
上星期某日,与学生讨论问题时,听学生讲量子力学中的 gauge coupling。学生是囫囵吞枣,Ising 也是外行听闹。期间,Ising 不耻上问:你说规范变换会产生一项“冗余”。这一“冗余”项乃矢量的梯度项,它是不是一种线性近似展开项?学生笑话我说:这是磁矢势,代表了量子中的 Berry 相位。因此,gauge coupling 本质上是电磁相互作用的表达。
当然,Ising 并非是昏头了,而是想表达磁性 (或者电磁效应) 在量子力学中的中心地位。反过来,量子材料的基本点虽然是库伦关联作用,但最终的物理效应及其应用,必然是磁性或自旋电子学占据重要地位。因此,量子凝聚态的发展与壮大,大概都很难逃脱磁性参与其中。Ising 再武断一些,认为未来的量子科技应用,也可能很难逃脱自旋调控这一技术手段。这不是妄言,在量子凝聚态发展前沿的各个环节,此类证据比比皆是。
例如,拓扑量子材料诞生时,主体都是非磁性的。对拓扑绝缘体,可能是因为体态绝缘的要求,故而物理人都尽可能避免选择磁性体系。早期的拓扑绝缘体,基本都是非磁性的,很少包含过渡金属元素,以避开磁性对冲体带带隙的效应。后来出现的外尔半金属,体现的是体能带拓扑,反而要求带隙弥合、拒绝绝缘,因此有无磁性存在当属无妨。其实,当初万贤纲就是在 227 烧绿石磁性氧化物中预言外尔半金属态的。这一预言好几年都未得到实验证实,第一次观测到外尔半金属态的体系反而是非磁性的 TaAs。更有意思的是,2019 年建立的拓扑材料数据库,也都是针对非磁性无机化合物的。这些历程,似乎给人一个印象:拓扑量子材料都在有意无意地避开磁性!

图 1. 磁性拓扑绝缘体的物理示意,以层状结构为例。引自王健教授发表于《The Innovation》上的论文。
http://www.the-innovation.org/issue/20210528/S2666-6758(21)00023-0/
事实上,正如孙猴子逃不出如来佛手掌一般,拓扑量子材料要避开磁性,似乎也是“万水千山总是难”。那些最激动人心和令人期待的进展,其实都有磁性的影子:(1) 反常量子霍尔效应的实验实现,乃出自磁性掺杂的拓扑绝缘体。(2)“真正的”磁性拓扑绝缘体化合物 MnBi2Te4,在量子材料人翘首以盼中诞生,立即引来基础研究和应用研发的物理人高度关注。(3) 虽然外尔半金属的实验观测是在无磁性 TaAs 中首先完成,但引得众人“拾柴火焰高”的,同样包括后来发现的磁性外尔半金属化合物。图 1 引自北京大学王健老师课题组的一篇综述,展示的便是磁性拓扑量子材料的一些模样。
这些依然萦绕于耳的历史进程,也似乎在告诉我们:磁性乃是一支“是非推手”,可以“成也萧何败也萧何”。物理人追求科学发现时,一开始也许巴不得让磁性滚得远远的,但待到基础发现“论功行赏、尘埃落定”后,又会百般曲意逢迎去拉磁性入伙。量子拓扑材料发展到今天,果然避不开这个铁律:磁性拓扑量子材料已经登堂入室,开始摘取胜利的果实!个中纠葛,其实道理也简单:
(a) 依赖费米子电子的集体输运而付诸应用的那些愿望,如果舍弃那既好用、又便宜、还低廉的电子自旋属性,乃是事倍功半的操作,划不来。
(b) 过去数千年,人类发展的各种磁性/自旋相关的应用,已经深入骨髓。若要替换之,不说是痴心妄想,亦是功成缥缈。这与半导体产业弃用硅材料的梦想有得一拼,乃不合潮流的理想之举。
正因为如此,拓扑量子材料发展到今天,磁性调控已然成为主流任务和目标。也因为如此,磁性拓扑量子材料至少有如下几条难以规避的叉路:
(1) 众所周知,非磁性拓扑材料的能带结构,主要依赖于对称性和自旋 - 轨道耦合强弱。通过现有的物质科学手段去实时 (in - situ) 调控这些物理元素,不那么容易。例如,使用电、磁、光、热、力等手段,未必能那么容易改变晶格对称性。这一困难一定程度上削弱了应用的前景。与此不同,很多磁性拓扑材料,特别是那些交换能量尺度与拓扑态特征能量尺度相比拟的体系,其能带结构对磁性、特别是磁构型的依赖关系却很显著。这给了当下众多调控磁性的技术手段以新的用武之地,可能获得对拓扑量子态的高效调控。现在有一个新名称“spin - texture”,即是关注此类问题,实现新材料研发。
(2) 过去几年,磁性与拓扑联合,已经演生出诸多新的量子态,如中心对称的外尔半金属 (非中心对称的外尔半金属,如 TaAs,属于另一类)、磁性拓扑绝缘体、反常量子霍尔态、轴子绝缘体等等。调控磁结构,去影响这些量子态、实现新的功能和应用,已经得到实践证实。
(3) 过去几十年,自旋电子学的发展历程催生了磁性调控的各种手段,如磁场、自旋电流、磁电耦合、自旋波等。可以预期,这每一种手段应用于磁性拓扑量子材料的物态调控,都可诞生出一个新的分支。这样的前景,值得量子材料人茶饭不思、昼夜无眠。

图 2. 静压下拓扑绝缘体的能带演化:从绝缘体到半金属再到拓扑绝缘体 [General energy band diagrams for topological insulators showing the change from insulator (left) to semi-metal (center) and topological insulator (right) with increasing pressure].
Credit: 2013 American Physical Society. https://phys.org/news/2013-05-phase-quantum-materials-theoretical-aid.html
不过,磁性调控本身也是一门精深学问,充满各种诱惑与机会。磁性对能带拓扑的影响强弱,也充满各种诱惑与机会。引磁性入拓扑物理,姑且主要考虑核外有 4f 和 3d 电子的化合物。面向当下拓扑量子效应的现状,我们去审视已经发现的那些磁性材料,会看到包含 4f 电子的拓扑体系要比包含 3d 电子的体系多。这一现状可能存在有其内禀的物理根源:(1) 4f 电子交换作用能量尺度相对较弱,磁性居里温度较低,对其磁性进行外场调控相对容易 (如磁场、电流、压力、电磁波、温度等)。(2) 当下主要的拓扑量子态特征能量尺度与 4f 磁性特征能量相当,而比 3d 电子交换作用要弱很多。也就是说,在 4f 电子体系中通过调控磁性而调控拓扑量子态,似乎看起来容易一些。这两点思考,完全是 Ising自我瞎掰,未必符合物理。图 2 所示即是一个经典的例子,表示不大的静压力即可驱动一正常绝缘体走向半金属和拓扑绝缘体态。
来自浙江大学物理学院的量子材料知名学者袁辉球教授团队,包括宋宇博士、重费米子物理名家 Frank Steglich 教授等,联合杭州电子科技大学、中科院物理所石友国老师团队等,最近在《npj QM》上刊发了一篇文章。文章重点关注于 4f 磁性拓扑量子化合物 EuCd2As2 的外场调控,取得很好效果。Ising 并未与辉球老师交流过他们撰写这篇文章的动机,但无论如何,他们的工作至少让我有了上述心得体会。为此,Ising 要表达对辉球老师和宋博士的敬意。他们对 EuCd2As2 单晶施加压力,并系统表征了该化合物的磁输运行为对压力的依赖关系,配合第一性原理计算对拓扑态演化的预测,完成本工作。
实话说,在辉球老师他们的良好平台中完成这一实验,也许并非很大挑战。第一性原理计算,对他们而言也驾轻就熟。文章的新意,主要体现在那些丰富的物理效应上。他们得到的主要结果如下:
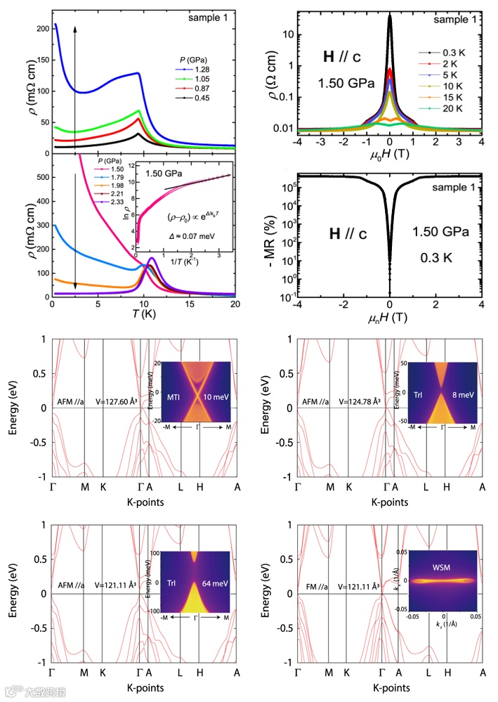
(1) 在很低压力下,体系即彰显丰富的量子态转变。压力低于 p1 ~ 1.0 GPa 时,体系处于 A - AFM 的磁性拓扑绝缘体态 MTI (magnetic topological insulator)。在 p1 处发生拓扑绝缘体 MTI 到拓扑平庸绝缘体 TrI (trivial insulator) 转变。而越过 p2 ~ 2.0 GPa,体系转变为外尔半金属态 WSM (Weyl semi - metal),对应于 AFM 向铁磁态 FM 的转变。特别注意,这个压力很低,意味着调控量子态不难!
(2) 在 p1 和 p2 之间,出现了一个罕见的绝缘体穹顶 (insulating dome)。这就像那高温超导相图中的 SC 穹顶一般,有些让人着迷。
(3) 在 p2 处的 AFM - FM 转变,可以伴随磁矩织构的再取向,类似于我们通常说的 spin - flop。这一转变也可以借助外磁场触发,实现巨大的负磁电阻效应。特别注意,驱动磁场 0.2 T 就足够,磁电阻 MR 可达 105 %。这个磁场很小,而磁电阻不菲,意味着磁性调控拓扑量子态的难度不大!

图 3. 袁辉球、宋宇他们关于 EuCd2As2单晶压力下磁输运的测量与能带计算结果。电子态输运 (左上)、磁电阻 (右上)、不同晶胞体积下 (压力下) 的能带结构。
如上三项实验观测结果,配合第一性计算对拓扑态鉴定的加持,赋予了这一工作一些新意和价值。具体的数据描述和物理讨论,读者可参阅文章详细内容,Ising 不再在此鹦鹉学舌。
不过,当 Ising 在这里勉力渲染磁性拓扑量子材料的各种机会时,别忘了所有的故事都是在很低温区中宣讲的:(1) 这些拓扑量子态都是能量尺度较小的物态。在温度高、接近室温时,这些物态就难免花容失色。(2) 这些 4f 磁性,也是低温下才能看得过去的角色。从这个意义上,发展室温或高温磁性拓扑量子材料及其应用,依然任重道远。我们不可太乐观,也无法太乐观。这里的物理,就像一个万花筒:好看,但目前还不能完全打开。要启开而平铺使用,还需要量子材料人继续努力。阿门!
雷打不动的结尾:Ising 是外行,如若理解错了,敬请谅解。各位有兴趣,还是请前往御览原文。原文链接信息如下:
Consecutive topological phase transitions and colossal magnetoresistance in a magnetic topological semimetal
Feng Du, Lin Yang, Zhiyong Nie, Ninghua Wu, Yong Li, Shuaishuai Luo, Ye Chen, Dajun Su, Michael Smidman, Youguo Shi, Chao Cao, Frank Steglich, Yu Song & Huiqiu Yuan
npj Quantum Materials volume 7, Article number: 65 (2022)
https://www.nature.com/articles/s41535-022-00468-0
青玉案·川碧峭空
俨然踏上川波浩。起落白,延绵淼
簇拥青峦谁易老。左雕青玉、右含烟岛
涯岸犹骄俏
便来洒汗驰风棹。搏浪千重卷三曜
再向高悬狂桀傲。水崖横竖、绝空飞峤
脚下惊苍鸟

备注:
(1) 编者 Ising,任职南京大学物理学院,兼职《npj Quantum Materials》编辑。
(2) 小文标题“磁控拓扑量子态之路”夸张表达了“拓扑量子材料的应用可能少不了磁性的介入”这一境况。
(3) 文底图片乃拍摄于楚鄂山川之间 (20220711)。小词原描写炎夏山水之间的感受,就如量子材料人征途艰辛而得高处俯瞰 (20220714)。
(4) 封面图片展示了 New magnetic topological semimetal for more efficient electronics,图片来自https://phys.org/news/2017-07-magnetic-topological-semimetal-efficient-electronics.html。
免责声明:本文旨在传递更多科研资讯及分享,所有其他媒、网来源均注明出处,如涉及版权问题,请作者第一时间后台联系,我们将协调进行处理,所有来稿文责自负,两江仅作分享平台。转载请注明出处,如原创内容转载需授权,请联系下方微信号。


