


撰稿|由课题组供稿
近日,北京航空航天大学电子信息工程学院吴晓君教授课题组与中科院物理所韩秀峰、万蔡华课题组和赵继民课题组合作,在基于自旋电子材料的太赫兹(THz)发射器方面取得重要进展。针对当前THz自旋发射器普遍需要外加磁场的应用痛点,利用反铁磁-铁磁异质结的钉扎效应,确保器件在无外场作用下的稳定饱和磁化态,实现了无需外加磁场的高效THz发射器。该成果以“Antiferromagnetic-Ferromagnetic Heterostructure-based Field-Free Terahertz Emitters”为题发表于《Advanced Materials》上,并被遴选为封底内页 (Back inside cover)。该论文的通讯作者为北京航空航天大学吴晓君教授,陈赛副教授以及中科院物理所万蔡华副研究员和赵继民研究员,共同第一作者为北京航空航天大学的吴晓君教授和王涵晨、物理所的刘海江博士和王翼展。合作者还包括北京航空航天大学的于海明教授和苗俊刚教授等。
太赫兹(THz)自旋光电子学是近年来由自旋电子学和THz光电子学交叉融合而产生的新兴研究方向,也是凝聚态物理重要前沿研究领域之一。在铁磁和重金属的纳米薄膜异质结中,基于飞秒激光对铁磁材料的超快退磁效应,激发材料自旋极化流,通过逆自旋霍尔效应可以高效地将自旋流转化为电荷流进而辐射THz波。一方面,相对于传统的自旋电子材料需要镀电极进行量测方式,非接触的THz发射光谱技术是表征THz频段超快自旋电流的有效手段;另一方面,基于自旋电子的THz源,具有超宽带、低成本、易集成、偏振可调谐等优势,在应用方面具有广阔的前景。北京航空航天大学吴晓君课题组近年来在THz自旋光电子学领域取得了一系列的研究成果,如图1所示。

图1 . 近年来吴晓君课题组在THz自旋光电子学上的一系列工作[1-9]
基于大自旋霍尔角的材料选择(Advanced Materials 2022, 34, 2106172, ESI高被引论文)、高自旋流注入效率(Advanced Material Interfaces 2022, 9, 2101296,封面)、非均匀磁场设计(Advanced Optical Materials 2019, 7, 1900487)、级联发射方式(Applied Physics Letters 2019, 115, 221104)、双泵浦非线性技术(Applied Physics Letters 2019, 115, 121104,编辑推荐)、新型拓扑材料(Advanced Photonics 2020, 2, 066003,编辑推荐)及其新结构调控(Advanced Photonics Research 2021, 2, 2000099,封面)等多方面入手,从辐射效率、辐射带宽、偏振调控等方面实现了功能化的实用型自旋THz发射器件。不仅如此,团队还与上海理工大学刘一教授采用了飞秒激光放大器泵浦的自旋THz强场辐射,合作实现了空气等离子体的THz发射特性调控(Applied Physics Letters 2022, 120, 172404);与华东师范大学曾和平教授合作,基于光纤飞秒激光器泵浦的自旋THz发射源,研制了用于无接触表征材料超快动力学THz辐射特性的激光THz发射显微镜样机原型(Applied Physics Letters 2022, 120, 201102)。该团队受自旋THz发射器件发明人Tobias Kampfrath等邀请,撰写自旋THz光电子研究进展论文两篇,也为Frontiers of Optoelectronics期刊撰写综述论文一篇。相关研究成果加速了基于拓扑量子材料、范德华低维体系、铁磁反铁磁自旋量子材料体系等的超快动力学研究,也为THz发射器件的应用基础研究做出了一定贡献。
如图2(a)所示,基于逆自旋霍尔效应
的THz自旋电子辐射源,铁磁层在没有外磁场时无法处于饱和磁化态,影响THz辐射效率。因此,自旋THz发射器需要电磁铁或者永磁铁驱动,极大地限制了器件集成与实际应用。针对这一问题,本文作者创新提出采用铁磁层和反铁磁层异质引起的交换偏置效应(又称钉扎效应),将器件的磁滞回线变成了“方形”,且处于M轴一侧,实现了自旋THz发射器在零外磁场下的高效辐射。

图2. (a)铁磁材料、反铁磁材料及反铁磁-铁磁异质结的磁特性示意图; (b) 在没有外磁场下,反铁磁-铁磁异质结(IrMn3- Co20Fe60B20),通过飞秒光激发,可以高效地辐射THz波;(c) 通过振动样品磁强计和THz时域发射光谱两种技术手段对样品磁特性 (磁滞回线) 的实验表征。
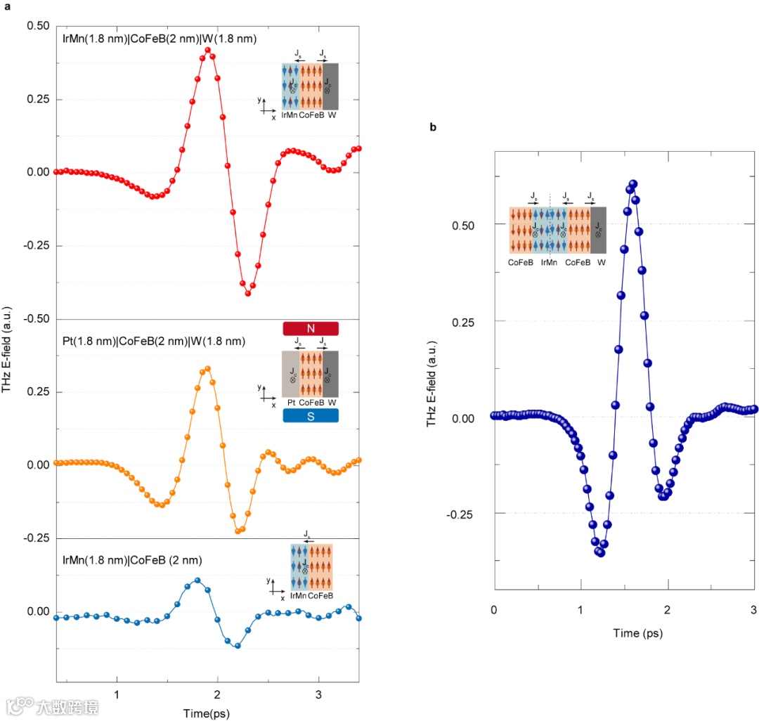
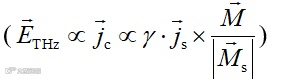
该过程的实现首先选择具有较大自旋霍尔角的反铁磁IrMn3 (2 nm)与铁磁材料Co20Fe60B20 (2 nm)进行异质集成,在THz时域发射系统下,观测到了器件的THz辐射信号(图2b)。通过一系列实验,证明了THz辐射机理遵循逆自旋霍尔效应的自旋流到电荷流转化。在此基础上,通过振动样品磁强计(Vibrating Sample Magnetometer)和自建的THz时域发射谱技术(THz Time Domain Emission Spectroscopy),测试了器件的磁学性能(磁滞回线,图2c)。测试结果显示:该器件可以任意磁场下处于饱和磁化态,且在零磁场下,可以保持一个特定方向的磁化。由于金属W跟IrMn3的自旋霍尔角相反,因此可以组成W-Co20Fe60B20-IrMn3的三层发射器。从图3可以看出,三层器件确实比两层器件发射效率更高,甚至优于当前最高自旋发射效率(W-Co20Fe60B20-Pt) THz发射器(自制)。除此之外,由于这个器件依靠本身的饱和磁化态,可通过翻转样品的入射面改变磁化态方向,因此可以通过排列组合的方式,灵活集成。本文尝试了图3(b) 这种组合方式,进一步提升了THz的辐射效率,比三层样品W-Co20Fe60B20-IrMn3高了35%倍。

图3. (a) IrMn3- Co20Fe60B20-W三层样品及(b) 二层-三层样品组合的THz发射效率对比 (两图的THz归一化电场是统一的)。
本文作者设计了一种由反铁磁 (IrMn3)和铁磁 (Co20Fe60B20)材料组成的自旋电子异质结结构,证明了无外加磁铁情况下的高效率THz辐射特性。三层IrMn3- Co20Fe60B20-W样品的THz辐射强度是三层Pt-Co20Fe60B20-W样品的1.4倍,三层和双层样品叠加器件获得比单独三层器件高35%的发射强度。后续研究工作将聚集在进一步提升辐射强度和辐射功能化方面。本研究得到了国家自然科学基金、国家重点研发计划、中科院先导计划、广东工业大学省重点实验室开放基金的资助。

论文全文链接:
https://doi.org/10.1002/adma.202204373
[1] Adv. Mater. 34, 2106172 (2022) (https://doi.org/10.1002/adma.202106172)
[2] Adv. Mater. 34, 2204373 (2022) (https://doi.org/10.1002/adma.202204373)
[3] Appl. Phys. Lett. 120, 201102 (2022)(https://doi.org/10.1063/5.0080397)
[4] Adv. Mater. Interfaces 9, 2101296 (2021) (https://doi.org/10.1002/admi.202101296)
[5] Adv. Photonics Res. 2, 2000099 (2021) (https://doi.org/10.1002/adpr.202000099)
[6] Adv. Photon. 2, 066003 (2020) (https://doi.org/10.1117/1.AP.2.6.066003)
[7] Adv. Opt. Mater. 7, 1900487 (2019) (https://doi.org/10.1002/adom.201900487)
[8] Applied Physics Letters 2019, 115, 221104 (https://doi.org/10.1063/1.5128979)
[9] Appl. Phys. Lett. 115, 121104 (2019) (https://doi.org/10.1063/1.5117179)
免责声明:本文旨在传递更多科研资讯及分享,所有其他媒、网来源均注明出处,如涉及版权问题,请作者第一时间后台联系,我们将协调进行处理,所有来稿文责自负,两江仅作分享平台。转载请注明出处,如原创内容转载需授权,请联系下方微信号。
