论[30,31]。当本征微观态在统计系综中发生凝聚时,类似于玻色气体的玻色—爱因斯坦凝聚,系统发生相变,新相由本征微观态描述,序参量为对应的本征值。该理论已成功应用于平衡态伊辛模型[30,31]、全球气候系统[31]、臭氧空间分布及演化模型[32]以及非平衡群体运动[33]。
2021年诺贝尔物理学奖授予复杂系统的开创性研究工作,一定程度出乎许多人的意料。诺贝尔物理学奖授予还在发展之中的基础理论,算是历史上的一个突破。回溯一下诺贝尔物理学奖的历史,可以发现它清晰的演化脉络,一直紧跟科学的重大发展、紧贴人类发展的脉搏。早期主要奖励重大的实验发现,然后开始奖励重大的理论工作,但理论需要得到实验的完全证实。例如,粒子物理学的希格斯机制在其提出后将近50年,等到希格斯粒子被实验发现后才授奖。后来诺贝尔物理学奖开始授予对科学发展和人类进步有重要作用的实验手段(例如扫描隧道显微镜等)和技术(例如光在纤维中传输等)。当前,物理学在微观和宇观层次已经取得了巨大成功,但在人类所在的宏观层次,对大量存在的复杂系统的认识非常有限,这阻碍我们科学应对人类当前遇到的自然和社会巨大挑战,因此迫切需要推动复杂系统的研究!所以说,今年的诺贝尔物理学奖有些意料之外,但在情理之中。复杂系统一般涉及较多的因素,也不可能将其放在实验室条件下进行研究。这样的特殊性要求我们对复杂系统研究成果的认可也需要采取不一样的标准。
人类迫切需要科学应对气候变化,正如诺贝尔物理学委员会主席Thors Hans Hansson所说:“今年获奖的研究表明,我们关于气候的知识,是基于对观测的严格分析,建立在坚实的科学基础之上,合乎人类应对气候变化的科学需求。”帕里西提出的方法能够揭示“从原子到行星尺度的物理系统中无序和涨落之间的相互影响”,也可用于研究神经网络、优化等,表明复杂系统规律的普适性。无数物理学方法已成功地解决了广泛的科学和工程问题,同时许多这些应用也激发了新理论和方法的发明和发展。今年诺贝尔物理学奖表明,复杂系统(包括气候系统)可以为兴趣广泛的物理学家提供许多激动人心的机会。为了能够把握这些机会,亟需跨学科、跨领域的优秀学者们聚集在一起,相互交流、相互学习、相互启发、扬长避短,携手解决复杂系统重大问题。面临的问题是丰富而广泛的,从弄清如何应对湍流和处理多尺度现象等挑战,探索生态、生命系统等的结构与演化,到确定地球系统的结构及临界要素等。源于物理学的思想和方法,不仅能够帮助科学家更好地了解和认知气候系统[34],而且如同混沌理论带来的效应那样,从中所获得知识的影响将远远超出气候科学领域。我们深信,此次诺贝尔物理学奖授予复杂系统,将为复杂系统研究的发展提供前所未有的机遇,复杂系统研究方兴未艾。
免责声明:本文旨在传递更多科研资讯及分享,所有其他媒、网来源均注明出处,如涉及版权问题,请作者第一时间后台联系,我们将协调进行处理,所有来稿文责自负,两江仅作分享平台。转载请注明出处,如原创内容转载需授权,请联系下方微信号


