

撰稿|陈杨 研究员
中国科学技术大学工程科学学院精密机械与精密仪器系

模式耦合(mode coupling)是现代光子学的基石,许多重要的现象由此产生,如法诺共振(Fano resonance)、电磁感应透明(EIT)、连续域束缚态(BIC)和宇称时间(PT)对称。最基本的耦合系统由两个共振模式组成,当二者的能量交换速率大于各自的衰减速率时,可实现模式间的强耦合。通常,耦合强度由光学结构的几何形貌或材料的折射率决定,这种情况可归类为光学系统的内在调制,是实现模式强耦合的主要途径。除此之外,还可以通过外源手性物质的引入来诱导模式耦合,因为手性物质的非零巴斯德参数(Pasteur parameter, κ)可以诱导磁电相互作用。然而,由于天然手性物质(如氨基酸、蛋白质、糖)的κ极弱,导致可实现的耦合强度也非常弱,弱手性能否诱导共振模式之间的强耦合仍是一个悬而未决的问题。
2022年4月6日,中国科学技术大学工程学院陈杨研究员、吴东教授、褚家如教授联合团队与新加坡国立大学电气与计算机工程系Cheng-Wei Qiu教授团队合作,在国际顶尖学术期刊《Physical Review Letters》上发表题为“Can weak chirality induce strong coupling between resonant states? ”的论文,首次实现了弱手性物质诱导下的两个光学模式之间的强耦合,并理论验证了对手性物质圆二色性(CD)信号增强三个数量级。

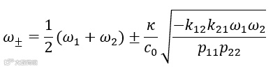
在零失谐条件下,由模式耦合混杂产生的两个新模式的特征频率为
通过进一步分析可以得出两共振模式实现强耦合的条件,即二者具有高品质因子Q且服从电磁对偶性。
针对这一条件,作者设计了一个全介质超表面(图1a),由介质板(n=2.4)上二维周期性的圆孔阵列构成。由于结构的C2对称被扰动Δ打破,在布里渊区的中心(Γ点)会产生一系列具有高Q值的连续域中准束缚态(准BIC)。进一步,作者选取了TE4和TM1这一对远离其它模式且近似满足电磁对偶性的准BIC态,并通过调节介质板的厚度使二者在Γ点处发生简并。由于这两个模式是正交的,当无外源手性引入时,二者不发生耦合,而当κ=(2+0.4i)×10−4的手性溶液引入该系统时,会诱导两个准BIC态的耦合,产生强拉比劈裂(Rabi splitting)并形成两个新的混杂模式,即上支UB和下支LB(图1b)。根据计算,产生的拉比劈裂值大于两个模式线宽,因而严格满足强耦合条件。

图1.(a)超表面光学系统的示意图。超表面的几何参数为:周期a = 550 nm,半径r = 200 nm,扰动尺寸Δ = 10 nm,厚度t = 165.9 nm。(b)仿真和模型计算得到的不同厚度t下上支和下支的特征频率以及耦合前TM1和TE4模式的本征频率(虚线)。
本文还系统分析了两个模式的拉比劈裂和损耗的重新分配与κ的实部和虚部之间的对应关系,并研究了两个混杂模式的本征偏振随模式耦合强度的演化过程。同时,手性诱导的模式耦合还为检测手性物质提供了一个通用平台。由于目前市面上90%以上的药物都是由手性分子构成,而具有不同手性的药物分子往往具有截然不同的生理功能,因此检测分子手性对疾病诊断、药物研发、疫情防控都具有重要价值。如图2a所示,当本文提出的强耦合系统在圆偏光正入射时,随着厚度t变化,其CD谱表现出明显的上下两支。而在零失谐条件下(t=165.9 nm时),上支可以实现的最大CD值高达0.1,相比于无超表面的情况,该CD值提高了3000倍,比已有其它工作可以实现的增强值提高了接近两个数量级(图2b)。该研究为实现模式强耦合提供了新路径,在手性光学、微纳光学领域具有重要理论价值;同时也在手性分子检测、圆偏振激光发射和量子光学领域具有重要应用价值。

图2. (a)不同厚度超表面的CD光谱。(b)超表面厚度t=165.9 nm时的圆偏振光吸收谱和CD谱。
该研究得到了中国科学技术大学启动基金、中国科学院百人计划、中国国家自然科学基金、国家重点科学仪器设备开发项目和新加坡先进研究及科技创新中心的资助。

文章链接:
https://journals.aps.org/prl/abstract/10.1103/PhysRevLett.128.146102
免责声明:本文旨在传递更多科研资讯及分享,所有其他媒、网来源均注明出处,如涉及版权问题,请作者第一时间后台联系,我们将协调进行处理,所有来稿文责自负,两江仅作分享平台。转载请注明出处,如原创内容转载需授权,请联系下方微信号



